Ácidos nucléicos
Purina
Adenina & Guanina
Piridimina
Citosina, Timina y Uracilo
Nucleósido: Pirimidina o Purina + glucosa
Ribonuclósidos: D-Ribosa
Desoxiribonucleósidos: 2-desoxi-D-Ribosa
Enlace ß-N-glucosídico: carbono 2 (pirimida)
Pirimida n-1 es donde se hace el enlace glucocídico
Purina n-9 es donde se hace el enlace glucocídico
Mosaicismo: síndrome de down en algunas cromosomas

Bases Heterocíclicas libres:
Ácido úrico:

Hipoxantina

Xantina:


Hiperubicemio: no se metabolisma bien el ácido órico y hay cristalización sanguínea
Watson Crick y Wilkins 1950-1959: Cadenas de hélice bicatenaria
Siempre va de 5 a 3
5: codificadora
3:

RNA mensajero
500-1000 ribonucléitidos
Maduración - ribozimas
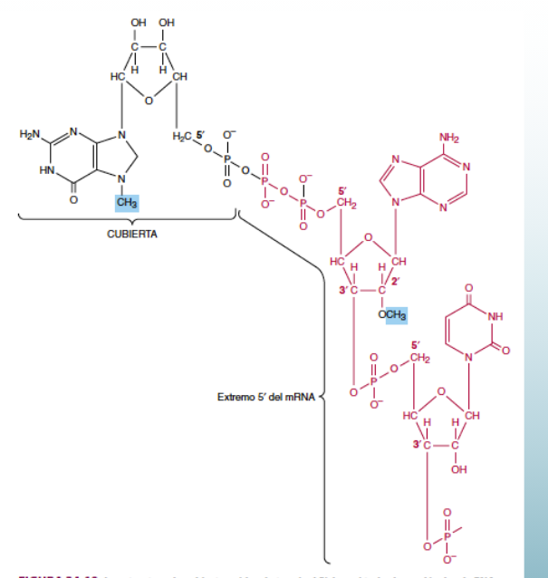
Formación Cap5’-Tail polu A3
Splicing: intron-exon




RNA transferencia
74 – 95 nucleótidos.
́20 especies.
́Formación de Cap 5’/ Tail poli A 3’/ splicing: intron - exon
RNA ribosómico
500.10000 nucleótidos
Subunidades 60s y 40s
RNA pequeños

RNA transferencia
74-95 nucle´tidos
20 especies
Formación de Cap5’ Tali poli A 3’
Splicing intron extron
RNA Pequeño
No dcoficante
Micro
silenciadores
no codificante slargos