Derivatives and Their Applications
Derivative Quick Facts









Introduction to the Derivative
The purpose of this section is to motivate and define the concept of the derivative.
Key takeaways include understanding the importance of derivatives in analyzing function behavior.
Linear Functions and Their Behavior
Linear functions are represented as:
were represents the slope.The slope indicates how the function behaves.
Non-Linear Functions
Not every function is linear. A classic example is the relationship between the side and area of a square.
To analyze such functions, we use limits to generalize the concept of slope.
Instantaneous Rate of Change (IROC)
For non-linear functions, the instantaneous rate of change (IROC) can vary depending on the variable being analyzed.
This variability leads us to define the IROC as a function itself, which we refer to as the derivative.
The derivative is expressed mathematically as:
When this limit exists, we indicate that the function is differentiable; if not, it is non-differentiable.
Output Characteristics
The output of a derivative represents the IROC, which corresponds to the slope of the tangent line.
Units of the derivative can be described as:
Often expressed as rates: dollars per item, miles per hour, etc.
Continuity and Differentiability
If a function is differentiable at a point, the function must also be continuous AND smooth at that point.
Continuity is a necessary, but not sufficient, condition for differentiability.

Patterns in Derivatives
Derivatives can reveal specific patterns:
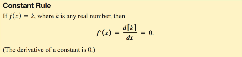
The derivative of a constant is always zero.
The derivative of a linear function is the slope.
The derivative of is .
Notation for Derivatives
Various notations exist to denote derivatives:
Example:
Derivative Rules
Exponential Function:
Power Rule:
Logarithmic Function:
Applying the Power Rule
For functions presented in the form of x^n:
Derivatives follow the linear operations:
Multiplication by constants: