AQA GCSE: Physics
Simple Electric Circuits
Current (I): flow of charge (amps, A)
Voltage (V): energy transferred per charge (volts, V)
Resistance (R): opposition to current (ohms, Ω)
Series circuits:
Same current everywhere
Voltage shared
Total resistance = sum
Parallel circuits:
Same voltage
Current splits
Lower total resistance
Atoms and Materials
Atomic Structure
Proton (+1), neutron (0), electron (–1)
Nucleus contains protons & neutrons
Electrons in shells
States of Matter
Solid → fixed shape & volume
Liquid → fixed volume, no fixed shape
Gas → no fixed shape or volume
Changes of State
Melting, freezing, evaporation, condensation, sublimation
Internal energy = kinetic + potential energy of particles
Forces
Types of Forces
Gravity, friction, air resistance, tension, normal contact force
Electricity in the Home
UK mains supply: 230 V AC, 50 Hz
Live wire: brown
Neutral wire: blue
Earth wire: green/yellow (safety)
Fuse: melts if current too high → breaks circuit
Double insulation: plastic casing, no earth needed
Energy Resources
Renewable
Solar, wind, hydro, tidal, geothermal, biofuel
Non-renewable
Coal, oil, gas, nuclear
Energy Stores
Thermal, kinetic, chemical, gravitational, elastic, nuclear
Power Stations
Fuel → boil water → steam → turbine → generator
Atoms and Radiation
Isotopes
Same protons, different neutrons
Radiation Types
Type | What it is | Stopped by | Ionising |
Alpha (α) | 2p + 2n | Paper/skin | Very |
Beta (β) | Electron | Aluminium | Medium |
Gamma (γ) | EM wave | Lead/concrete | Weak |
Half-life
Time taken for radioactive substance to halve in activity
Uses
Medical tracers, cancer treatment, smoke detectors, carbon dating
Risks
Cell damage, mutations, cancer
Waves
Types
Transverse: oscillations perpendicular (light, water)
Longitudinal: oscillations parallel (sound)
Wave Properties
Amplitude, wavelength, frequency, speed
Reflection & Refraction
Reflection → bouncing off surface
Refraction → bending when entering different medium
Sound Waves
Longitudinal, need medium, faster in solids
Uses & Dangers
Microwaves → cooking
Infrared → heaters
UV → sterilising (skin damage risk)
X-rays → medical imaging
Gamma → cancer treatment
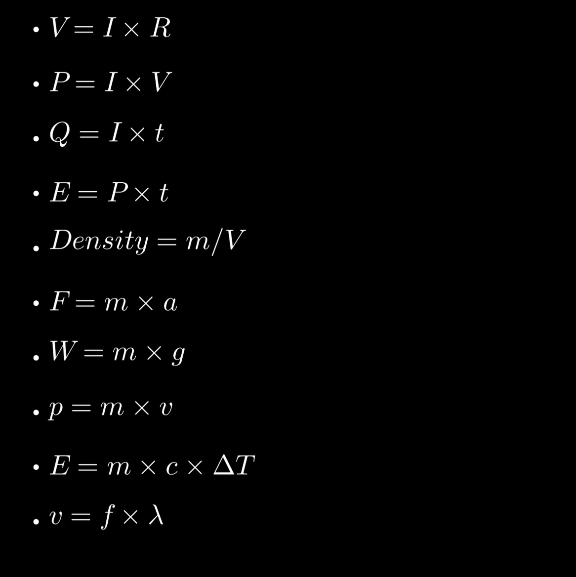
Key Formula List
