Red Salamander Notes
Introduction:
The study examines the terrestrial movements and habitat use of juvenile and emigrating adult Eastern Red-Spotted Newts (Notophthalmus viridescens), since little is known about the species’ behavior outside breeding ponds.
The researchers investigated movement patterns, distances traveled, and environmental factors influencing these behaviors using fluorescent powder tracking.
Methods:
The study was conducted at Mountain Lake Biological Station in Virginia, where newts were captured using drift fences and pitfall traps.
Fluorescent powder was applied to track movements, and environmental conditions like temperature and humidity were recorded. The data was analyzed to assess movement distances, habitat use, and the influence of weather.
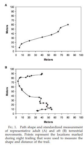
Results:
Newts traveled variable distances, with some moving over 50 meters per night. Adults traveled in more direct paths than juveniles, which exhibited more localized movement.
Temperature and rainfall influenced whether newts moved, while humidity affected the distance traveled. Newts primarily used surface-level forest debris for cover and did not use subterranean habitats.



Discussion/Conclusion:
The findings suggest that N. viridescens is active in terrestrial habitats post-breeding and can travel significant distances, raising conservation concerns regarding buffer zones around wetlands.
The study also highlights the effectiveness of fluorescent powder tracking for amphibian research.