Molecular and Cellular Biology Notes
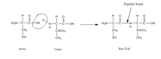
vorming peptide binding

in de bindgen hoef je neit still te staan bij basisch of zure groep
olgiepeptide:
polypetpide:
resonantie structuren
idk hier zet ze ook niet BRO LET TOCH GWN OP

ramachandran is puur info en niet kennen