Exam 1
January 29: Limits and how to solve them
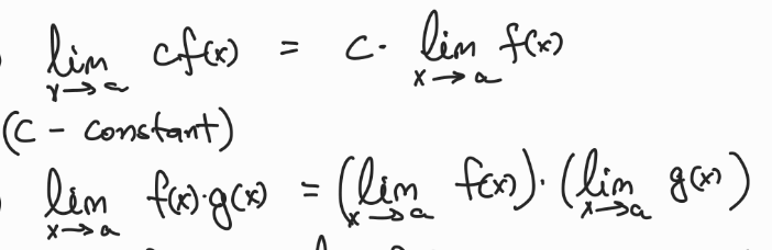
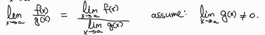
Limit Laws
Sum/difference:

Product

Quotient

Power

Roots

Ways to solve limits
Direct Substitution
(if f(x) is a continuous polynomial or rational function) then
limx→a f(x) = f(a), so
plug in “a” as the function’s x value
Cancellation
(this is used when utilising direct substitution results in something undefined, like a fraction with 0 in the denominator)
factor out the numerator and denominator
see if anything can be cancelled out between them
cancel it
then try direct substitution
Algebraic manipulation
(this can be used when there is a sqrt in the numerator, and when the denominator would be equal to 0 upon attempting direct substitution)

multiply the fraction, whose numerator will be in (A - B) format by (A + B/A + B) to get (A - B)2, and then simplify.
NOTE: you will not need to factor out the denominator
One-sided limits
find the limx→a from the left side (x→a-) and from the right side (x→a+), and then see if they are equal
if they are equal the limit exists.
if they are not, the limit DNE
Squeeze theorem:
Suppose that f(x) ≤ g(x) ≤ h(x) for all x close enough to a. If limx→a f(x) = limx→a h(x) = L, then limx→a g(x) = L
this is because g(x) is nestled between f(x) on the left side and h(x) on the right side
February 3: Continuity and continuity theorems
Definition of continuity
a function is continuous at x=a if…
f(a) exists; and
limx→a f(x) = f(a)
Theorems of continuity
Theorem 1:
if f(x), g(x) are continuous at x = a, then so are…
f(x) ± g(x)
f(x)*g(x)
f(g(x))
c*f(x)
f(x)/g(x) as long as g(a) ≠ 0
nth root of f(x) as long as f(a) > 0 if n is an even number
Theorem 2: polynomial functions
Every polynomial function is continuous everywhere
Theorem 3: rational functions
Every rational function is continuous in its domain
Theorem 4: trig functions
all trig functions are continuous in their domains of definition
Theorem 5: intermediate value theorem
If f(x) is continuous on the interval [a, b], then for every y-value that exists between f(a) and f(b), there exists an x-value
February 5: Infinite limits (VA) and limits at infinity (HA)
Infinite Limits
How to understand of infinite limits ?
If limx→a f(x) = ∞, then when x is arbitrarily close to a, f(x) becomes arbitrarily large
If limx→a f(x) = -∞, then when x is arbitrarily close to a, f(x) becomes arbitrarily small
Vertical Asymptotes
We say that f(x) has a VA at x=a if limx→a± = ± ∞
We can find VA by…
identifying values a at which limx→a f(x) DNE; or
computing one-sided limits for limx→a, and if one of these is ±∞, then x=a is a VA
Lim its at Infinity
Definition of limits at infinity
limx→∞ f(x) = L if, when x is arbitrarily large, f(x) becomes arbitrarily close to L
Horizontal Asymptotes
y = L is a HORIZONTAL ASYMPTOTE if limx→±∞ f(x) = L
How to identify HA/Limits at infinity
Rule: 1/±∞ = 0
NOTE:
limx→0 sin(1/x) DNE
limx→∞ 1/x sin(x) = 0
For polynomial functions:
Theorem:
limx→∞ xn = ∞
limx→-∞ xn = ∞; if n is even
limx→-∞ xn = -∞; if n is odd
For rational functions:
Given axn +… /bxm + …, and that n is the degree of the numerator and m is the degree of the denominator, if…
n < m, HA @ y = 0
n = m, HA @ y = a/b
n > m, there is no HA
February 10: Derivatives and rate of change
Definition of the derivative:

this definition will give you the equation for f’(x)
NOTES
NOTE: if asked to find the equation of the tangent line at a certain point where x = j, plug in j for f’(x)
NOTE: VELOCITY is also an interpretation of derivative
velocity = derivative of position
EXAMPLE with velocity
NOTE: s = speed, t = time, s(t) = position
Given problem: height = 380; equation for distance fallen after t seconds is s(t) = 4.9t2 m
what is the ball’s velocity after 5 seconds ?
velocity after 5 seconds can be expressed as v(5), which can be expressed as s’(5), given that we know that velocity is the derivative of position
find s’(t) or v(t)
then plug in 5 sec for t
this is your answer
what is the ball’s velocity when it hits the ground ?
if the height of the building is 350 m, then the function can be written out like this: s(t) = 380, given that we know that s(t) = position
find the t
then find s’(t) which can also be expressed as v(t)
plug in the time found before into the equation
this is your answer
NOTE: point-slope form can also be used to identify the slope if given points, or identify another point if given slope and one ordered pair
y1 - y2 = m (x1 - x2)
February 19: The derivative as a function
reminder, definition of derivative:

Differentiability
f(x) is differentiable at x = a if…
f’(a) exists
f’(a) exists if lim h→a exists; so
Continuity
f(x) is continuous at x = a if and only if…
f(s) exists; and
lim x→s exists; and
lim x→s = f(s)
Examples of non-differentiability
if a function is not continuous, it is not differentiable
Vertical tangent line

Rapid oscillations

February 24: Quicker ways to compute derivatives
Constant functions
If f(x) = c, then f’(x) = 0
Power functions
f(x) = xn, then f’(x) = n*xn-1
Constant multiples
(c * f(x))’ = c * f’(x)
Sum and difference
(f(x) + g(x))’ = f’(x) + g’(x)
February 26: Quicker ways to compute derivatives (cont’d)
Product Rule
(f(x) g(x))’ = f’(x) x g(x) + f(x) x g’(x)
Quotient Rule
(f(x)/g(x))’ = (f’(x) x g(x) - f(x) x g’(x))/g(x)2
(lo x d’hi - hi x d’lo)/ lo x lo → lodihi - hidilo/ lolo
Chain Rule
Suppose a(x) = f(g(x)) and f(x), g(x) are both differentiable
then, a’(x) = f’(g(x)) * g(x)
|
compute f’(x) but plug in g’(x) as x
NOTE: f(x) is the OUTER function and g(x) is the INNER function
NOTE: trig function derivatives
(sin x)’ = cos x
(cos x)’ = -sin x