abds little children
Stuff Taken Out
PIONEER SPECIES: species that colonize barren land first to allow others to come in. Examples: Lichens, fungi, bacteria, fireweed, grasses, alder, and willow. Lichens r result of symbiotic relationship (mutualism) between algae and fungi allowing them to survive arid conditions. Can also enter dormancy as fungi filaments protect organism. KEYSTONE SPECIES: Examples: sea otter, american alligator, bees, large mammalian predators (lions, tigers, jaguars, wolves, etc), sea stars, hummingbirds, tiger sharks INDICATOR SPECIES: A species that is sensitive to environmental variables which can be used to look at the quality/changes in an ecosystem Examples: Red maple (Acer rubrum), Sugar maple (Acer saccharum), American toad (Anaxyrus americanus), Ruby-throated hummingbird (Archilochus colubris), Common milkweed (Asclepias syriaca), Rockweed (Ascophyllum nodosum), Monarch butterfly (Danaus plexippus), Forsythia (Forsythia sp.), Wood Stork (Mycteria americana), Peppered Moth (Biston betularia), River Otters (Lontra canadensis), lichens, frogs UMBRELLA SPECIES: species selected for conservation efforts b/c protecting them protects many species. SENTINEL SPECIES: animals used to detect risks to humans by providing advance warning of a danger; earthworms, soil insects, gophers, moles, mice; PARASITE: lives on or in another organism, is metabolically dependent. Ecosystem w/ parasites is inverse pyramid. PARASITOID: an insect parasite whose larvae eventually kills its host; INVASIVE SPECIES: threats: outcompete local species for resources, spread new pathogens; common invasive species: cane toad, emerald ash borer, spotted lanternfly, european starling, asian carp, zebra mussel, garlic mustard, purple loosestrife, reyoutria japonica, bullfrog, brown marmorated stinkbug, european starling, asian long-horned beetle, european green crab, common water hyacinth, japanese honeysuckle, lymantria dispar (moth), english ivy. FACILITATION: an organism provides passive benefits to other organisms in its close proximity;
STRATEGISTS: Semelparous organisms: reprod once and usually die right after (ex: Pacific salmon, annual plants, cicadas, mayflies, spiders). Iteroparous: multiple reproductive cycles; Survivorship: (K selection) T1 - humans; T2 - birds, rodents; (R selection) T3 - fish, trees; staircase-periodic vulnerabilities (ex: molting organisms: hermit crabs, spiders)
PRODUCTIVITY Primary production: amount of light energy converted to chemical energy in the form of organic compounds. Gross primary production (GPP): total amount of solar energy converted to chemical energy in form of organic molecules per unit time by primary producers. Standing Crop biomass (SCB) is amount of accumulated organic matter at a given time. Measured in (g/m2). ∆SCB = SCB(t2) = SCB(t1). Net primary production (NPP): GPP minus energy used for cellular respiration for the primary producers. In other words the biomass or energy accumulation in primary producers (Ra), usually half of GPP. Expressed in energy per unit area per unit time [J/(m2 • yr)] or biomass added per unit area per unit time [(g/(m2 • yr)]. Or ∆SCB plus biomass due to death of plants plus loss from consumption. Places w/ higher temperatures, rainfall, and N levels in soil typically have higher productivity due to increased photosynthesis. NPP = GPP - Ra = ∆SCB + D + C. Net Ecosystem Production (NEP): total ecosystem biomass/energy accumulation, not just primary producers. Is GPP minus total respiration of all organisms in the system (RT). Useful to determine if an ecosystem is gaining or losing carbon; most common way to measure is net flow of CO2 or O2 leaving or entering the system. NEP = GPP - RT. where D is biomass lost due to death of plants and C is biomass lost trhough consumption
Simpson’s Diversity Index: D = 1 - (Σ(n(n-1))/(N*(N-1))): accounts for both abundance and evenness of the species present Shannon’s diversity index: H = -Σ(pi) * ln(pi); pi = proportion of 1 species in entire comm; Shannon’s Equitability/Evenness measurement: (diversity index)/ln(amnt of species in comm) Types of population dispersion: random, clumped, uniform
Cycles info: Nitrogen Cycle: Some plants contain symbiotic bacteria called Rhizobia within nodules in their root systems that allow nitrogen fixing.(legumes -peanuts, soy clover
POLLUTION: Primary pollutants: injected into the atmosphere directly; ex: CO, NOx, NO, SO2, VOCs (volatile organic compounds), particulate matter (dust, ash, salt particles) Secondary pollutants: form in the atmosphere through chemical and photochemical reactions from the primary pollutants; ex: H2SO4 (can cause respiratory problems), NO2 (gives air brown color), O3 (irritates eyes), SO3; organic pollution – decomposition of living organisms and their bi-products; inorganic pollution – dissolved and suspended solids as silt, salts, and minerals; toxic pollution – heavy metals and other chemical compounds that are lethal to organisms; thermal pollution – waste heat from industrial and power generation processes; radiation pollution - radioactive materials; SMOG: prod-sunlight reacts w volatile organic compounds (ex: car exhaust, factory emissions); primary & secondary commonly in London-type smog (comes from coal smoke combining with the water vapor and liquid water in cool, humid or foggy air) & photochemical smog (primarily comes from from auto exhaust);
Stuff to learn (keep in head):
Cation Exchanging Capacity: higher CEC = more negative sites in soil meaning can better hold + charged nutrients. Clays & Organic matter have high CEC. Sands have low CEC.
Albedo: the proportion of the incident light or radiation that is reflected by a surface, typically that of a planet or moon. Albedo in tundra decrease as ice melts
Types of statistical studies
Köppen Climate Classification
Food webs
Soil types (acrisols gelisols urmomsols etc.)
Monocropping/monoculture → monotonous ecosystems w/ low diversity; created through artificial human efforts like farming. Bad cus less diversity = less resilient to stressor
Eluvation = leaching = soil from upper layers going to bottom layers cus water dripping down
NPK Ratio of fertilizers: indicates percentage of macronutrients nitrogen, phosphorus, & potassium ratio in soil by weight
Phosphorus cycle is the slowest cycle
Keystone species & common pred-pray relationships in Tundra, Taiga, and Deciduous forest
Stuff to memorize:
Mimicries
Island equilibrium
Hypothesises
Bioengineering
Pine needles acidic so taiga soil acidic
Taiga carbon sink also
Populations begin to oscillate slightly when they approach carrying capacity
Niche Partitioning: methods to coexist if species niches overlap. Spatial: when same resource used in different area; Dietary: when diff species consume diff variants of same food; Temporal: when same resources r consumed at diff times by diff species
Ecological Simplification: reduction of eco niches due to loss of landscape complexity, usually cus of anthropogenic activities
Old Growth Forests are those that have reached maturity and complex ecological succession stage due to not having undergone major disturbances for long periods of time. Threats include logging, wildfire, urban expansion, & clear-cutting
Green belts are open forested areas w/ limited construction
Lichens r sensitive to atmospheric nitrogen levels (more specific than general
Stuff to put in margins/ taken out
Doubling Time (t) = 0.69/r where r is growth rate
Lincoln Petersen Estimator for Mark Recapture Method: N = nK/k derived from n/N = k/K where n is marked individuals caught 2nd stage, K is total caught individuals initially, and k is #of marked individuals initially
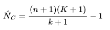
Chapman Estimator (better for smaller sample size):

Pielou’s evenness = H/Hmax = Shannon-Wiener Index / ln(Species Richness)
Chemical Equations for acid rain
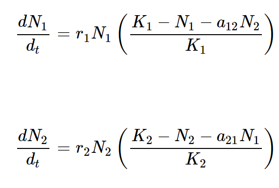
Lotka volterra equations
Effective population size
Simpson’s index (diversity & evenness)
Shannon’s index (diversity & evenness)
Species Area Curve
Type Curve (ann knows)
HW Equilibrium
Nuclear Reactors
expo/log growth formula
Lotka Volterra Model




HISTORY & LEGISLATION: On the Origin of Species: book by Darwin that is basis of evolutionary biology; talks abt natural selection. Silent Spring by Rachel Carson: book on biomagnification and indiscriminate use of pesticides like DDT. 90% of U.S. forests have been logged or exploited since 1600. Mind & Nature: book by Gregory Bateson; explores connection btw mind & nature. Keeling Curve: graph of accumulated CO2 in atmosphere observed at Mauna Loa observatory. Named after Charles David Keeling who started program and monitored it until death in 2005. Walden: American transcendentalist writer Henry David Thoreau abt his simple life in nature. Yellowstone: first natl park est. 1872. CWA (1972): regulates discharge of pollutants in US waters. Man & Nature: written by polymath scholar George Perkins Marsh. Earth’s resources aren’t inexhaustible. (Ecological) Land Ethic: Published in 1949. This philosophy acts as a broad framework for how to use the land. It rejects strictly human-centered views of the environment and focuses on the preservation of healthy, self-renewing ecosystems. Tragedy of the Commons: The tragedy of the commons refers to a situation in which individuals with access to a public resource (also called a common) act in their own interest and, in doing so, ultimately deplete the resource. Coined by William Forster Lloyd in 1833. Chernobyl (1986): nuclear radiation spill, caused leukemia and/or cataracts. Exon Valdez Spill (1989): oil tanker spilled 11 mill gal of crude oil in Prince William Sound, Alaska. Cardiotoxicity in birds and fish. Bhopal Disaster (1984): considered world’s worst industrial diaster; 500,000 ppl in small towns around Bhopal exposed to methyl isocyanate, a toxic pesticide reactant. Caused chronic conjuctivities, cornea scars, corneal opacities, early cataracts, respiratory disease, pulmanory fibrosis, TB, chronic bronchitis, mem. Impairment, finer motor skills, numbness, PTSD, growth failure, intellectual impairment. Fukushima nuclear accident (2011): meltdown of Fukushima reactor following tsunami, release of radioactive elements, no major effects. GEN ECOLOGY: 7 PRINCIPLES: the heterogeneous distribution of organisms, interactions of organisms, contingency, environmental heterogeneity, finite and heterogeneous resources, the mortality of organisms, and the evolutionary cause of ecological properties. EFFICIENCY: net production efficiency- efficiency each trophic level uses and incorporates energy from its food into biomass to fuel the next trophic level (birds <1%; mammals 1-6%; cold-blooded animals can reach 75%, plants can reach 85%) assimilation efficiency - percentage of consumed energy that is digested; digestibility depends on food quality (ex amnt of cellulose, lignin, etc); (seeds = 80%; young vegetation = 60-70%;; grazers, browsers 30-40%; decaying wood = 15%; exploitation efficiency - % of energy of organisms on one trophic level consumed by organisms on the next trophic level; ecological efficiency: amt of energy that is passed on from trophic level to level (10% rule). gross production efficiency - percentage consumed energy into growth and reproduction (warm blood animals rarely >5%, fall below 1%; insects = 5-15%; aquatic animals = 30%) # of links in a food chain = 1 + (log (predator ingestion) - log (net primary production))/ log (ecological efficiency) SPECIATION: process of new species formation. Allopatric: due to physical isolation/separation. Peripatric: special type of allopatric where one group is rly small. Parapatric: species spread out over large area but only breed with local ones. Sympatric: controversial if real; species evolves from still existing ancestor & both inhibit same region. Life History Theory: (i) there are trade-offs between different components of fitness (e.g. survival and reproduction, quality and quantity of offspring) that prevent their simultaneous maximization; (ii) natural selection acts on life-history traits, leading to trait-values that maximize fitness; and (iii) populations inhabiting different ecologies or demographies will evolve different patterns of life-history trait values TRAITS: Size at birth, growth pattern, age and size at maturity, number/size/sex ratio of offspring, age/size specific reproductive investments, age/size specific mortality schedules, length of life DETRITUS FEEDING: Terrestrial plants make lignin and cellulose which cannot be digested by herbivores, but is consumed by detritivores (soil invertebrates and microorganisms; Herbivores consume 1.5-2.5% net production in temperate deciduous forests, 12% in old-fields, and 60-99% in plankton communities RATES OF ENERGY FLOW: Residence time (transit time) = avg time that energy remains in a trophic level = (energy stored in biomass) / (the rate of biomass production); Biomass accumulation ratio is residence time using biomass: ~20 yrs in forested systems but 20 days in planktonic systems; Residence time for litter is fast in tropics (3 months) and slowest at high latitudes (100 years) SUCCESSION: Nudation - formation of bare area by oleanic eruption, landslide, flooding, erosion, etc, Invasion - arrival of reproductive bodies 1) dispersal/migration → 2) ecesis → 3) aggregation, Competition and reaction - as populations aggregate, competition for space & nutrients starts; Climax or Stabilization - can maintain itself in equilibrium w climate of the area; primary, secondary succession (primary but w soil & stuff so faster), allogenic succession: caused by abiotic influences not vegetation ecosystem; degradation succession: process of species turnover during the decomposition of leaves, plants, feces and dead organisms by decomposers; Competition: Neutral: :/ :/, Commensalism: :/ :), Amensalism: :/ :(, Antagonism (ex: predation, parasitism): :) :(, Mutualism: :) :), Competition: :( :( . Symbiosis: refers to general close & prolonged assosciation btw 2 organisms fo diff species; NOT mutualism. COMPETATIVE EXCLUSION PRINCIPLE/Gause’s Law: two species which compete for the same limited resource cannot coexist at constant population values. MUTUALISM: obligate both species completely dependent on each other (yucca, moth); facultative partners may coexist w/o depending on each other (form relationship w varying mixture of species)(bee,flowers); trophic specialized in complementary ways to obtain energy & nutrients from each other (cows-bacteria); defensive one receives food & shelter & in return helps parter by defending against predators or parasites (aphids-ants); dispersive 1 receives food in return for helping flower in transferring pollen (honeybees-flowers); COMMENSALISM: inquilinism 1 animal lives in home of diff animal; metabiosis 1 organism depends on diff 1 that it can’t flourish unless the other precedes; phoresy one travels on body of another (w/o being parasitic); facilitation/probiosis: benefit at least one of the participants and cause harm to neither necromeny: one animal associating with another until the latter dies, and former eats corpse of latter. Synanthrope: species commensal w/ humans. Parabiosis: both animals have same home but do not interfere. COMPETITION: Interference/contest comp: organisms directly fighting for resources. Exploitative/Scramble competition: organisms target limited resource between them; one organism depletes resources for other. Apparent Comp: indirectly compete through shared predator. If one species grows in abundance, it increases predator population and therefore increased hunting, leading ot decline of the other species. PARASITISM: obligate parasite completely dependent on host; facultative parasite can survive w/o host; ectoparasites exhibited by parasites living outside body of host;endoparasitism inside body; mesoparasitism exhibited by parasites entering external openings of host THEORIES: “CLIMAX STATE”: proposed by Eugene Odum in 1930s; “wild populations of plants and animals in an ecosystem would naturally progress through stages of succession toward a harmonious, balanced state”; Odum then revised his idea: nature = collection of forces constantly changing, appearing to be in equilibrium at diff points in time, but would never last HARDY WEINBERG EQUILIBRIUM: 2 alleles: p^2 + 2pq + q^2 = 1; p+q = 1; 3 alleles: p^2 + q^2 + r^2 + 2pq + 2pr + 2qr =1; p+q+r = 1; the genetic variation in a population will remain constant from one generation to the next in the absence of disturbing factors (assumes no gene flow/migration, no mutations, random mating, no natural selection, large population) INTERACTIVE HYPO: F.E. Clements; mandatory biotic interactions assemble communities; ALLELIC DRIFT/genetic drift, wright effect: change in the frequency of a gene due to random chance. RESOURCE RATIO HYPO (R* RULE): if multiple species are competing for a single limiting resource, then whichever species can survive at the lowest equilibrium resource level (i.e., the R*) can outcompete all other species. If two species are competing for two resources, then coexistence is only possible if each species has a lower R* on one of the resources ALLEN’S RULE (1877): Joel Asaph Allen; endotherms adapted to cold climates have shorter limbs + bodily appendages than animals adapted to warm climates. Hesse’s Rule: species in colder climates have larger heart in relation to body weight than closely rel. Species in warmer climates. Bergmann’s rule: populations & species of larger size are found in colder environments. Jordan’s Rule: inv. relationship btw water temp and meristic (i.e #fins, #bones, #scales) characteristics. Shelfords law of tolerance the presence and success of an organism depend upon the extent to which a complex of conditions is satisfied Jordan’s Law: nearest related species to a species found in neighboring area separated by barrier. Eichler’s Rule (1942): parasites highly specific to host, therefore + corr. in taxonomic richness of hosts and their parasites. Gloger’s Rule: more heavily pigmented endotherm species r found in humid environments near equator. Rensch’s Rule: across closely related species, ratio of male to female body size increases with increasing specie size. Yoda’s Law/-3/2 power law: process of self-thinning among plant seedlings. Yoda’s law/self thinning principle: in a given plot of land, as biomass increases w/ time, plants density will decrease. Because biomass increased, less resources per plant. Gigantothermy: large, bulky, ectothermic animals can more easily maintain a constant high body temp than smaller animals. DYNAMIC STABILITY HYPO: long food chains more unstable than short.; DEMOGRAPHIC TRANSITION THEORY (1944): Frank Notestein, Kingsley Davis. Lotka-Volterra Model: used to describe the dynamics of ecological systems in which two species interact, one a predator and one its prey, assumes: 1. that the prey consumption rate by a predator is directly proportional to the prey abundance 2. Prey can always find food 3. Predators have limitless appetite 4. Rate of change proportional to size of pop; LAMARACK’S HYPO: acquired characteristics/inheritance, used girrafes as example. GAIA HYPO (1972): James Lovelock; living organisms interact with their inorganic surroundings on Earth to form a synergistic and self-regulating, complex system that helps to maintain and perpetuate the conditions for life on the planet; ARMS RACE COEVOLUTION: series of adaptations and counteradaptations resembling geopolitical arms race, and genes evolve to fixation. RED QUEEN HYPO: constant adaptations and counteradaptations in order to compete with otherspecies, but genes do not reach fixation. ADAPTIVE RAD: process where organisms rapidly diversify from native species in order to explore diff eco niches, aka when more resources available. MIMICRY: Bastesian mimicry: where a harmless mimic poses as harmful. (Named after Henry Walter Bates) Müllerian mimicry: two or more harmful species mutually advertise themselves as harmful. (pred eat -> bad -> avoid prey that look like that (Proposed by fritz Müller) Mertensian mimicry: where a deadly mimic resembles a less harmful but less-teaching mode (deadly->weak) (Proposed by M.G. Emsley). Vavilovian mimicry: Weed evolved to share one or more characteristics with a domesticated plant. (Nikolai Vavilov). Wasmannian/Auto mimicry: Mimicking of a model inside the colony. Gilbertian mimicry: The potential host of a parasite drives away it by looking like the parasite. Peckhamian mimicry: Predator using a harmless model to avoid them being id'd as a pred from a prey. Self mimicry: body parts that mimic another. Wasmannian Mimicry: organism resembles host to live in same structure. Emsleyan Mimicry: deadly organism mimics less dangerous species. Fixed action pattern: characteristic, instinctive, triggered behavior of species triggered by key stimulus. MIGRATION: Complete: all members of species migrate. Arctic Tern. Partial; some members migrate others don’t. American robin. Differential: species has diff migration patterns based on age or gender. Male American kestrels migrate longer than females. Interruptive: These species either do not migrate at all or migrate all at once when food runs out in their habitat. Example- Blue Jays. PHOTOSYNTHESIS provides energy & fixed organic carbon. Occurs in mesophyll. light dependent reactions: in thykaloid membrane of chloroplast. ATP and reduced electron NADPH. 1) light absorbed by photosystem 2 raises an electron in P680 to higher energy level; water molecule is split to replace electron creating O2. 2) ATP synthesis: High energy electron travels through electron transport chain, losing energy and sucking in electrons. Electrons move through ATP synthase driving chemiosis. 3) light absorption PS1: light makes an electron in P700 go higher energy level, electron from PS2 takes its place. High energy electron travels short 2nd leg of ETC and passed to NADP+ to make NADPH. Calvin cycle: in stroma of chloroplasts; results in carbon fixation into long sugar molecules 1) carbon fixation: CO2 combines w/ acceptor molecules RuBP (ribulose-1,5-bisphosphate), which splits into 3-phosphoglyceric acid (3-PGA). Catalyzed by RuBP carboxylase/oxygenase or RuBisCO. NOTE: in low [CO2] rubisco undergoes photorespiration, where it oxygenates w/ RuBP instead, breaking down sugar and wasting energy. 2) Reduction: ATP and NADPH used to convert 3-PGA to glyceraldehyde-3-phosphate (G3P). NADPH reduces 3-carbon int. 3) Regeneration: some GP3 goes to regen Rubisco and some goes to make glucose| C3 plants (most): no defense against photorespitation. C4 plants (i.e. corn, sorghum, sugarcane, millet, & switchgrass): spatial separation of LD (in mesophyll) and Calvin (in bundle sheath) minimizes photoresp. CHEMOSYNTHESIS: conversion of inorganic carbon-containing compounds into organic matter such as sugars and amino acids. TAXON TYPES: mono/holophyletic: entire group of organisms & common ancestor (the most recent ancestor, all animals technically related) , polyphyletic: doesn’t include common ancestor, trait developed somewhere else., paraphyletic: common ancestor + not all of its descendents, excludes some groups. SELECTION: stabilizing (favor avg. phenotype, decrease genetic diversity), directional (shifts towards 1 phenotype in response), Disruptive or diversifying (favors 2 extremes); Ecological density: # of individuals per area that can actually be colonized by the species; Eco Miscellaneous: Allee effect: positive correlation btw pop density & individual fitness. Connectance: number of links realized/max possible # of links: C = L/( S(S-1)/2) for undirected, C=L/(S^2) for directed w/cannibalism, C = L/(S*(S-1)) for directed w/o cannibalism, C = L/HP for host-parasitoid (H=# of hosts, P=# of parasites), S = # of species Resilience: capacity to recover; Resistance: ability to remain largely unchanged; Biomagnification: refers to larger trend in trophic levels where organisms in higher trophic levels have greater concentrations of pollutants than those at lower trophic levels. Outbreeding Depression: reduction of fitness b/c of breeding w/ distant unrelated species. Inbreeding Depression: reduction of fitness b/c of breeding w/ family members. Invasion meltdown: when 2 or more nonnative species facilitate each others’ development but exacerbate harm to native species. NICHES: habitat, food, reproductive, chemical; Eltonian niche: classifying niches according to foraging activities; species not only grows in and responds to an environment, it may also change the environment and its behavior as it grows; Grinnellian niche: idea that the niche of a species is determined by its habitat & its accompanying behavioral adaptations; Hutchinsonian: range of environmental conditions where pop can persist indef. Fundamentlal niche: where species could live. Realized niche: where species acc lives. pop growth eqs: inst rate = rmax * N(K-N)/K; rmaxN (assumes rmax & k are constant) Point of crisis: point at which population cannot be supported by Earth’s resources (Thomas Malthus). Biotic Potential: max growth rate of population given unlimited resources and lack of predators/competition. Per capita growth formula: (change in pop / initial pop) / t; Lokta-Volterra Equations: (1) (dy/dt) = Ax-Bxy (2) (dy/dt) = -Cy+Dxy; critical points: dy/dt=0; stationary point: (C/D, A/B); A = growth rate of prey; B = rate at which predators destroy prey; C = death rate of predators; rate at which predators increase by consuming prey; Alpha diversity: diversity within specific ecosystem/area, expressed in species richness. Beta Diversity: comparison of of diversity between ecosystems, measured as amt of species change between the ecosystems. Gamma diversity: measure of the overall diversity within a large region; expressed in species richness. Zeta diversity: degree of overlap in species btw a set of observed communities. Population Bottleneck: a disaster that decreases size of community & leads to more of one random species. Violates assumps of random mating & infinite pop size. Founder Effect: the reduced genetic diversity which results when a population is descended from a small number of colonizing ancestors. Allelopathy: an organism produces biochemicals that inhibit other organisms’ development; elderberry, sumac, goldenrod Coprophagy: eating feces/dung; rodents, lagomorphs, pigs, dogs Natality: (births)/(size of pop) MARINE BIOMES: Lentic: region w/ stagnant water. Lotic: region w/ flowing water. TERRESTRIAL BIOMES: Atmosphere: Nitrogen =78%Ozone=0.00006%;Helium=0.0005%;Carbon dioxide=0.035%; Oxygen= 21%; Argo= 0.93% Ecotone - area between two biomes; Climate: long-term pattern of weather in area, temp + precipitation and dependent on solar radiation, the earth's daily rotation, earth’s rotation around the sun, and the distributions of continents and oceans Tundra: 20%; 60-75°N avg winter temp is -34° C (-30° F), but the avg summer temp is 3-12° C (37-54° F). Precipitation: 20-60cm annually in arctic tundra, may be over 100cm in alpine tundra (average 15-25 cm a year); Growing season 50-60 days. treeless regions found in the Arctic & on tops of mountains, cold & windy, Plants are small and tough + dormant, perennials; Lichen primary food source (dead organic material = nutrient pools); Mainly herbaceous (herbs), like mosses, grasses, and forbs, with soem dwarf shrubs trees lichens. Year-round Permafrost restricts root growth; not much rainfall ;fauna: Large grazing musk oxen are resident, while caribou and reindeer are migratory. Predators are bears, wolves, foxes. Many birds migrate to the tundra for summer nesting. affected by past ice ages, permafrost, freeze-thaw cycles; plants reprod asexually bc faster & can be completed in short growing szns; biggest factor in photosynthesis is light cus short growin season. Soil: rich in nitrogen & phosphorus. Cyrosols or Gerisols. Also has large amt of biomass stored as methane and CO2 in permafrost, making tundra largest carbon sink. Antarctic: antarctic mostly ice fields and rock, but some tundra supports 300–400 species of lichens, 100 mosses, 25 liverworts, and around 700 terrestrial and aquatic algae species, which live on the areas of exposed rock and soil around the shore. No large mammals cus isolated. two flowering plant species, the Antarctic hair grass (Deschampsia antarctica) and Antarctic pearlwort (Colobanthus quitensis). Alpine: no permafrost; tops of mountains; well-drained soil; Arctic: north pole; has frozen sublayer of soil (permafrost); poor drained soil, resulting in marshes & streams in summer. Windy, w/ speeds of 30-60mph, and only 150-250mm of rain/year.Low biodiversity w/ 1700 species of vascular plants & 48 mammals. Notable plants in the Arctic tundra include blueberry (Vaccinium uliginosum), crowberry (Empetrum nigrum), reindeer lichen (Cladonia rangiferina), lingonberry (Vaccinium vitis-idaea), and Labrador tea (Rhododendron groenlandicum). Notable animals include reindeer (caribou), musk ox, Arctic hare, Arctic fox, snowy owl, ptarmigan, northern red-backed voles, lemmings, the mosquito, and even polar bears near the ocean. Rich in petroleum, uranium, & nat gas. Fires every 150-200 years, w/ with dryer lowland areas burning more frequently than wetter highland areas. Desert: 33%; Rainfall btwn 25-200mm per year (1-8in, < 25 cm); evaporation > precipitation; Living things store water; Low productivity; 1/5th of earth’s surface; most occur at low latitudes (Sahara of N Africa) BUT cold deserts occur in basin & range area of Utah, Nevada, & parts of western Asia; specialized vegetation + animals; abundant nutrients in soil; disturbances are common (fires, cold weather, sudden but infrequent intense rains that cause floods); Deciduous forest: 9% (25-50°N), covers 7.8 million km^2 worldwide; Precip: 750 to 1,500 mm (30 to 59 inches); Temperature. The average daily temperatures range between -30°C (-22°F) and 30°C (86°F) with a yearly average of 10°C (50°F). Animal life adapted to 4 seasons, hibernating, migrating, storing food supplies; northern regions soil is alfisol and inceptisol, in southern regions it is ultisols or spodosols. Converted to agricultural land by humans bc nutrient rich. More diverse than other biomes cus of enriched soil due to organic dead matter (leaves) and varying seasons. Temperature: winters ~ 0*C summers ~ 35*C, hot and humid summers. Flora: Distinct vertical 5 layers, 1 closed canopy-tall trees, 2 one or two strata (stratum) of understory trees sapling, 3 shrub layer, 4 herb layer, 5 ground layer mosses lichens. Few epiphytes, organisms that live on another w/o harming them, grow on phorophytes. Dominant deciduous trees, shed their leaves before winter to conservbe energy, low temp reduce photosynthesis and make nutrient uptake from soil difficult. In Australia, evergreen eucalyptus trees dominate. Fruits and nuts falling to the bottom layer are called mast. Semi-deciduous plants lose part of their foliage before new growth. Why do deciduous forests drop their leaves. Abscission cells. Fauna: Many mammals hibernate during the winter while many birds migrate. Mammals, birds, and insects make use of the various layers of the forest. HI: Heavily settled on in all continents, logging and clearing for land cleared much of the forests in NA, however, because of their aspect of recovery, many are returning. Boreal forest/taiga: 17% (world’s largest land biome) 45-65°N;Precipitation: 30-70cm/yr periodic droughts are common; some coastal coniferous in the pacific northwest are temperate rainforests that may receive over 300 cm of annual precipitation. 130 day growing season, starts when temp >5°C. temp in a boreal forest/taiga can range anywhere from as low as -60 degrees celsius (-76 degrees farenheit) in the winter to as high as 40 degrees celsius (104 degrees farenheit) in the summerfound at highest latitudes & elevation; dominated by spodosols (soil) in sandy areas but also inceptisols and entisols. Acidic soil - needles create aluminum acid 3.5 ph when they hit soil). Colder extreme temps than tundra. drunken forests - when permafrost layers in the soil thaw, the ground sags, and trees lean towards the depression. Unique feature is muskeg: swamp composed of water and decaying organic matter, usually with a layer of moss on top. Its a soil type that forms when stagnant water fills with leaf litter. The leaf litter forms into peat due to the low-oxygen and low-temperature conditions, which slow decomposition. Temp: Cold winters, maybe hot summers (Some areas in Siberia (-50 *C to 20 *C )). Plants: (Flora) Dominated by cone-bearing trees: pine, spruce, fir, hemlock; depending on fire to regenerate. Also birches and poplars The conical shape of conifers prevents snow from accumulating and breaking branches, needle leaves reduce water loss. Diversity of plants in shrub and herb layers lower than temperate broadleaf forests/deciduous forests. In the great majority of genera the leaves are evergreen, usually remaining on the plant for several (2–40) years before falling, but five genera (Larix, Pseudolarix, Glyptostrobus, Metasequoia and Taxodium) are deciduous, shedding their leaves in autumn. Pine needles contains lots of nitrogen to be absorbed into the nutrient-poor soil. Fauna: migratory birds, mammals: moose, brown bears, Siberian tigers, very diverse. Periodic outbreaks of insects that feed on dominant trees can kill vast tracks of trees. HI: Not being settled as much, but being logged alarmingly, old growth stands of trees may soon disappear. Lakes are formed by glaciers melting. Soils: Nutrient-poor, easily freezable soil, difficult for plants to root. Fire: Fire cycles in Canada and Alaska average 50-100 years, while in eastern canada, 200 years or more (mena fire cycle 126 years) High intensity crown fires, or severe surface fires of a very large sizes, more than 100 km^2-400km^2. Tundra grasslands aka polar; high altitudes, subarctic areas; short growing szn; huge grass fields & shrubs; Tropical deciduous forest: Precipitation: 200 cm annually on average, two seasons, dry and wet season. Temperature: constant warm temperature throughout the year, ~24*C. Flora: Deciduous trees lose their leaves in the dry season, then regrow them in the wet season. During rainy season, flush and full with foliage, dry season opens canopy, allowing plants on the bottom to get sunlight. You can still see the various layers of vegetation in this biome, including lianas (woody vines) and epiphytes such as bromeliads and orchids. The canopy contains tall trees above and smaller trees and shrubs underneath. Though most of the tall trees are often deciduous, there are still plenty of evergreen plants that retain their leaves throughout the year. Forests with more rainfall tend to have more evergreen species? (HI) TERRESTRIAL ENVIRO ISSUES: Precipitation/Potential evapotranspiration: indicates proportion of the water the land has the potential to lose through evaporation + transpiration is accounted for by annual precipitation; <1 = dry; >1 = humid. Parts of South America, including parts of amazon and southern Mexico, as well as parts of south east Asia and India contain tropical deciduous forests. This biome is also sometimes called Monsoon forest or mixed deciduous forest, depending on its location and slight variations. DEFORESTATION: highest in Brazil; complete removal of trees w change in land use; peak deforestation passed in 1980; CAUSES: Conversion of forests to agricultural land to feed people; development of cash crops and cattle raising esp. In tropical countries; commercial logging that is not regulated; poor soils in humid tropics do not support agriculture for long so more clearing becomes necessary; COP26 Conference(Glasgow): halt deforestation by 2030; Forest transition model: describes changes a forest experiences when its over stops shrinking and starts expanding; Stages: (1) none or very little decrease in forest cover → (2) rapid decrease in forest cover → (3) the reduction of forest cover slows, in stage four there is low forest cover that is increasing. SOLUTIONS: carbon credit systems; sustainable agriculture; community lead conservation; government regulations; banning Clear-Cutting of Forests; reforestation, afforestation; Fortress conservation: the creation of protected areas often by the removal of human inhabitants in pursuit of protecting biodiversity; negatives: human rights violation, forced eviction of local and indigienous ppl, decreased biodiversity; government mismanagement; economic hardship; Benefits: higher growth rate & survivorship of seedlings; transfer of water, carbon, nitrogen during harsh conditions, inoculation of mycorrhizal infection; Mycorrhizal networks: underground connections created by mycorrhizal fungi (hypha) that connect plant roots together & transfer nutrients from one to another; Clear-cutting: pros: higher timber yields, maximize profits, can reforest w fast growing trees; cons: lower biodiversity, fragmented habitats, water pollution, flooding, erosion; Amazon: beef is lead contributor; WILDFIRES: ground (dead/buried vegetation), surface (fallen dry vegetation), crown (tree canopy) FOREST DEGRADATION: decrease in trees w/o change in land use; DESERTIFICATION: 35% earth’s surface affected; susceptible areas 0.05-0.65 P/eP; Causes: overgrazing & poor grazing management; cultivation of marginal lands; destruction of vegetation in arid regions; incorrect irrigation practices leading to salinization; Common effects: increased wildfires, increased exposed soil, soil salinization, loss of vegetation; global annual dust emissions up 25% in last 100 yrs; dust feedback loops: promotes desertification: when dust particles act as cloud condensation nuclei, they create clouds with small droplets that are unlikely to produce rainfall → less precipitation → less moisture →more topsoil erosion + desertification & more dust emissions; EROSION: Gradual breaking down & displacement of rock and soil; SOIL EROSION TYPES: sheet erosion: even erosion of large flat area usually occurs in coastal planes or gentle slopes. Splash erosion: when raindrops cause small soil particles to become displaced, making more susceptible to erosion. Rill erosion: erosion in ridges, leaves deep ridges in land w/ strips of land in between. Gully erosion: if rill erosion left unattended, narrow strips can wash away, leaving gullies. Worst type of erosion. Wind erosion: when loose thin soil blown away by strong wind. Floodplain erosion: erosion from running flood water. causes: Plowing, tilling, grazing, deforestation, walking, farming on slopes, using pesticides, deforestation, construction/development, clearing land for mining; loss of N, P, K, Ca solutions: shoreline: building seawalls or groins; ELECTRONIC WASTE: releases mercury, lead, cadmium, barium, nickel, chlorofluorocarbons, polycyclic aromatic hydrocarbons (PAHs), polybrominated diphenyl ethers (PBDEs), polychlorinated dibenzo-p-dioxins and furans (PCDD/Fs); solution is to drop them off at certified disposal centers; china biggest prod & importer; TYPES OF ENVIRONMENTAL POLLUTION: air pollution, water pollution, soil pollution, noise pollution, radioactive pollution, thermal pollution, light pollution; Noise pollution: ways to measure = pressure, intenstiy, frequency SOIL POLLUTION: causes: seepage from a landfill; discharge of industrial waste into the soil; percolation of contaminated water into the soil; rupture of underground storage tanks; excess application of pesticides, herbicides or fertilizer; solid waste seepage Most common chemicals involved in causing soil pollution: petroleum hydrocarbons, heavy metals, pesticides, lead; Summer fallow: cropland purposely kept out of production during reg growing szn → vulnerable to wind/water erosion, soil organic matter depletion, soil salinity; LIGHT POLLUTION: types: over-illumination, glare, light clutter, skyglow, light trespass impacts: attracting/trapping insects, migration patterns, sleep and habitat formation for animals, harm melatonin production; WASTE DISPOSAL: 5 R’s: refuse, reduce, reuse, repurpose, recycle; Septic tanks: Three layers: slum, liquid, sludge; other: Effluent is toxic, liquid waste or sewage that enters the aquatic environment from a point source pollution;Mechanical biological treatment (MBT) is a waste management process that involves the mechanical separation of waste into recyclable materials and a residual waste stream. The recyclable materials are separated out and the residual waste stream is treated biologically to stabilize the organic matter; Cradle to grave approach: est by RCRA, means that creator of a hazardous waste generator is responsible from its creation to disposal; MINING: mine spoils- residues of mining activities; common techniques: open-pit mining, underground mining; mineral extraction: placer mining, solution mining; environmental risks: soil erosion, habitat loss, contamination of groundwater & soil, sinkholes In Situ mining - involves leaving the ore where it is in the ground, and recovering the minerals from it by dissolving them and pumping the pregnant solution to the surface where the minerals can be recovered. (uranium mining) FRACKING - uses pressurized water in order to drill into oil reservoirs that are deep underground. Pros: energy independence, econ dev, access to clean-burning natural gas; Cons: pollution of groundwater, leaked greenhouse gases into atmosphere, noise pollution, soil pollution, habitat destruction, prone to uncontrollable explosions, indued earthquakes. Heap Leaching: metal recovery technique used to extract metals from crude ores (uses a solution that seeps through ores to absorb metals; metals then extracted from soln) Problems: harmful bc unsupervised disposal of soln can cause release of toxic chemicals to local wildlife & human population; Strip mining: overlying rock is removed; for flat, shallow, bedded deposits; Brine mining: use of extracting desirable metals + elements from naturally occurring or artificially made saltwater solns; Problems: high salinity content of these solutions can easily dmg storage tanks meant to hold them → leak harmful brine solns into enviro; Acid rain/Wet acid deposition: SO2, NOX (nitrogen oxides) pH 4.0 - 4.5. Affects: changes pH of water bodies, leaches aluminum form soil, dissolves magnesium and calcium. Dry Acid Deposition: no moisture, dust and other particles become acidic and deposit on surfaces (water bodies, buildings), making water bodies more acidic and when washed off by rain creates acidic runoff. biomagnification: accumulation of toxins in higher trophic levels due to consumption of contaminated organisms. BIOREMEDIATION: use of microorganisms to consume and break down environmental pollutants to clean up a polluted site; oxidation-reduction reactions; benefits: used to create organic fertilizer via compost, absorb heavy metals in polluted water, treat sewage, etc IN-SITU METHODS- contaminants are treated at the same site using biological systems; cheaper & easier than ex-situ; bioleaching (idk) INTRINSIC: manages innate capabilities of naturally occurring microbes to degrade contaminants w/o taking engineering steps to enhance the process aka no human involvememt; ENGINEERED: increases growth of microorganisms via systems that supply growth-stimulating materials; bioaugmentation (Adding indigenous microbes to speed up degradation), biostimulation (adding various limiting nutrients to stimulate specific bacteria capable of bioremediation), bioventing (Drilling small-diameter wells into the soil to allow air ingress and passive ventilation), biosparging (Injecting high-pressure air into contaminated soil or under the groundwater table), biopiling (Digging up and piling polluted soil onto a treatment bed to allow for air flow through the soil), bioreactor (Converting raw materials by biological means into less harmful products), bioattenuation (natural attenuation), bioslurping (vacuum-enhanced dewatering technologies to remediate hydrocarbon-contaminated sites) EX-SITU METHODS- contaminants are treated in some other place from the original site. Faster, easier to control conditions, can treat wider range of contaminants. Slurry phase: engineered process for treating contaminated soils or sludges; bioreactoring Solid phase: treats soils in above-ground treatment areas equipped w collection systems to prevent any contaminant from escaping the treatment; biopiling, land farming, composter, biofilter, windrowing; Anaerobic: removal of pollutants using processes that do not involve molecular oxygen; organic carbon goes thru fermentation, methanogenesis, dechlorination; PHYTOREMED: use of plants to to remove pollutants from an ecosystem; negatives: limited to depth & surface area of roots, metal can be bound to soil organic matter & is unable to be extracted; phytostabilization (limits mobility of pollutants w/ roots), phytodegradation /transformation (plant roots secrete enzymes to break down pollutants, and then its taken up by plants and released by transpiration. Works for herbicides, trichloroethylene, and methyl tert-butyl ether) phytostimulation/rhizodegradation: plants stimulate the microbes in rhizosphere which breaks down pollutants. rhizofiltration (filters water through mass of roots to remove excess pollutants), phytoextraction (plants draw contaminants and store in plant tissue), phytovolatilization (plants take up pollutant and transpire into atmos as more volatile compounds that pollute less). Bio hydraulic containment (some plants like poplars draw water upwards into plant, which prevents contaminants from getting into groundwater). Phytodesalination: halophytes extract salt to improve soil fertility. removes toxic chemicals in soil; takes care of heavy metal most. BIOSWALE: landscape features which collect polluted storm water and filter it. I.e. sloped grassy/rocky structures. HUMANS: growth occurs close to biodiversity hotspots; high concentrations of endemic species+habitat loss. Ecosystem services: outputs, conditions, or processes of natural ecosystems that benefit humans; Environmental ethics: human beliefs abt what is right or wrong environmental behavior; ANIMAL TRAFICKING: most traficked animal is pangolin. ENVIRONMENTAL WORLDVIEWS: Biocentric - life-centered = we have ethical responsibility to protect earth’s biodiversity, inherent value to all life regardless of their use to humans; Stewardship - (1) humans = most imp but ethical resp to care for nature; (2) resource won’t run out but don’t waste; (3) encourage enviro-good forms of economic growth only; (4) our success depends our management of earth; Earth-centered/enviro wisdom - (1) we are not in charge of earth (2) resources limited, don’t waste (3) encourage earth-sustaining forms of econ growth; (4) our success depends on learning how the earth sustains itself and integrating such lessons from nature into the ways we think and act; Ecofeminist: women = men in joint quest for environmentally sustainable societies; Anthropocentric - human-centered; humans = most important species; deep ecology - earth centric, calls us to think more deeply abt obligations toward both human & nonhuman life; POPULATION GROWTH: Generation time: average time between two consecutive generations. Reproduction potential: capability of pop to reproduce in optimum conditions. (HI) POPULATION GROWTH ISSUES: HABITAT DESTRUCTION: demographic factors: expanding human pop; rate of pop increase over time; spatial dist of ppl in a given area CITY EXPANSION: INNOVATIONS:: green roofs and walls (allow for plants to grow on unused space, provide shade, remove heat from air)); wildlife overpasses (bridges that allow for animals to safety pass over busy roads); rain gardens: allow for native plants to grow; downspout disconnection (reroute rooftop drainage pipes from going into storm sewer to rain barrels); “Green Belt” - open forested areas where no one is permitted to build; expected ⅔ of humans will live in urban areas by 2050; Permeable pavement: infiltrate, treat, store rain; pros: cost effective where land values are high, no runoff, no need for drainage systems, cooler surfaces, less standing water; cons: icing/flooding, soil issues, ongoing maintenance, requires a specialist, lower load-bearing capacity; FOREST FIRES: 3 types: Ground fires: plant roots/organic matter below soil surface ignite, move slowly but are difficult to suppress; Surface fires: surface litter & duff burn, easiest to put out/least dmg; Crown fires: trees burn up entire length to the top, most dangerous FARMING PRACTICES: Techniques: Nutrient film technique (NFT) is a hydroponic technique where in a very shallow stream of water containing all the dissolved nutrients required for plant growth is re-circulated past the bare roots of plants in a watertight gully, also known as channel; vertical farming is also a technique Impacts: reduction of forest cover, dmg to groundwater resources, dmg to living organisms; GW affect on ocean: sea level rise, acidification, coral bleaching, low [O2]Soil salinization: when salt accumulates in the soil (hinders growth of crops); removal of plants - removes roots which anchor & hold soil in place → land more prone to mudslides; GMOS: pros: may contain more nutrients, fewer pesticides, cheaper; cons: may cause allergic reactions, may increase antibiotic resistances; YELLOW BOY PHENOMENON / ACID MINE DRAINAGE: mining in metal mines which are rich in sulfide exposes the sulfides which react to form sulfuric acid, which can drain into surrounding environment. Marked by orange-yellow substance that occurs when acid-influenced water raises above 3 pH so dissolved iron precipitates out. Bad for fish animals and plants. FERTILIZERS: 3 major elements: cadmium, nitrogen, phosphorus, potassium (P>N pollution)Haber Bosch Process: made possible prod of usable nitrogen for fertilizer; converts hydrogen & nitrogen to ammonia; leads to eutrophication & biodiversity loss; catalysts: Fe3O4 (magnetite), uranium, osmium promoters: K2O, CaO, SiO2, Al2O3; requires high pressure & high temps; PESTICIDES: (Pb, As, Hg) largest shares of use: corn, cotton; CLIMATE CHANGE: Greenhouse Gases (avg life in atmosphere, 100-year GW potential): methane (11.8 yrs, 27-29.8), nitrous oxide (109 yrs, 273), CFCs (varies, varies; highest sulfur hexafluoride w/ 25000), CO2 (lifetime not represented bc of carbon cycle) CO2 emissions (hi-lo): coal, oil, natural gas, biofuel; contributors to ghgs: electricity & heat (31%); agriculture (11%); transportation (15%); manufacturing (12%); forestry (6%); energy prod (all types) = 72% of all emissions Invasion Curve: Prevention, Eradication, Containment, Long-term management. Tipping points: Atlantic Meridional Overturning Circulation, West Antarctic ice sheet disintegration, Greenland ice sheet disintegration, Amazon rainforest dieback, permafrost, coral reef die-off, the El Niño–Southern Oscillation; Human Impact calculated as product of affluence, population size, and technology. Human health impacts: asthma, heat stress, allergens, decrease in clean water, less nutritious food; Milankovitch cycles: variations in Earth’s climate based on orbit around sun. ENERGY & GASSES: Renewable: sources replenished at rate they are used; ex biomass Non Renewable: sources that are not replenished at rate they are used; ex fossil fuels; Perpetual: do not need to ever be replaced; ex solar; Natural Gasses: cleaner than fossil fuels (paves way to more renewable energies); Ethanol: C2H5OH(l)+3O2(g)→+2CO2+2H2O(l); renewable, pure state does not emit greenhouse gasses, better than gasoline; :) sources: fast-growing grasses, micro-organisms, food waste, copper-catalyzed water; Petroleum: crude oil, bitumen, extra-heavy oil, light oil, heavy oil, intermediate oil, conventional oil, ultra-light oil; also makes Asphalt, DDT, and styrene. Random info: On the surface of a rotating sphere, the speed at which any point moves depends on its latitude because that determines the distance it must travel: a point at the equator travels faster than one at a higher latitude. Waste-to-energy plants: Pros: prevents incineration, avoids landfilling, resource recovery. Cons: high CO2 emissions, destroys recoverable materials, disincentivize recycling, fuels unregulated waste trade. Affect of Hg: ataxia (motion impairment), lethargy, reduced appetite, poor reproduction, weight loss, early death. Fixation: gene has evolved to fixation when its freq is 100% in that population. PAH: Polycyclic aromatic hydrocarbons; from burning organic material, likely to affect terrestrial organisms in soil, easy to degrade w/ microbes, & highly soluble in water. Ozone layer depletion: caused by CFCs, Chlorides, Halons, and Bromides. Krummholz: stunted windblown forest on treeline. Worms (least to most harmful: epigeic (soil-surface dwellers) < endogeic (topsoil dwellers) < anecic (deep-burrowing subsoil dwellers). Epigeic earthworms live near the surface and don’t impact the soil composition as much. Anecic earthworms travel between the organic and lower soil layers, resulting in the highest amounts of soil mixing and breaking down of forest floor litter. Endemic species: found in specific geographical area. Saprotrophs: organism that derives nourishment from decaying organic matter by secreting extracellular enzymes on dead organic, ig type of detritivore. Cryptobiosis: state of extreme inactivity in response to adverse environmental conditions. Halophyte: plant adapted to saline conditions. TYPES OF ALGAE: Epilithic: grow on hard sediment, bigger than most algae. Epiphytic: grow on plants & larger algae. Epipsammic: grow on sand. Epipelic: grow on inorganic or organic sediment smaller than most algae. Phytoplankton: microscopic algae suspended in water column. SOIL TYPES|: Entisols: Recently formed soils that lack well-developed horizons. Commonly found on unconsolidated river and beach sediments of sand and clay or volcanic ash, some have an A horizon on top of bedrock. They are 18% of soils worldwide. Gelisol/Cryosols: Permafrost soils with permafrost within two metres of the surface or gelic materials and permafrost within one metre. They constitute 9% of soils worldwide. Alfisols: Soils with Al and Fe. Form in semi-arid to humid areas where there is enough moisture and warmth for at least three months of plant growth. Clay-enriched subsoil. They constitute 10% of soils worldwide; very fertile an used in agriculture and forestry. Found primarily under temperate deciduous forest. Andisols: Volcanic ash soils. They are young soils. They cover 1% of the world's ice-free surface. High water-holding capacity and the ability to "fix" (and make unavailable to plants) large quantities of phosphorus. Aridisols: Dry soils forming under desert conditions which have fewer than 90 consecutive days of moisture during the growing season and are nonleached. They include nearly 12% of soils on Earth. Soil formation is slow, and accumulated organic matter is scarce. They may have subsurface zones of caliche or duripan. Many aridisols have well-developed Bt horizons showing clay movement from past periods of greater moisture. Histosols: Organic soils, formerly called bog soils, are 1% of soils worldwide. Inceptisols: Young soils. They have subsurface horizon formation but show little eluviation and illuviation. They constitute 15% of soils worldwide. They are often found on fairly steep slopes, young geomorphic surfaces and on resistant parent materials. Mollisols: Soft, deep, dark soil formed in grasslands and some hardwood forests with very thick A horizons. They are 7% of soils worldwide. Oxisols: Highly weathered soils found primarily in tropical/subtropical regions of the world. Contain few weatherable minerals and are often rich in Fe and Al oxide minerals. Mostly characterized by extremely low native fertility, resulting from very low nutrient reserves, high phosphorus retention by oxide minerals and low cation exchange capacity (CEC). Most nutrients in Oxisol ecosystems are contained in the standing vegetation and decomposing plant material. Spodosols: Acid soils with organic colloid layer complexed with iron and aluminium leached from a layer above. They are typical soils of coniferous and deciduous forests in cooler climates. They constitute 4% of soils worldwide. Ultisols: acid soils in the humid tropics and subtropics, which are depleted in calcium, magnesium and potassium (important plant nutrients). They are highly weathered, but not as weathered as Oxisols. They make up 8% of the soil worldwide. Vertisols: Inverted soils. They are clay-rich and tend to swell when wet and shrink upon drying, often forming deep cracks into which surface layers can fall. They are difficult to farm or to construct roads and buildings due to their high expansion rate. They constitute 2% of soils worldwide. Commonly formed in warm, subhumid or semi-arid climates, where the natural vegetation is predominantly grass, savanna, open forest, or desert shrub. Anthrosols: newest discovered soil that are heavily affected by humans due to agriculture or irrigation. High phosphate content & pH. Necrosol: anthropogenic soil found in cemeteries cus of dead human bodes. Technosol: human acitivies that led to new soil (like landfills, mining sites, etc.) Terra Preta: rich black fertile soil in Amazon. NUTRIENTS: 16 required: C, H, O, N, P, K, Ca, Mg, S, Fe, Zn, Mn, Cu, B, Mb, Cl. Nitrogen: available as NO3- and NH4+, needed for amino acids, enzymes, chlorophyll --> photosynth, quality of leafy veg. Phosphorus: needed to sustain genome (DNA), protein synthesis (RNA), or energy storage (ATP). Also has an important role in electron carriers, like NADPH, and therefore is a key component of the light-independent phase of photosynthesis. Potassium: available as K+. Doesn't compose any vital organic compound, but is important enzyme activator that promotes metabolism, control guard cells, maintains electrical charge balance during photosynth, translocation of sugars in photo, improves disease resistance, imrpoves size of seeds, improves quality of fruit & veg. CLIMAX|: climactic: controlled by climate; theoretical. Edaphic: >1 climax communities modified by substrate conditions like moisture, nutrients, topography, exposure, fire, & animal activity. Usually ends in edaphic climax. Catastrophic: regenerates after natural disaster. Disclimax: maintained by humans or domestic animals. Subclimax: prolonged stage in succession b4 climax. Preclimax: community w/ life forms lower than expected, forms in hot dry areas. Postclimax: community has more life forms than expected, occurs in cool moist areas. LEGISLATION: Wilderness Act (1964): created legal definition of wilderness in US. Wild & Scenic Rivers (1968): protects free flowing rivers with outstanding natural, cultural, and recreational values. Classified rivers either wild, scenic, or recreational. Food Security Act (1985): also known as “Swampbuster”; act protects wetlands. Roadless Rule (2001): establishing limits on road construction in 58.5 million acres of inventoried roadless areas on Natl Forest System lands. Surface Mining Control & Reclamation Act (1977): primary federal law that regulates environmental effects of surface mining in US. Ensures that mining operations r conducted in safe & environmentally responsible manner. General Mining Law (1872): Grants free access to individuals and corporations to prospect for minerals in public domain and mine. Mineral Leasing (1920): authorizes leasing of public lands for developing deps of coal, petroleum, natural gas, and other hydrocarbons, phosphates, and sodium. Oil Spill Prevention and Liability Act (1990): strengthened EPA’s ability to prevent and respond to catastrophic oil spills. National Environmental Policy Act (1969): NEPA requires federal agencies to assess the environmental effects of their proposed actions prior to making decisions. Clean Water Act (1972): established basic structure for regulating discharges into pollutants of water in US. Also gave EPA authority to implement pollution control programs. Clean Air Act (1970): gives allowances to coal-fired plants, aka how much they can burn. Plants can sell allowances to each other but overall allowances are the same and reduce every year. Safe Drinking Water Act (1974): established standards for drinking water. Marine Protection, Research, and Sanctuaries Act/Ocean Dumping Act (1972): prohibits dumping of material into ocean that would severely harm human health or marine environment. Resource Conservation and Recovery Act (1976): gives EPA the authority to control hazardous waste from cradle to grave. Toxic Substances Control Act (1976): provides EPA with authority to require reporting, record-keeping and testing requirements, and restrictions relating to chemical substances and/or mixtures. Comprehensive Environmental Response Compensation, and Liability Act (CERCLA or Superfund) (1980): to clean up uncontrolled or abandoned hazardous-waste sites. Nuclear Waste Policy Act (1982): provides for the development of repositories for the disposal of radioactive waste, to establish a program of research, development, and demonstration regarding the disposal of high-level radioactive waste, and for other purposes. Federal Hazardous Substances Act (1960): requires certain hazardous household products to display cautionary labels. Hazardous Materials Transportation Act (HAZMAT - 1975): governs transport of hazardous materials and wastes. Covers containers, labeling, & marketing standards. Montreal Protocol (1987): protects stratospheric ozone layer by stipulating use of CCl4, CFCs, halons, & methyl chloroforms by 2000. Very successful. Kyoto Protocol (1997): commits ind. nations to limit GH gas emissions. Signed by 192 countries. Includes 6 main categories of GH gases: CO2, CH4, N2O, HFCs, PFCs, & SF6. Paris Agreement (2015): long term goal of keeping GW < 2°C, need for global emissions to peak ASAP, undertake rapid reductions in emissions. Multiple Use Act (1960): directed that natl forests be managed for timber, watershed, range, outdoor recreation, wildlife, and fish purposes. The Convention of International Trade in Endangered Species of Wild Fauna & Flora (cities) (1963): intl agreement btw govts to ensure intl trade in wild animals and plants does not threaten their survival. Marine Mammal Protection Act (1972): established fed responsibilities to conserve marine mammals. Endangered Species Act (1973): program for conservation of threatened and endangered species. TEK|indigenous/tradional ecological knowledge accumulated over centuries and still being accumulated. Fire Stick Burning: (cool burning or cultural burning) technique by Aboriginal Australians of burning vegetation to promote growth of specific species & manage animal pops. 7th Gen. Stewardship: taught by Iriquois; emphasizes long-term sustainability & responsibility of future generations. Terra Preta/Black Earth: trad. Practice used by Amazon tribes to enhance soil fertility in nutrient-poor soils by adding biochar. Inuit: use community based regulations & seasonal restrictions to manage wildlife pops. Forest Gardening: low maintenance, sustainable, plant-based food production & agroforestry sys based on wodland ecosystems. Chagras System: complex agroforestry systems developed by indigenous in Amazon based on shifting agriculture in multilayered agroforestry. Multilayered Agroforestry: include mutiple layers: canopy, understory, shrub, herbaceous, and ground layer; vertical stratification. Tanada: trad. Japanese agri technique that uses natural slope of land to create terraced fields to prevent erosion and conserve water. 1 cm = 0.393701 in. Alpha diversity is the species diversity present within each ecosystem on a landscape. Beta diversity is represented by the species diversity between any two communities. Gamma diversity of is the species diversity across the entire landscape, taken as one unit. We measure alpha-diversity as the observed richness (number of taxa) or evenness (the relative abundances of those taxa) of an average sample within a habitat type. We quantify beta-diversity as the variability in community composition (the identity of taxa observed) among samples within a habitat [21]. Finally, we calculate gamma-diversity as the total observed richness of all samples within in a habitat.Alpha diversity is basically the species richness in a smaller area (1) and tends to be the most common metric for species diversity 2. Beta diversity describes the rate diversity changes throughout an ecosystem (1), and is calculated by dividing the gamma diversity by the alpha diversity. (Explaining that it "connects" alpha and gamma works too) 3. Gamma diversity is the species richness, or the total amount of species, across the larger landscape.

lotka competition, α12 expresses the effect of one member of Population 2 on the growth rate of Population 1; α21 expresses the effect of one member of
Population 1 






on the growth rate of Population 2



![]()







