Lecture 8 - Acquiring theory of mind
Acquiring Theory of Mind
1. What is Theory of Mind (ToM)?
Definition: Theory of Mind is the cognitive ability to attribute mental states—beliefs, intents, desires, emotions, knowledge, etc.—to oneself and to others. This enables individuals to understand that others have thoughts and perspectives that may differ from their own.
Theoretical Framework: The concept considers how individuals form ‘theories’ regarding how others think, which is essential for social interaction and understanding complex social cues.
2. Learning Outcomes
Gain a profound understanding of why false belief tasks are used specifically to test Theory of Mind.
Recognize the distinct developmental timeline of ToM, noting significant milestones in its acquisition during early childhood.
Identify and analyze the various factors influencing children's performance on ToM tasks, including socio-cultural influences.
Reflect critically on the processes involved in the acquisition of ToM and its implications for social development.
3. Structure of Lecture
False Belief Tasks: Comprehensive examination of tasks designed to evaluate ToM.
Definition and Explanation: In-depth analysis of what constitutes false belief and why it is critical for understanding ToM.
Types of Tasks Used: Different methodologies that psychologists utilize to assess Theory of Mind.
Implications of ToM Acquisition: Exploring how understanding ToM impacts social interactions and personal relationships.
Conceptual Shifts vs Gradual Acquisition: Distinguishing between sudden realizations versus gradual cognitive development in ToM.
Performance Issues: Investigating inconsistencies or difficulties in children's performance during testing.
Infant Competence: Early indications of understanding ToM in infants; what research suggests about infant perception.
4. False Belief Tasks
Definition: False belief tasks are experiments designed to assess individuals' understanding that others can hold beliefs that are different from reality or from their own knowledge.
Key Examples: The Smarties task and the Sally-Anne task serve as primary examples.
Key Insights:
3-Year-Olds: Typically fail false belief tasks, suggesting they cannot represent another person's knowledge or beliefs accurately.
4- to 5-Year-Olds: Generally succeed, demonstrating an emerging ability to recognize that others may have different knowledge states based on their experiences.
5. Methods of False Belief Tasks
Smarties Task: In this task, a child is shown a container (like a Smarties box) that has a non-typical item inside (e.g., pencils) and is asked what another child would think is inside. Performance on this task is indicative of the child's ability to understand false beliefs.
False belief question - what will person two think is inside the box, young children say pencils
Sally-Anne Task: This task involves a scenario where one doll hides an object and another doll moves it while the first doll is away. Children must predict where the first doll believes the object is hidden, which tests their understanding of perspective-taking.
6. Implications of False Belief Tasks
Cognitive Limitations: Failure in these tasks is indicative of underlying cognitive limitations in a child's ability to grasp another's perspective.
3 year old children tend to fail these tasks, suggest they cant represent the knowldge of another persons mind
4 and 5 year olds children tedn to pass these tasks, suggets they can distinguish their knowledge and the knowledge another person would have
Successful Performance: Indicative of cognitive growth, demonstrating the child's ability to differentiate their knowledge from that of others, typically seen around ages 4-5.
7. Conceptual Shift or Gradual Change?
Theoretical Debate: There is ongoing debate whether the development of ToM reflects a sudden conceptual shift or a gradual process. Evidence from developmental studies, including longitudinal assessments, suggests a gradual development over time.
Children develop ability to simulate others’ minds (Harris, 1991)
Can imagine their own reactions, behaviours, and apply that simulation topredict how someone else might respond
Only useful if a situation can be simulated
Children make mistakes answering questions about their own false beliefs– not consistent with simulation theory
Implicit vs Explicit Understanding: Children may display an implicit understanding of mental states earlier than their explicit recognition of those states.
Does acquiring ToM involve a conceptual shift
What happens for children to start passing Theory of Mind tests at 4? Does acquiring a Theory of Mind involve a conceptual shift or something more gradual?
Wellman et al., (2001) conducted a large meta-analysis of false belief tasks. Figure A shows proportion correct responses across different ages and different studies.

At 2.5 years of age, children are 20% correct.
At 3 years of age, children are 50% correct.
At 4 years of age, children are 60-70% correct
Evidence against the idea that there is a conceptual shift in understanding about Theory of Mind comes from (at least) two areas:
Performance issues
Infant competence
Performance issues
False belief tasks can only show right or wrong responses – not surprising this looks like stage-based development.
Multiple (repeat) tests show more variable success, longitudinal studies show more gradual change.
Flynn, O’Malley, & Wood, (2004): A longitudinal, microgenetic study of the emergence of false belief understanding and inhibition skills.
Method: A longitudinal, microgenetic study – children tested every 4 weeks for 6 testing sessions.
Microgenetic study: repeated testing of same tasks to observe changes as they happen.
Children were 3-year-olds (approaching age at which they would start to pass false belief tests).
Children repeated 3 false belief tasks.
Conclusions:
Progression on false belief tasks is neither sudden nor smooth – children go through a period of unstable performance on these tasks.
Single instances of successful performance may not represent a true understanding of false belief.

Performance issues
3- and 4-year-old children take longer to respond to False belief questions than questions about reality (Kikuno et al, 2007).
Suggests both ages are processing the questions, 3-year-olds are more prone to errors in responding.
Different measures show looking behaviour that is consistent with understanding false beliefs (Clements & Perner, 1994; Garnham & Ruffman, 2001).
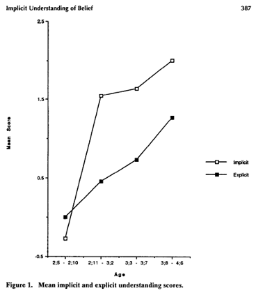
Clements & Perner, (1994): Implicit understanding of belief.
Method: Tested 2.5- to 4.5-year-olds
Measured question responses (___________ response) and anticipatory looks (___________ response) in an unexpected transfer task.
Results: Eye movements show earlier understanding than question responses.
Conclusions:
The difference in performance is related to judgements:
Answering a question involves making a judgement about a fact
Looking just requires a representation of a fact
Children show earlier understanding of false belief when measured implicitly not explicitly.

Onishi & Baillargeon, (2005): Do 15-Month-Old Infants Understand False Beliefs?
Method:
56 15-month-olds
Violation of expectation – looking at time measures, set up a situation where the children’s expectation have been violated
puts the melon in one box and then asks the child where the melon is
they do different trials like personally seeing the melon move and seeing if they know that the melon has been moved

Conclusions:
Infants expected the actor to search on the basis of her belief about the toy's location.
Suggests infants have a representational theory of mind by 15 months.
8. Factors Influencing ToM Development
8.1 Language Development
Correlation with Performance: Language abilities strongly impact ToM, with children who have greater language skills performing better on false belief tasks.
Complex Syntactic Use: Research suggests that children's use of complex syntactic structures in language can predict their understanding of false beliefs.
deaf children with language delays show delays in false belief understanding
Later cohorts of Nicaraguan Sign Languageusers show greater ability to pass false belieftasks than earlier
As NSL became more complex, users weremore able to do false belief tasks
8.2 Mind-mindedness
Impact of Caregiver Communication: The extent to which parents and caregivers engage in discussions about mental states (mind-mindedness) significantly influences children's ToM development.
Mothers’ mind-mindedness at 6 months predicted children’s performance on false belief tasks at 45 and 48 months.
Mothers’ ability to interpret infants’ menta lstates must help infants learn to understand the beliefs of others.
Longitudinal Effects: Studies show that early maternal mind-mindedness correlates with better ToM performance in later childhood.
8.3 Family Size
Social Dynamics: The number of siblings a child has affects their exposure to diverse social interactions, contributing positively to ToM acquisition.
Social Engagement: Diverse interactions within larger family units are linked to improved understanding of others’ perspectives.
Children from Greek communities in Crete and Cyprus tested
Maximised range of family unit sizes or range of daily interactions with older family members.
Results suggests more than a simple sibling effect:
the number of older siblings and adult relatives and the number of daily interactions predict success on false belief tasks.
Interactions provide opportunities to learn.
9. Summary
False Belief Tasks: Considered the gold standard for assessing ToM in children. Most children reliably pass these tasks around age 4 but show signs of implicit understanding earlier.
Influential Factors: Language development, familial interactions, and broader developmental contexts play critical roles in shaping ToM acquisition. Overall, the complexity of ToM development reflects multifaceted cognitive, linguistic, and social influences throughout childhood.