Gravitation and Circular Motion
Gravity
Bg:
Fg = mg
Acceleration due to gravity on Earth = 9.8 m/s²
Pointed down
Field force = applied equally across surface
described by vector field (vector arrows w/ direction and magnitude)
Field models are useful for describing interactions at a distance
Pulls towards the center of mass
All objects with mass have a gravitational pull
Law of Gravitation: gravitational force describes the interaction between multiple objects with mass
Gravitational force is always attractive
Gravitational force is measured from from the center of one object to another ( r )
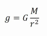
University Law of Gravitation

Force of Gravity is inversely proportional to distance² between two objects’ center of mass
gets weaker further apart, stronger the closer
gravitational pull is directly proportional to mass
Universal Gravitational Constant

Newton’s Third Law: equal and opposite reaction —> forces applied are equal regardless of mass


Fnet = FBS - FBA
Facing opposite directions (Planet A and Star’s forces of gravity to Planet B) so subtract
If the same way, add
Time
direct relationship with height
indirect relationship with radius and mass
Singular Planet
g = Fnet = m

if regarding an object above the earth’s surface, add altitude and radius of earth together for r
Circular Motion

Tangential Speed: “linear” speed of an object in circular motion ( m/s /)
linear speed if it were to continue moving in said straight line tangent to the circle
Distance/Time —> Circumference/Period

Centripetal Acceleration (m/s²)
even if constant speed, an object in circular motion is always accelerating
centripetal acceleration is always pointing to center

object must have net force to accelerate
Centripetal Force: the center-seeking net force
w/o, the object would just travel straight

If an object suddenly breaks from the circcle (ex. string breaks)
Position moves tangentially from point P
Velocity is decreasing as it moves upward (acceleration and movement opposite), then when it reaches maximum height and begings to increase as it moves downward
Acceleration: constant, due to gravity
Circling around table horizontally: friction (and normal and gravity but cancels out)
solve for friction compoentns
Circling around with string: tension and gravity
Circling around like rollercoaster: normal force and gravity
Period and Frequency
Period or T ( s )
amount of time it takes for an object to complete one full revolution
Frequency (hertz , revolutions/time)
amount of revolutions per time
