L3- Kinship + Sociality
Recap:
Constraints Hypothesis for the evolution of cooperation:
constraint on independent reproduction→ drives grown offspring to stay at home
offspring become helpers
similar idea in eusocial insects

Benefits received from helping behaviour:
direct fitness benefits:
current reproduction
increased future survival and reproduction (skills to be being a better parent)
indirect fitness benefits:
increased fitness of relatives
better productivity (increase survival of brood)
better survival of breeders (reduce cost on parents)
kin selection→ selection on traits due to their beneficial effects on the fitness of relatives
Applying IFT to the origin of social groups:
IFT hypothesis→ high relatedness played a key role in the transition to eusociality
eusociality→ true sociality, have non-reproductive casts that are sterile e.g. wasps, termites, bees, ants, shrimps
Q→ how has kinship played a role in the evolution of eusociality?
monogamy hypothesis→ strict lifetime monogamy results in individuals with equal relation to their offspring and their siblings (r = 0.5)
eusociality will only occur when there is strict monogamy
the more females a male mates with, the lower the relatedness between the siblings

predict→
all eusocial species passed through a monogamy window in their evolutionary history
multiple mating evolved later after specialisation
results:
all eusocial lineages of the hymenoptera have passed through an ancestral monogamy window
polyandry occurs mostly on the right hand side- recent evolution and when the workers were already specialised for helping- hard to flip back to non-social

→ transition to eusociality was driven by high relatedness determined by strict lifetime monogamy:

mammals-
predict- cooperative groups are monopolised by 1 male and female, same degree of reproduction in non-cooperative groups
in cooperative groups, there is nearly 100% reproductive skew, where reproduction is monopolised by 1 male and1 female, high relatedness in these groups

→ monogamy hypothesis works well for mammals
birds-
significantly less promiscuity in cooperative species
the higher the level of promiscuity, the lower the proportion of cooperative nests

→ the frequency of promiscuity affects cooperative breeding evolving (but not as strong evidence)
→ the monogamy hypothesis applies to eusociality and may apply to cooperative birds and mammals
How important is kin selection?
Question→ do species that have helpers live in groups made mostly of kin?
Hypothesis- cooperative breeding has evolved in kin groups
Methods→ phylogenetic tree of 18 cooperatively breeding mammal species
Results→
½ live in groups of same-sex kin
½ live in groups of mixed same-sex kin and non-kin

→ kin ship has importance in cooperative mammal species but there are only a few species to study
Birds-
have lots of families of cooperative taxa→ lots of independent evolutions of cooperation
mainly cooperative groups are made up of kin

another study found 85% of cooperatively breeding bird species are in kin groups:

→ kin groups predominate among cooperative breeders in mammals and birds but is not universal like eusociality in the hymenoptera
Is cooperation kin selected?
early studies show a general association between productivity and group size (increasing in helpers) but this shows correlation, not causation

need to account for:
confounding effects of territory/individual quality:
compared productivity of pairs with less helpers and the same pairs with more helpers
found no benefit of increasing male helpers and less benefits of increasing female helpers

direct benefits of helping under-estimated?
need to know about parentage- helpers could be reproducing themselves
calculated indirect fitness in wrens and found high levels of extra pair paternities→ males and helpers have low relatedness to the offspring

in seychelles warblers 44% of subordinates reproduce and 40% of young are due to extra-group paternity→ average helpers-brood r = 0.13, have low indirect fitness

→ need to reassess the role of kin selection
evidence for active kin discrimination
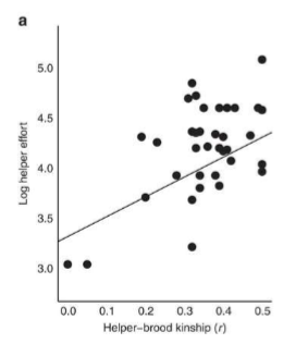
helpers work harder when they are more related to the brood, doesn’t show causal relationship though

there are more species that show positive kin discrimination but it is quite variable

positive correlation of helper effort and relatedness across 37 species of bird

→ good comparative and meta-analysis evidence for active kin discrimination
Kin selection has variable importance in the evolution of cooperation across species e.g. birds:

Summary:
Transitions to sociality are associated with monogamy (Hymenoptera) or low promiscuity (mammals and birds), both of which cause high intragroup relatedness
Kin selection is critical in the origin of eusociality (obligate social species)
Among birds, groups in most social species are composed primarily (but not exclusively) of kin
Kin selection not always important in facultative cooperative breeders, especially when there are no non-breeding helpers
Reflection:
Define kin selection → traits are selected due to relatedness
What is cooperative breeding? → breeding with helpers