Home
temperature formulas
🌡️
temperature formulas
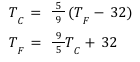
formulas for fahrenheit:
formulas for kelvin: