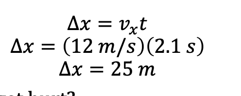
Problem: A car travels at 15 \text{ m/s} [16^\circ \text{ N of E}].Later,ittravelsat22 \text{ m/s} [21^\circ \text{ W of N}].Whatisthecar′schangeinvelocity(\Delta \vec{v} = \vec{v} - \vec{v}_0)?</p></li><li><p>Recap−VectorComponents</p></li></ul><ul><li><p><strong>VectorComponents(Question):</strong>IfvectorAhasanangle\thetarelativetothey−axis,thelengthofthedottedlinerepresentingthex−component(A_x)isA \sin \theta.</p></li><li><p><strong>SignsofComponents(Question):</strong>Foravector\vec{B}inthefourthquadrant(positivex−axis,negativey−axis),itscomponentswillhavesigns:+x; -y.</p></li></ul><imgsrc="https://knowt−user−attachments.s3.amazonaws.com/28f877ec−bd2f−4aa5−a188−577c5314aa18.png"data−width="50\vec{r}):</strong>Thechangeinpositionfromtheinitialtothefinallocation.</p></li><li><p><strong>Velocity(\vec{v}):</strong>Therateofchangeofdisplacement.\vec{v} = \frac{\Delta \vec{r}}{\Delta t}</p></li><li><p><strong>Acceleration(\vec{a}):</strong>Therateofchangeofvelocity.\vec{a} = \frac{\Delta \vec{v}}{\Delta t}</p></li><li><p><strong>KeyPoint:</strong>Allthesequantities(\vec{r}, \vec{v}, \vec{a})arevectors,meaningtheyhavebothxandycomponents.</p></li></ul><h5id="7af02c8f−5717−4dff−94e4−b6cdbc5af1c0"data−toc−id="7af02c8f−5717−4dff−94e4−b6cdbc5af1c0"collapsed="false"seolevelmigrated="true">SolvedExample:Squirrel′sJourney</h5><ul><li><p><strong>Problem:</strong>Asquirrelstartsat(3.0mE,5.0mN)andendsat(4.0mE,2.0mN)relativetothehouse/fence.Itcovers18min49s.</p><ul><li><p>a)Whatisthesquirrel′sdisplacement?</p></li><li><p>b)Whatisitsaveragespeed?</p></li><li><p>c)Whatisitsaveragevelocity?</p></li></ul></li><li><p><strong>Given(letNorthandEastbepositive):</strong></p><ul><li><p>Initialposition:(x0 = 3.0 \text{ m}, y0 = 5.0 \text{ m})</p></li><li><p>Finalposition:(x = 4.0 \text{ m}, y = 2.0 \text{ m})</p></li><li><p>Distancetraveled:d = 18 \text{ m}</p></li><li><p>Timetaken:\Delta t = 49 \text{ s}</p></li></ul></li></ul><p>Parta)Displacement(\vec{r})</p><imgsrc="https://knowt−user−attachments.s3.amazonaws.com/f7beed11−4d87−48d5−a997−1cd1c7edd2e9.png"data−width="7531.4 \text{ m},taking20.0 \text{ s}tocompleteafullroundtrip.</p><imgsrc="https://knowt−user−attachments.s3.amazonaws.com/f6e79664−550a−4265−babb−16ea74d0ead9.png"data−width="100a_x)isalwayszero!</p><ul><li><p></p><imgsrc="https://knowt−user−attachments.s3.amazonaws.com/e0413937−6f4b−494b−91dd−0f9d1e554bef.png"data−width="75a_x = 0).</p></li><li><p><strong>VerticalAcceleration:</strong>Duetogravity,constantanddownwards(a_y = -9.8 \text{ m/s}^2ifupispositive).</p></li><li><p><strong>VerticalVelocityatPeak:</strong>Attheverytopofthepath,theverticalvelocitycomponentismomentarilyzero(v_y = 0).</p></li><li><p><strong>IndependenceofMotion:</strong>Horizontalandverticalmotionsareindependentofeachother.Thismeansyoucansolvethemseparatelyusing1Dkinematicequationsforeachdirection.</p></li></ol><h5id="8480d423−8780−4834−83a6−3dc61898aaac"data−toc−id="8480d423−8780−4834−83a6−3dc61898aaac"collapsed="false"seolevelmigrated="true">2DKinematics−ProjectilesExample(GolfBall)</h5><ul><li><p><strong>Problem(Velocity):</strong>Whatisthedirectionofthegolfball′svelocityatpointX(ontheupwardtrajectory)?</p><ul><li><p><strong>Explanation:</strong>Velocityisalwaystangenttothepathandinthedirectionofmotion.So,anarrowtangenttothecurveatpointX,pointingforwardandupward.</p></li></ul></li><li><p><strong>Problem(Acceleration):</strong>Whatisthedirectionofthegolfball′saccelerationatpointX?</p><ul><li><p><strong>Explanation:</strong>Forprojectilemotion,accelerationisalwaysduetogravity,whichactsstraightdownwards(-9.8 \text{ m/s}^2).So,anarrowpointingstraightdown.</p></li><li><p></p><imgsrc="https://knowt−user−attachments.s3.amazonaws.com/ef21c570−2347−4b96−bae8−8712e38d5416.png"data−width="7514 \text{ m/s}andahorizontalcomponentof12 \text{ m/s}.Whatisitsspeedatmaximumheight?</p></li><li><p><strong>Explanation:</strong>Atmaximumheight,theverticalcomponentofvelocity=0</p></li><li><p>Nohorizontalaccelerationmeansthatthehorizontalcomponentofthevelocityremainsconstantat(12 m/s),thustheoverallspeedatmaximumheightisdeterminedsolelybythishorizontalvelocity.</p></li><li><p><strong>Result:</strong>Speedatmaximumheightis12 \text{ m/s}.</p></li></ul><p></p><imgsrc="https://knowt−user−attachments.s3.amazonaws.com/25be1267−cbdb−44d2−a4af−0f89af6e5589.png"data−width="75v_0 = 12 \text{ m/s}at42^\circabovehorizontalfromacastlewall.Itlands9.5 \text{ m}belowtheinitialheight.Whatistherock′svelocityjustbeforelanding?</p></li><li><p><strong>Given(letrightbepositivehorizontal,downbepositivevertical):</strong></p><ul><li><p>Initialspeedv_0 = 12 \text{ m/s}</p></li><li><p>Launchangleagainsthorizontal\alpha = 42^\circ</p></li><li><p>Verticaldisplacement\Delta y = 9.5 \text{ m}</p></li><li><p>Accelerationiny:a_y = 9.8 \text{ m/s}^2</p></li><li><p>Accelerationinx:a_x = 0</p></li></ul></li><li><p></p><imgsrc="https://knowt−user−attachments.s3.amazonaws.com/2c27fc08−61b6−4afa−af0f−ccdeeda3abb0.png"data−width="75\vec{v})hasaconstantmagnitude(thespeed),butitsdirectioniscontinuouslychanging.Thedirectionisalways<em>tangential</em>tothecircleandfollowsthedirectionofmotion.</p></li><li><p><strong>CentripetalAcceleration(\vec{a}_c):</strong>Eventhoughthespeedisconstant,thechangingdirectionofvelocitymeansthereisalwaysanacceleration.Thisacceleration,calledcentripetalacceleration,isalwaysdirected<em>towardthecenterofthecircle</em>.</p><ul><li><p>Theequationsforcentripetalacceleration(e.g.,a_c = \frac{v^2}{r})andrelationshipswithfrequency(f)andperiod(T)(e.g.,v = \frac{2\pi r}{T} = 2\pi r f)areimportantforsolvingUCMproblems.(Theseformulasarementionedasneedingreviewinthetext,Chapter4.5).</p></li></ul></li></ol></li></ul><p></p><h5id="51d18b25−8f48−408a−8be2−d011fb35bbc6"data−toc−id="51d18b25−8f48−408a−8be2−d011fb35bbc6"collapsed="false"seolevelmigrated="true">SolvedExample:TaylorSwiftJumpsfromaBalcony</h5><ul><li><p><strong>Problem:</strong>TaylorSwiftjumpshorizontallywith12 \text{ m/s}fromabalcony22 \text{ m}below.</p><ul><li><p>a)Howlongissheintheair?</p></li><li><p>b)Howfarhorizontallydoessheland?</p></li><li><p>c)Doesshegethurt?</p></li></ul></li><li><p><strong>Given(letupbepositive):</strong></p><ul><li><p>Initialhorizontalvelocity(v_{0x} = 12 \text{ m/s})</p></li><li><p>Horizontalacceleration(a_x = 0)</p></li><li><p>Verticaldisplacement(y_0=0, y = -22 \text{ m} \implies \Delta y = -22 \text{ m})</p></li><li><p>Initialverticalvelocity(v_{0y} = 0 \text{ m/s})(jumpshorizontally)</p></li><li><p>Verticalacceleration(a_y = -9.8 \text{ m/s}^2)</p></li></ul></li></ul><p>Parta)Howlongissheintheair?(Solvefortusingverticalmotion)</p><imgsrc="https://knowt−user−attachments.s3.amazonaws.com/19f33b9e−dce3−45a3−9380−dce370c029ee.png"data−width="75x$$ using horizontal motion)
