SAT MATH
Least common multiple: Bội chung nhỏ nhất
The great common factor Ước chung lớn nhất
Fraction phân số
numerator / denominator: tử số/ mẫu số
Equation: Phương trình
Product: Tích
Variable: Biến số (x,y,z) VD: 2x+3=5 (x là biến số)
Lesson 1: Solving linear equations and inequalities foundation
linear equations: Phương trình bậc nhất/Phương trình tuyến tính
Example: ax + b = 0
Trong đó
Hằng số → constant (Là giá trị cố định, không thay đổi) → a,b là constant (hằng số)
Số lượng nghiệm | Đặc điểm nhận dạng | Ví dụ |
Một nghiệm duy nhất | Biến x không bị triệt tiêu và giải ra được dạng x = a. | x = 5 |
Vô số nghiệm (Infinitely many) | Cả hai vế hoàn toàn giống hệt nhau (dạng x = x hoặc a = a). | 5x + 3 = 5x + 3 |
Vô nghiệm (No solution) | Biến x bị triệt tiêu nhưng hai vế còn lại là hai số khác nhau (a = b). | 5x + 3 = 5x + 10 (vô lý) |
Từ vựng chủ đề:
Distribute (verb): phân phối
Coefficient (noun): Hệ số (con số đứng trước và nhân với biến số)
Variable: Biến số (x,y,z) VD: 2x+3=5 (x là biến số)
Evaluate (verb): Tính toán giá trị của biểu thức
Linear inequalities: Bất phương trình bậc nhất
Example: 2x − 5 >1
Từ vựng chủ đề
Inequality (noun): Bất đẳng thức / Bất phương trình.
Reverse (verb): Đảo ngược (trong bài là đảo ngược chiều dấu bất đẳng thức)
Satisfy (verb): Thỏa mãn (giá trị của biến làm cho phương trình/bất phương trình đúng)
LESSON 2: Linear equation word problems: foundations
Linear function y = mx + b
(Tìm mối quan hệ giữa x và y)
Trong đó:
m (slope) = hệ số góc và m>0 thì đồ thị đi lên m<0 thì đồ thị đi xuống
b (y-intercept) : Giá trị chặn trục tung (khi x=0)
→ Trong bài toán thực tế, nó là giá trị ban đầu (initial value), phí cố định (fixed fee) hoặc điểm bắt đầu tại thời điểm x = 0.
Standard Form (Dạng tổng quát):
→ giúp thiết lập phương trình dựa trên tổng giá trị
Tính slope (m):
Giá trị của m | Hình dáng đường thẳng | Ý nghĩa thực tế |
m > 0 (Dương) | Đi lên từ trái sang phải | Đại lượng y tăng khi x tăng. |
m < 0(Âm) | Đi xuống từ trái sang phải | Đại lượng y giảm khi xt ăng. |
m = 0 | Nằm ngang (Horizontal) | y không đổi (hàm hằng), ví dụ: y = 5. |
m không xác định | Thẳng đứng (Vertical) | Phương trình có dạng x = k. |
Hai đường thẳng Song song (Parallel):
Hệ số góc: Bằng nhau (m1=m2)
Tung độ gốc: Khác nhau b1≠b2
Hai đường thẳng trùng nhau (Coincident):
Hệ số góc (Slope): m1=m2
Tung độ gốc (y-intercept): b1=b2
Hai đường thẳng vuông góc (Perpendicular): m1 = -1/ m2
Lesson 5: Solving systems of linear equations: foundations
Số nghiệm | Đồ thị | Hệ số góc (m) | Tung độ gốc (b) |
1 nghiệm | Cắt nhau tại 1 điểm | Khác nhau m1≠m2 | Không quan trọng |
Vô nghiệm | Song song | Bằng nhau m1=m2 | Khác nhau b1≠b2 |
Vô số nghiệm | Trùng nhau | Bằng nhau m1=m2 | Bằng nhau b1=b2 |
Cách giải: bấm máy tính cho lẹ
Thủ công: Substitution Method (Phương pháp Thế)
Elimination Method (Phương pháp Cộng đại số)
Graphing Method (Phương pháp Đồ thị)
Cụm từ tiếng Anh | Ký hiệu toán học | Giải thích |
At least, No less than, Minimum | ≥ | Lớn hơn hoặc bằng (ít nhất) |
At most, No more than, Maximum | ≤ | Nhỏ hơn hoặc bằng (tối đa) |
More than, Greater than, Over | > | Lớn hơn hẳn |
Less than, Fewer than, Under | < | Nhỏ hơn hẳn |
📘 Cụm từ tiếng Anh | 🔢 Ý nghĩa toán học | 🧠 Giải thích |
|---|---|---|
"Least", "lowest", or "minimum" value | Giá trị nhỏ nhất | Là giá trị nhỏ nhất thỏa mãn bất đẳng thức |
"Greatest", "highest", or "maximum" value | Giá trị lớn nhất | Là giá trị lớn nhất thỏa mãn bất đẳng thức |
"A possible" value | Một giá trị bất kỳ | Là bất kỳ giá trị nào thỏa mãn bất đẳng thức |
Ratios, rates, and proportions: foundations
Ratio: a comparison of two quantities
→ (Tỉ số) sự so sánh giữa hai đại lượng
Số: a/b Chữ: a to b
"Tỉ số của [A] đối với [B]" (The ratio of [A] to [B])
Quy tắc bất di bất dịch là:
A (đối tượng nhắc đến trước): Luôn là Tử số (nằm ở trên).
B (đối tượng nhắc đến sau): Luôn là Mẫu số (nằm ở dưới)


Part-to-Part (Phần - Phần): So sánh giữa các thành phần riêng lẻ với nhau
Part-to-Whole (Phần - Tổng): So sánh một thành phần với tổng thể tất cả các phần
Proportion (Tỉ lệ thức): a/b = c/d
→ Tỉ lệ thức là một đẳng thức khẳng định hai tỉ số bằng nhau
Rate (Tỉ suất / Tỉ lệ đơn vị): hai đại lượng đem so sánh có đơn vị khác nhau
Unit Rate (Tỉ lệ đơn vị): Là khi mẫu số bằng 1. Đây là thứ chúng ta thường tìm để làm mốc so sánh (ví dụ: biết giá 1 kg cam để tính tiền 10 kg cam)
Đơn vị | Quy đổi |
|---|---|
1 year | 52 weeks |
1 hour | 60 minutes |
1 minute | 60 seconds |
Loại | Đơn vị | Quy đổi |
|---|---|---|
Khoảng cách | 1 km | 1,000 m |
1 m | 100 cm | |
Khối lượng | 1 kg | 1,000 g |
Thể tích | 1 L | 1,000 mL |
Công thức tổng quát:
Quy tắc: Để loại bỏ một đơn vị, bạn phải đặt nó ở vị trí đối diện (nếu đơn vị ban đầu ở trên tử số, đơn vị quy đổi phải ở dưới mẫu số và ngược lại).
Lesson 3: Percentages: foundations
Mẹo dịch đề bài sang phương trình:
"What": biến số x
"is": dấu bằng =
"of": phép nhân times
"percent": chia cho 100
The Three Forms
Dạng Phần trăm: 25%
Dạng Phân số: 25/100 = ¼ Dạng Thập phân: 0.25
p% = p/100
Công thức phần trăm thay đổi:
Tình huống | Công thức | Ví dụ minh họa |
|---|---|---|
Tăng phần trăm | 100% + % tăng → nhân với 1+% tăng / 100 | Tăng 20%: nhân với 1.20 |
Giảm phần trăm | 100% − % giảm → nhân với 1−%giảm / 100 | Giảm 30%: nhân với 0.70 |
Lesson 4: Center, spread, and shape of distributions: foundations
Mean (Số trung bình): Tổng các giá trị chia cho số lượng giá trị
→ Mean = sum of values / number of value
Median (Số trung vị): Giá trị ở chính giữa khi sắp xếp dữ liệu từ nhỏ đến lớn
Nếu số lượng giá trị là lẻ (odd): Lấy số ở giữa.
Nếu số lượng giá trị là chẵn(even): Lấy trung bình cộng của 2 số ở giữa.
Mode (Yếu vị): Giá trị xuất hiện nhiều lần nhất
Range (Khoảng biến thiên)= maximum value - minimum value
Standard Deviation (Độ lệch chuẩn):
Outlier (giá trị ngoại lai) là một giá trị khác biệt đáng kể so với phần còn lại của tập dữ liệu
Ảnh hưởng đến Mean: Rất mạnh. Nếu loại bỏ một outlier rất lớn, mean sẽ giảm; nếu loại bỏ outlier rất nhỏ, mean sẽ tăng
Ảnh hưởng đến Median: Ít bị ảnh hưởng hơn so với mean. Việc loại bỏ outlier không đảm bảo sẽ làm thay đổi median
Ảnh hưởng đến Spread: Việc thêm outlier làm tăng cả Range và Standard Deviation
Cách xác định Outlier (Giá trị ngoại lai) bằng IQR
Đây là ứng dụng phổ biến nhất của IQR trong các bài thi SAT và thống kê. Một giá trị bị coi là Outlier nếu nó nằm ngoài "hàng rào" sau:
Hàng rào dưới: Q1 - 1.5 X IQR
Hàng rào trên: Q3 + 1.5 X IQR

Lesson 5: Data representations: foundations
📘 Phrase (Cụm từ) | 📈 Shape of graph (Hình dạng đồ thị) | 🧠 Giải thích |
|---|---|---|
"Increases", "rises", "grows" | Upward trend | Đường đồ thị đi lên, giá trị tăng dần |
"Decreases", "drops", "declines" | Downward trend | Đường đồ thị đi xuống, giá trị giảm dần |
"Remains constant", "stops", "stays the same" | Flat trend | Đường nằm ngang, giá trị không đổi |
"Slowly", "gradually" | Shallow slope | Độ dốc nhỏ, tăng/giảm từ từ |
"Rapidly", "quickly" | Steep slope | Độ dốc lớn, tăng/giảm nhanh |
Lesson 6: Scatterplots: foundations
A scatterplot displays data about two variables as a set of points in the xy-plane. Each axis of the plane usually represents a variable in a real-world scenario.
Purpose
Scatterplots are used to:
Identify relationships between variables
Describe patterns or trends
Make predictions using a model (line or curve of best fit)
1. Direction
Positive association: as xxx increases, yyy increases
Negative association: as xxx increases, yyy decreases
No association: no clear trend
2. Form (Linearity)
Linear: points cluster around a straight line
Nonlinear: curved pattern (quadratic, exponential, etc.)
3. Strength
Strong: points tightly clustered
Weak: points widely scattered
“tight cluster” → strong relationship
“loosely scattered” → weak relationship
Rules
Always use the line of best fit, not individual points
If x is within the graph range → read directly from the line
If x is outside the range → use the equation (extrapolation)
Difference Between Actual and Predicted Values (Residuals)
Definition
Difference= Actual y− Predicted y
Positive difference: point is above the line
Negative difference: point is below the line


Lesson 7: Linear and exponential growth: foundations
Consider the following: Alphonse and Bekah both have 100 followers on a social media platform. Over the next 12 months:
• Alphonse's number of followers increases by 10 each month. (linear)
• Bekah's number of followers increases by 10% each month. (exponential)
If the change in y can be represented by repeatedly adding the same value
→ linear equation y = m x + b
If the change in y can be represented by repeatedly multiplying by the same value
→ exponential equation: y= a X bx
Trong đó: b is the number repeatedly multiplied (common factor or common ratio)
a is the initial value, or the y-intercept of the curve
Bảng giải thích chi tiết các cụm từ thường gặp nhất để bạn phân biệt giữa Tăng trưởng Tuyến tính (Linear) và Tăng trưởng Mũ (Exponential)


Lesson 8: Probability and relative frequency: foundations
Probability: Xác suất.
Relative frequency: Tần suất tương đối (tỉ lệ xuất hiện của một giá trị so với tổng thể).
Two-way table / Contingency table: Bảng dữ liệu hai chiều (biểu diễn mối quan hệ giữa hai biến định tính).
Randomly selected / Chosen at random: Được chọn ngẫu nhiên (đảm bảo tính khách quan).
Outcome: Kết quả xảy ra.
Favorable outcome: Kết quả thuận lợi (kết quả mà đề bài đang hỏi tới).
Total / Sum: Tổng cộng.
Row: Hàng ngang.
Column: Cột dọc.
Intersection: Phần giao nhau giữa hàng và cột.
Proportion / Fraction / Ratio: Tỉ lệ / Phân số / Tỉ số.
conditional fraction câu điều kiện chồng
Question Type | Phrasing (Cách hỏi) | Denominator (Mẫu số) | Calculation (Cách tính) |
|---|---|---|---|
General | “What fraction of all classmates…?” | Grand Total (25) | Target25 |
Conditional (Row-based) | “Of those who own a bike…?” | Row Total (15) | Target15 |
Conditional (Column-based) | “Of those who own a skateboard…?” | Column Total (7) | Target7 |
What fraction of [Phạm vi] also [Mục tiêu]
"Phạm vi" (Mẫu số - Denominator)
Cụm từ sau chữ "of" chính là nhóm người chúng ta quan tâm: "classmates who do not own a skateboard" (những người không có ván trượt).
Nhìn vào bảng: Cột "Does not own a skateboard" có tổng cộng là 18 người.
Mẫu số của bạn là 18. (Lúc này, bạn hãy quên tất cả những con số khác trong bảng đi, chỉ nhìn vào cột 18 người này thôi).
"Mục tiêu" (Tử số - Numerator)
Trong số 18 người "không ván trượt" đó, ai là người "also do not own a bike" (cũng không có xe đạp)?
Nhìn dọc theo cột 18 người đó, tìm hàng "Does not own a bike".
Con số tại điểm giao nhau này là 7.
Tử số của bạn là 7.
Bài thực tế:

Câu A (Phạm vi): "What fraction of classmates who do not own a skateboard also do not own a bike?
Câu B (Tổng thể): "If a classmate is selected at random, what is the probability that they do not own a bike?"
If a student is selected…
Given that…
Of the students who…
What fraction of …
➡ Nhóm được chọn = mẫu số
Cụm trong đề | Mẫu số phải là |
|---|---|
selected at random | Toàn bảng |
from Dr. Romelle’s class | Tổng hàng Romelle |
who attended the concert | Tổng cột attended |
given that… | Nhóm sau “that” |
of the students who… | Nhóm sau “who” |



Lesson 9: Data inferences: foundations


Margin of error (độ sai số) cho biết mức độ không chắc chắn khi ta dùng mẫu (sample) để ước lượng toàn bộ quần thể (population)
Range=Estimate±Margin of Error
Trong đó:
Estimate = giá trị ước lượng (thường là %)
Margin of Error = độ lệch cho phép (cũng là %)
Sample càng lớn → margin of error càng nhỏ
V. Cách làm đúng các câu “Draw a conclusion” (rất hay bẫy)
Ví dụ bài Anya
74% ± 3%
➡ Khoảng hợp lý:
71% đến 77%
Chọn đáp án đúng:
✅ “It is likely that the percentage … is between 71% and 77%.”
Vì sao các đáp án khác sai?
❌ Nói “sure” → SAT không dùng chắc chắn
❌ Cắt mất một đầu khoảng
❌ So sánh vô căn cứ (less than half, more than 74%)
Khái niệm | Ý nghĩa |
|---|---|
Sample | Nhóm được khảo sát |
Population | Toàn bộ đối tượng |
Estimate | Ước lượng cho population |
Margin of error | Độ không chắc chắn |
Larger sample | Smaller error |
Lesson 10: Evaluating statistical claims: foundations
Evaluating statistical claims = đánh giá xem một kết luận thống kê có hợp lý hay không, dựa trên:
Cách lấy mẫu
Loại nghiên cứu
Phạm vi suy luận cho phép
📌 KHÔNG cần tính toán
📌 Cần đọc kỹ và suy luận logic
Thuật ngữ | Ý nghĩa |
|---|---|
Population | Toàn bộ nhóm được nghiên cứu |
Sample | Nhóm nhỏ được khảo sát |
Inference | Suy luận từ sample → population |
Thế nào là một reasonable samples (click for more information)
Tính đại diện (Representativeness): Mẫu phải phản ánh đúng đặc điểm của toàn bộ quần thể.
Ví dụ: Muốn biết ý kiến của cả quận về kế hoạch trường học, không thể chỉ hỏi hàng xóm (vì họ có thể có lợi ích riêng) hay chỉ hỏi người già (vì họ không đại diện cho các độ tuổi khác). (the sample includes only members of the population being studied)
Lựa chọn ngẫu nhiên (Random Selection): Đây là "chìa khóa vàng". Phương pháp tốt nhất là chọn tên ngẫu nhiên từ danh sách tổng hoặc dùng máy tính tạo số ngẫu nhiên để chọn đối tượng.
Kích thước mẫu: Mẫu càng lớn và càng bao quát (hoặc hỏi toàn bộ quần thể) thì kết luận càng chính xác

Ví dụ mẫu reasonable (hợp lý)
Ví dụ 1: Thăm dò học sinh toàn trường
Một trường có 1.200 học sinh. Ban giám hiệu chọn ngẫu nhiên 100 học sinh từ danh sách toàn trường để hỏi xem họ có dùng xe buýt đi học hay không.
Vì sao reasonable?
Chọn ngẫu nhiên
Không thiên vị khối lớp, giới tính hay thành tích
Mỗi học sinh có cơ hội như nhau được chọn
➡ Mẫu đại diện cho toàn trường
Ví dụ 2: Khảo sát chiều cao
Một nhà nghiên cứu muốn ước tính chiều cao trung bình của người trưởng thành tại một thành phố. Họ chọn ngẫu nhiên 300 người trưởng thành ở nhiều quận khác nhau.
Vì sao reasonable?
Mẫu đủ lớn
Bao phủ nhiều khu vực
Đối tượng đúng với quần thể cần nghiên cứu
Bad sampling methods include those that:
Gather data from outside the population being studied
Gather data that overrepresent or underrepresent a subgroup of the population (not random)
Nhận diện các loại Sai số (Bias) thường gặp
Sai số do phản hồi tự nguyện (Voluntary Response Bias): Xảy ra khi bạn để mọi người tự tìm đến để trả lời (ví dụ: bình chọn trên website). Những người tham gia thường là người có ý kiến cực đoan hoặc rất yêu thích chủ đề đó, dẫn đến kết quả bị thổi phồng.
Sai số do lấy mẫu thuận tiện (Convenience Sampling Bias): Xảy ra khi người khảo sát chọn những người "dễ tiếp cận nhất" (ví dụ: lấy 100 email fan gần nhất). Nhóm này thường có xu hướng ủng hộ bạn sẵn rồi, nên kết quả không khách quan.
Sai số do không phản hồi (Non-response Bias): Khi bạn chọn được mẫu ngẫu nhiên rồi nhưng một phần lớn trong đó không chịu trả lời. Những người không trả lời có thể có quan điểm khác hẳn với những người trả lời.

Sai số do bao phủ không đầy đủ (Undercoverage Bias)
Định nghĩa: Xảy ra khi phương pháp lấy mẫu của bạn vô tình loại bỏ hoàn toàn một nhóm đối tượng trong quần thể.
Ví dụ điển hình: Dùng danh bạ điện thoại bàn để khảo sát về quyền riêng tư. Những người dùng số điện thoại di động hoặc yêu cầu ẩn số (unlisted) sẽ bị bỏ qua.
Hệ quả: Vì những người ẩn số thường là những người quan tâm đến quyền riêng tư nhất, nên nếu bỏ qua họ, kết quả khảo sát sẽ bị ước tính thấp hơn thực tế (underestimate) về mức độ lo ngại của người dân.
Types of statistical studies
Sample Study (Nghiên cứu chọn mẫu)
Mục tiêu: Ước tính một thông số (parameter) của toàn bộ quần thể (population).
Cách thức: Thay vì hỏi hàng triệu người (điều này là bất khả thi), chúng ta chọn ra một nhóm nhỏ ngẫu nhiên.
Ví dụ: Muốn biết thời gian dùng máy tính trung bình của 1 triệu dân thành phố → Khảo sát ngẫu nhiên 1,000 dân. Kết quả từ mẫu (sample) sẽ là con số ước tính cho toàn quần thể.
Observational Study (Nghiên cứu quan sát)
Mục tiêu: Tìm hiểu xem hai biến số có tương quan (correlation) với nhau hay không (chúng có biến đổi cùng nhau không?).
Đặc điểm: Người nghiên cứu chỉ quan sát và ghi chép, không can thiệp vào hành vi của đối tượng.
Cảnh báo đỏ: Chỉ được kết luận về Sự tương quan, tuyệt đối không được kết luận về Nhân quả (Causality).
Tại sao? Vì luôn tồn tại các Biến nhiễu (Confounding/Lurking variables).
Ví dụ: Bạn thấy người dùng máy tính nhiều có huyết áp cao. Nhưng có thể do họ lười vận động (biến nhiễu). Lười vận động vừa gây ra việc dùng máy tính nhiều, vừa gây ra huyết áp cao. Dùng máy tính chưa chắc là nguyên nhân trực tiếp.
Experiment (Thí nghiệm)
Mục tiêu: Thiết lập mối quan hệ Nhân quả (Causality). Đây là loại nghiên cứu duy nhất cho phép bạn nói "A gây ra B".
Cách thức:
Lấy một nhóm đối tượng.
Chia nhóm ngẫu nhiên (Random Assignment): Đây là bước quan trọng nhất để triệt tiêu các biến nhiễu.
Chia thành Nhóm đối chứng (Control group) và Nhóm xử lý (Treatment group).
Cơ chế: Bằng cách ép một nhóm dùng máy tính ít (30p) và một nhóm dùng nhiều (2h), mọi yếu tố khác (như thói quen vận động) sẽ được phân bổ đều cho cả 2 nhóm nhờ việc chia ngẫu nhiên. Nếu huyết áp nhóm 2 cao hơn, ta có quyền kết luận: Việc dùng máy tính gây ra tăng huyết áp.
1. Phân biệt Causality (Nhân quả) và Correlation (Tương quan)
Đây là hai khái niệm thường bị các bài báo (và các lựa chọn sai trong SAT) đánh tráo:
Causality (A causes B): Hành động A trực tiếp dẫn đến kết quả B. Nếu bạn thay đổi A, B chắc chắn sẽ thay đổi theo.
Correlation (A and B move together): A và B cùng xảy ra một lúc, nhưng không có bằng chứng nào cho thấy cái này tạo ra cái kia.
Kiểm tra loại nghiên cứu: * Nếu là Observational Study (chỉ quan sát, không chia nhóm can thiệp): Đáp án chỉ được phép dùng các từ như "associated with", "correlated with", "tends to".
Nếu là Randomized Experiment (thí nghiệm chia nhóm ngẫu nhiên): Lúc này mới có thể cân nhắc các đáp án mang tính nhân quả như "causes", "leads to", "prevents".
Factoring quadratic and polynomial expressions: foundations
Polynomial Expressions (Đa thức)
Factoring Quadratic (Phân tích đa thức bậc hai thành nhân tử)
Hằng đẳng thức đáng nhớ cơ bản

Công thức tính thủ công (khuyên không nên)
Dạng cơ bản: (Khi hệ số đứng trước x2 là 1 hay a=1) x2 + bx + c
Để phân tích biểu thức này, bạn cần tìm hai số m và n sao cho:
Tích: m X n = c (số cuối)
Tổng: m + n = b (số ở giữa)
Khi tìm được m và n, biểu thức sẽ trở thành: (x + m)(x + n)
Dạng mở rộng: ax2 + bx + c (Khi hệ số đứng trước x2 khác 1)
Đây là phương pháp Nhóm (Grouping) hay còn gọi là phương pháp AC. Bạn cần tìm hai số m và n sao cho:
Tích: m X n = a X c
Tổng: m + n = b
Công thức tính bằng casio fx 580VN X


Một số lưu ý



Khi bấm máy tính, kết quả sẽ trả ra kết quả là x1 và x2 vậy nên phải đổi dấu thì mới thành b và c được
Lesson 2: Radicals and rational exponents: foundations



Lesson 3: Operations with polynomials: foundations
Polynomial expressions (đa thức) là những biểu thức đại số bao gồm các biến (variables), hệ số (coefficients) và các phép toán cộng, trừ, nhân, cùng với các số mũ nguyên không âm của biến.

Coefficient (Hệ số): Là số đứng trước biến, trong ví dụ này là 3.
Base (Cơ số/Biến số): Là chữ cái đại diện cho giá trị chưa biết, ở đây là x.
Exponent (Số mũ): Chỉ bậc của biến, cho biết biến đó nhân với chính nó bao nhiêu lần, ở đây là 4.
Phân loại đa thức:
Monomial (Đơn thức): Chỉ gồm một số hạng duy nhất (ví dụ: 3x^4).
Binomial (Nhị thức): Gồm hai số hạng được nối với nhau bằng phép cộng hoặc trừ (ví dụ:3x^4 + 2x).
Trinomial (Tam thức): Gồm ba số hạng (ví dụ: 3x^4 + 2x + 7).
Constant term (Số hạng tự do): Là số hạng không chứa biến (ví dụ: số 7 trong tam thức trên). Nó tương đương với việc biến có số mũ bằng 0 (7 = 7x⁰).
1. Điều kiện để là "Like Terms" (Số hạng đồng dạng)
Để có thể cộng hoặc trừ các số hạng với nhau, chúng phải thỏa mãn hai điều kiện bắt buộc:
Cùng cơ số biến (Same variable base): Ví dụ, bạn không thể cộng $x$ với $y$ vì chúng là các thực thể khác nhau.
Cùng số mũ (Same exponent): Ngay cả khi có cùng biến $x$, bạn vẫn không thể cộng x^2 với x^3 vì bậc của chúng khác nhau.
axn±bxn=(a±b)xn
Lesson 4: Operations with rational expressions: foundations
Rational expressions (biểu thức hữu tỷ): là một phân số mà cả tử số và mẫu số đều là các đa thức.
Cấu trúc của biểu thức hữu tỷ
Một biểu thức hữu tỷ có dạng tổng quát là:
Q(x)/P(x)
Trong đó:
P(x) và Q(x) là các đa thức (polynomial expressions).
Điều kiện bắt buộc: Q(x) khác0 (mẫu số phải khác 0 vì phép chia cho 0 không xác định).
Polynomial long division


Nonlinear functions: foundations
Hàm số phi tuyến (Nonlinear functions)
Khái niệm về Hàm số
Một hàm số nhận một giá trị đầu vào (input) và tạo ra một giá trị đầu ra (output). Trong ký hiệu hàm số f(x):
f là tên của hàm số.
x là biến đầu vào.
f(x) là giá trị đầu ra.
Dưới đây là phần giải thích và hướng dẫn giải bài tập ví dụ của bạn về cách tính giá trị hàm số bằng đại số.
Cách tính giá trị hàm số (Evaluating Functions)
Khi chúng ta "tính giá trị" của một hàm số tại một điểm cụ thể, chúng ta đang đi tìm giá trị đầu ra (output) tương ứng với một giá trị đầu vào (input) cho trước.
Các bước thực hiện:
Thay thế (Plug in): Thay giá trị đầu vào vào vị trí của biến số ($x$) ở bất cứ đâu nó xuất hiện trong công thức.
Tính toán (Calculate): Thực hiện các phép tính (cộng, trừ, nhân, chia, lũy thừa...) để tìm ra kết quả cuối cùng.
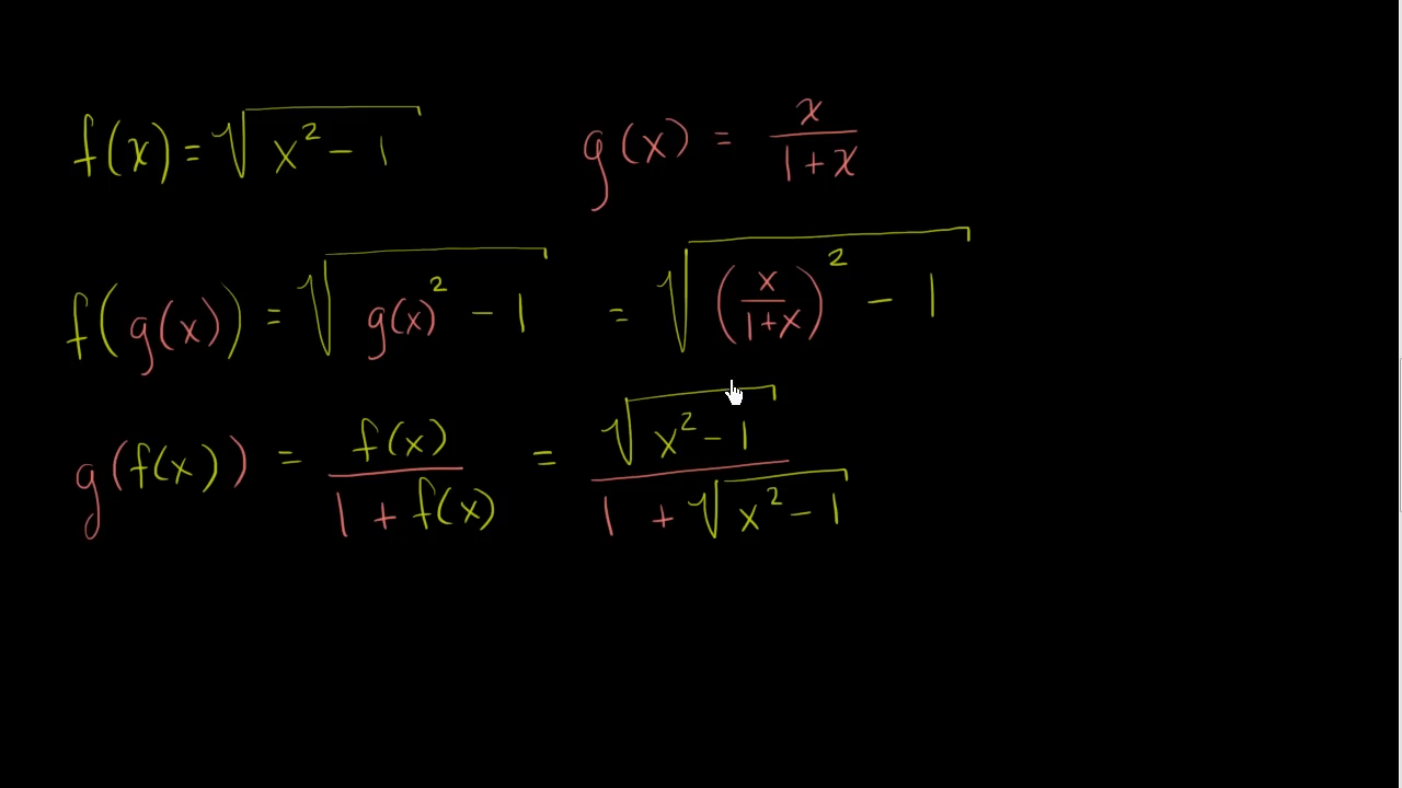
Composite functions (hàm hợp)
Quy tắc vàng khi làm hàm hợp là: Luôn ưu tiên xử lý hàm bên trong trước.
Với biểu thức f(g(x)):
x là đầu vào của hàm g.
Kết quả của hàm g (tức là g(x)) sẽ trở thành đầu vào mới cho hàm f.
Lưu ý quan trọng: Thứ tự cực kỳ quan trọng! f(g(x)) thường cho kết quả khác hoàn toàn với g(f(x)).
Các bước tính giá trị hàm hợp
Để tính f(g(a)), bạn thực hiện theo 4 bước sau:
Bước 1: Thay giá trị a vào hàm số bên trong (g).
Bước 2: Tính toán kết quả của hàm bên trong. Gọi kết quả này là k.
Bước 3: Lấy k thay vào hàm số bên ngoài (f).
Bước 4: Tính toán để ra kết quả cuối cùng.
Giải ví dụ cụ thể
Đề bài: Cho f(x)=2x+1 và g(x)=x2−2x+1. Tính f(g(−1)).
Chúng ta sẽ giải theo phương pháp "từ trong ra ngoài":
Giai đoạn 1: Tính hàm bên trong g(−1) Thay x=−1 vào công thức của g(x):
g(−1)=(−1)2−2(−1)+1
g(−1)=1+2+1=4
Vậy, giá trị đầu ra của máy g là 4.
Giai đoạn 2: Tính hàm bên ngoài f(4) Bây giờ, ta lấy kết quả 4 này làm đầu vào cho hàm f:
f(4)=2(4)+1
f(4)=8+1=9
Kết quả cuối cùng: f(g(−1))=9.

Lesson 6: Isolating quantities: foundations

Lesson 7: Solving quadratic equations: foundations
Giải phương trình bậc hai (Solving quadratic equations)
Quadratic equation (Phương trình bậc hai): Một phương trình có số hạng chứa biến với lũy thừa cao nhất là 2.
Variable (Biến số): Đại diện cho một con số mà chúng ta chưa biết giá trị (ví dụ: x).
Power/Exponent (Lũy thừa/Số mũ): Chỉ số (ví dụ: 2) cho biết biến số đó được nhân với chính nó.
Coefficient (Hệ số): Các hằng số được nhân trực tiếp với biến (ví dụ: số 3 trong 3x2).
Term (Số hạng): Một phần đơn lẻ của phương trình (ví dụ: 3x2 là một số hạng, −5x là một số hạng).
Constant term (Hằng số/Số hạng tự do): Số hạng không chứa biến số (ví dụ: −2).
Square roots (Căn bậc hai): Phép toán dùng để giải các phương trình không có số hạng chứa x (ví dụ: 2x2 =32).
Solving quadratics by taking square roots (giải thủ công)

Quy tắc tích bằng không (Zero product property)
Nội dung: Quy tắc này phát biểu rằng nếu tích của hai số bằng 0 (ab=0), thì ít nhất một trong hai số đó phải bằng 0 (a=0 hoặc b=0).
Phương trình bậc hai dạng nhân tử (Factored quadratic equations)
Dạng thức: Là phương trình được viết dưới dạng tích của hai biểu thức bậc nhất, ví dụ: (x−5)(x+2)=0.
Cách suy luận: Theo quy tắc tích bằng không, để tích của hai ngoặc đơn này bằng 0, thì một trong hai ngoặc đơn phải có giá trị bằng 0:
Hoặc x−5=0
Hoặc x+2=0
Phân tích nhân tử (Factoring)
Nội dung chính: Nếu bạn có thể biến đổi một biểu thức bậc hai (dạng ax2+bx+c) thành tích của hai biểu thức bậc nhất (gọi là các nhân tử - factors), bạn có thể tìm ra nghiệm của phương trình đó một cách dễ dàng.
Mối liên hệ: Biểu thức bậc nhất thường có dạng (x+a) hoặc (x+b). Khi nhân chúng lại với nhau, chúng tạo ra biểu thức bậc hai ban đầu.
Ví dụ minh họa: Từ phương trình:x2 −2x−3=0
Phân tích thành nhân tử: (x−3)(x+1)=0. (Ở đây, (x−3) và (x+1) là các "linear expressions").
Tính toán nghiệm:x−3=0⇒x=3. và x+1=0⇒x=−1.
Công thức nghiệm (Quadratic formula)
1. Tại sao cần Công thức nghiệm?
Không phải mọi biểu thức bậc hai đều có thể phân tích thành nhân tử.
Một số biểu thức có thể phân tích được nhưng lại rất khó để tìm ra các số phù hợp.
Công thức nghiệm cho phép bạn giải bất kỳ phương trình bậc hai nào, miễn là bạn xác định đúng các giá trị và tính toán chính xác.
2. Công thức và Thành phần
Đối với một phương trình có dạng tổng quát ax2+bx+c=0, công thức nghiệm là:

Lưu ý quan trọng cho kỳ thi SAT: Công thức này không được cung cấp trong phần tài liệu tham khảo của bài thi. Bạn bắt buộc phải học thuộc lòng để sử dụng.
3. Các bước giải chi tiết
Để giải một phương trình bằng công thức này, bạn cần thực hiện 3 bước sau:
Bước 1: Viết lại phương trình về dạng chuẩn ax2+bx+c=0 (chuyển tất cả các số hạng về một vế để vế còn lại bằng 0).
Bước 2: Xác định các giá trị của a, b, và c rồi thay chúng vào công thức.
Bước 3: Tính toán giá trị của x.
3. Phương pháp giải xác định số nghiệm
1. Từ vựng cốt lõi (Core Vocabulary)
Những từ này là nền tảng để hiểu bản chất của lý thuyết:
Discriminant: Biệt thức (ký hiệu là Δ hoặc biểu thức b2 −4ac).
Portion: Phần/bộ phận (ở đây chỉ một phần của công thức nghiệm).
Unique real solutions: Các nghiệm thực duy nhất/phân biệt.
Imaginary number: Số ảo (kết quả của căn bậc hai của một số âm).
2. Từ vựng liên quan (Related Vocabulary)
Những từ này thường xuất hiện trong các bài toán yêu cầu biện luận số nghiệm:
Simplifies to: Rút gọn thành (ví dụ: công thức rút gọn khi biệt thức bằng 0).
Determine: Xác định (ví dụ: xác định số lượng nghiệm).
Satisfy: Thỏa mãn (ví dụ: giá trị của x thỏa mãn phương trình).
Condition: Điều kiện (ví dụ: điều kiện để có một nghiệm thực duy nhất).
Để biết một phương trình bậc hai có bao nhiêu nghiệm mà không cần giải chi tiết, bạn thực hiện theo các bước sau:
Bước 1: Đưa phương trình về dạng chuẩn Đảm bảo phương trình có dạng ax2+bx+c=0 để xác định chính xác các hệ số a,b,c.
Bước 2: Tính giá trị biệt thức Tính toán biểu thức: D=b2−4ac.
Giá trị của b2−4ac | Kết luận về nghiệm | Giải thích toán học |
>0 (Dương) | 2 nghiệm thực phân biệt | Căn bậc hai của một số dương là một số thực, tạo ra hai giá trị ±. |
=0 (Bằng không) | 1 nghiệm thực duy nhất | Biểu thức rút gọn chỉ còn vì phần căn thức bằng 0. |
<0 (Âm) | 0 có nghiệm thực | Căn bậc hai của số âm là số ảo, không tồn tại trong tập số thực. |
Lesson 8: Linear and quadratic systems: foundations
1. Từ vựng cốt lõi (Core Vocabulary)
System of equations (Hệ phương trình): Một tập hợp gồm hai hoặc nhiều phương trình có chung các biến số.
Intersection (Giao điểm): Điểm mà đồ thị của hai phương trình cắt nhau; đây chính là nghiệm của hệ.
Substitution (Phép thế): Phương pháp giải bằng cách thay thế một biểu thức này vào phương trình kia.
Linear (Bậc nhất): Phương trình có đồ thị là một đường thẳng (dạng y=mx+b).
Quadratic (Bậc hai): Phương trình có đồ thị là một đường cong parabol (dạng y=ax2+bx+c)
2. Số lượng nghiệm của hệ (Number of Solutions)
Một hệ gồm một đường thẳng (linear) và một parabol (quadratic) có thể có 3 trường hợp nghiệm dựa trên số giao điểm của chúng:
0 nghiệm thực: Đường thẳng không cắt parabol.
1 nghiệm thực: Đường thẳng tiếp xúc với parabol tại đúng một điểm (tiếp tuyến).
2 nghiệm thực: Đường thẳng cắt parabol tại hai điểm phân biệt.
3. Phương pháp giải (Solving Methods)
Cách 1: Phương pháp thế (Substitution)
Đây là cách phổ biến nhất để giải các hệ phương trình này trên SAT.
Cô lập một biến: Thường là cô lập y ở phương trình bậc nhất.
Thế vào phương trình bậc hai: Thay biểu thức của y vào phương trình còn lại để tạo ra một phương trình chỉ còn biến x.
Giải phương trình bậc hai mới: Sử dụng các kỹ thuật như phân tích nhân tử (factoring) hoặc công thức nghiệm (quadratic formula) để tìm x.
Tìm biến còn lại: Thay giá trị x tìm được vào phương trình bậc nhất để tìm y.
Cách 2: Sử dụng biệt thức (Using the Discriminant)
Nếu bài toán chỉ hỏi số lượng nghiệm (thay vì tìm giá trị cụ thể), bạn có thể dùng biệt thức:
Thiết lập phương trình tương giao (cho vế phải của hai phương trình bằng nhau).
Đưa về dạng ax2+bx+c=0.
Tính b2−4ac để kết luận số lượng giao điểm tương tự như cách giải phương trình bậc hai đơn lẻ.
Radical, rational, and absolute value equations: foundations
Radical, rational, and absolute value equations: phương trình chứa căn, phân thức và giá trị tuyệt đối
Radical equations (Phương trình chứa căn): Biến số nằm dưới dấu căn (ví dụ: x+1=5).
Rational equations (Phương trình phân thức): Biến số nằm ở mẫu số (ví dụ: x/1=4)
Absolute value equations: ∣x−5∣=3

Both radical and rational equations can have extraneous solutions (nghiệm ngoại lai)
Nghiệm ngoại lai là những giá trị mà chúng ta tìm được thông qua các bước giải đại số đúng quy tắc, nhưng khi thay ngược lại vào phương trình gốc, chúng lại không thỏa mãn phương trình đó.
Hiểu một cách đơn giản: Chúng là những nghiệm "giả" — trông có vẻ đúng nhưng thực chất lại sai.
Giải thích kỹ hơn


Cách giải
radical equations (căn)

rational expressions (phân thức)

Absolute value equation:

Absolute value equation with no solution

Quadratic and exponential word problems (các công thức quan trong sẽ ở đây)
Area of a rectangle (tạm thời)

Height versus time



Tăng trưởng và suy giảm dân số


Lãi đơn và lãi kép
1. Lãi đơn (Simple Interest)
Công thức
Giải thích (Tiếng Việt)
A: Tổng số tiền sau khi có lãi
P: Số tiền gốc (principal)
r: Lãi suất mỗi năm (viết dưới dạng thập phân, ví dụ 5% = 0.05)
t: Thời gian (tính bằng năm)
👉 Lãi chỉ được tính trên tiền gốc ban đầu, không cộng dồn lãi qua các kỳ.
Explanation (English)
A: Total amount after interest
PP Principal (initial amount)
r: Annual interest rate (as a decimal)
t: Time in years
Ví DỤ: Ví dụ
Gửi $1,000 với lãi suất 6% trong 3 năm:
A=1000(1+0.06×3)=1180
Lãi kép (Compound Interest)
Công thức tổng quát
A=P(1+r/n)nt
Công thức lãi kép hằng năm (phổ biến nhất trong SAT)
A=P(1+r)t
Giải thích (Tiếng Việt)
A: Tổng số tiền sau khi có lãi
P: Số tiền gốc
r: Lãi suất mỗi năm (dạng thập phân)
n Số lần ghép lãi mỗi năm
t: Thời gian (năm)
👉 Lãi được tính trên cả tiền gốc và lãi đã tích lũy.
Explanation (English)
A: Final amount
P: Principal
r: Annual interest rate
n: Number of compounding periods per year
t: Time in years
Từ vựng SAT liên quan (SAT Vocabulary)
Simple interest: Lãi đơn
Compound interest: Lãi kép
Principal (P): Tiền gốc
Interest rate (r): Lãi suất
Total amount (A): Tổng tiền
Time (t): Thời gian
Compounding period: Kỳ ghép lãi
Net increase: Mức tăng ròng = giá trị cuối - giá trị đầu
Mẹo làm bài SAT Digital
Luôn đổi % → số thập phân
Nếu đề không nói ghép lãi nhiều lần, mặc định ghép lãi hằng năm
Nhìn thấy tăng theo năm → nghĩ tới hàm mũ
SAT thường hỏi:
So sánh lãi đơn vs lãi kép
Tìm A, P, hoặc r
Chọn biểu thức đúng, không cần tính chính xác
Đối với dạng đổi đơn vị: Từ biến lớn thành biến nhỏ (ngày → giờ) ta dùng phép tính tính chia
Đối biến nhỏ thành biến lớn (giời→ ngày), dùng phép tính nhân

Quadratic graphs
Tiếng Anh | Tiếng Việt | Ý nghĩa trong bài |
Quadratic function | Hàm số bậc hai | Hàm số có dạng y=ax2+bx+c (bậc cao nhất là 2). |
Parabola | Đường Parabol | Hình dạng đặc trưng (đường cong) của đồ thị hàm số bậc hai. |
Vertex | Đỉnh | Điểm thấp nhất hoặc cao nhất của đồ thị. |
x-intercept / Root / Zero | Giao điểm trục hoành / Nghiệm | Điểm mà đồ thị cắt trục x (tại đó y=0). |
y-intercept | Giao điểm trục tung | Điểm mà đồ thị cắt trục y (tại đó x=0). |
Symmetry | Đối xứng | Đặc tính đồ thị có hai bên giống hệt nhau qua một đường thẳng dọc. |
Transformation | Phép biến đổi | Cách đồ thị di chuyển (dịch trái, phải, lên, xuống) hoặc co giãn. |
Các dạng phương trình bậc hai (Forms of Equations)
Mỗi dạng phương trình sẽ giúp bạn nhìn nhanh được một đặc điểm của đồ thị:
Standard Form (Dạng tổng quát): y=ax2+bx+c
Giúp xác định nhanh y-intercept tại điểm (0,c).
Factored Form (Dạng nhân tử): y=a(x−m)(x−n)
Giúp xác định nhanh các x-intercepts (nghiệm) tại (m,0) và (n,0).
Vertex Form (Dạng đỉnh): y=a(x−h)2+k
Giúp xác định nhanh tọa độ đỉnh (Vertex) là (h,k).
Lưu ý về hệ số a: Nếu a>0, đồ thị mở bề lõm lên trên (hình chữ U). Nếu a<0, đồ thị mở bề lõm xuống dưới (hình chữ U ngược).

S
ince the vertex is the point at which a parabola changes from increasing to decreasing or vice versa, it is also either the maximum or minimum -value of the parabola.
If the parabola opens upward, then the vertex is the lowest point on the parabola.
If the parabola opens downward, then the vertex is the highest point on the parabola.
A parabola can also have zero, one, or two -intercepts.
Translating, stretching, and reflecting: How does changing the function transform the parabola
Dịch chuyển (Translation):
f(x−c): Dịch sang phải c đơn vị.
f(x+c): Dịch sang trái c đơn vị.
f(x)+c: Dịch lên trên c đơn vị.
f(x)−c: Dịch xuống dưới c đơn vị.
Đối xứng (Reflection):
−f(x): Lật ngược đồ thị qua trục x.
f(−x): Lật ngược đồ thị qua trục y.


Area and volume
Hình khối (Shape) | Công thức Thể tích (V) | Thành phần kích thước |
Hình hộp chữ nhật (Right rectangular prism) | V=l⋅w⋅h | l: dài, w: rộng, h: cao |
Hình trụ tròn (Right circular cylinder) | V=πr2h | r: bán kính đáy, h: chiều cao |
Hình cầu (Sphere) | V=4/3.πr3 | r: bán kính |
Hình nón (Right circular cone) | V=1/3.πr2h | r: bán kính đáy, h: chiều cao |
Hình chóp (Rectangular pyramid) | V=1/3.l⋅w⋅h | l,w: cạnh đáy, h: chiều cao |
Mối quan hệ giữa các kích thước (Scaling Dimensions)
Đây là phần "bẫy" thường gặp trong SAT. Bạn cần nhớ quy tắc thay đổi tỉ lệ:
Thay đổi bậc 1 (Linear): Nếu chỉ một kích thước (như chiều cao) thay đổi gấp k lần, thì thể tích cũng thay đổi gấp k lần.
Thay đổi bậc 2 (Quadratic): Nếu kích thước ở số mũ bậc 2 (như bán kính r trong công thức πr2h) thay đổi gấp k lần, thì diện tích hoặc thể tích sẽ thay đổi gấp k2 lần.
Thay đổi tất cả kích thước: Nếu tất cả các cạnh của một hình khối tăng gấp k lần, thể tích sẽ tăng gấp k3 lần


Từ vựng chuyên ngành (Subject Vocabulary)
Hình khối (Shapes & Solids)
Solid: Hình khối (3D).
Right rectangular prism: Hình hộp chữ nhật.
Right circular cylinder: Hình trụ tròn đứng.
Sphere: Hình cầu.
Right circular cone: Hình nón tròn đứng.
Rectangular pyramid: Hình chóp đáy chữ nhật.
Base: Mặt đáy.
Kích thước (Dimensions)
Dimension: Kích thước.
Length (l): Chiều dài.
Width (w): Chiều rộng.
Height (h): Chiều cao.
Radius (r): Bán kính.
Diameter (d): Đường kính (d=2r).
Area (A): Diện tích.
Surface area: Diện tích toàn phần/diện tích bề mặt.
Volume (V): Thể tích.
Thuật ngữ toán học khác
Factor: Hệ số/tỉ lệ (ví dụ: "by a factor of 2" là gấp 2 lần).
In terms of pi: Kết quả để dưới dạng có chứa số π (ví dụ: 144π).
Cubic units (cm³, in³...): Đơn vị khối (đơn vị của thể tích).
Square units (cm², in²...): Đơn vị vuông (đơn vị của diện tích)
Congruence, similarity, and angle relationships
Congruence: Sự bằng nhau (cùng hình dạng và kích thước).
Similarity: Sự đồng dạng (cùng hình dạng, khác kích thước)
Thuật ngữ Tiếng Anh | Nghĩa Tiếng Việt | Ghi chú |
Congruence | Sự bằng nhau (về hình dạng và kích thước) | Hai hình bằng nhau hoàn toàn. |
Similarity | Sự đồng dạng | Cùng hình dạng nhưng kích thước có thể khác nhau. |
Angle relationships | Mối quan hệ giữa các góc | Như góc đối đỉnh, góc bù nhau... |
Intersecting lines | Các đường thẳng cắt nhau | Tạo ra các cặp góc đối đỉnh. |
Parallel lines | Các đường thẳng song song | Không bao giờ cắt nhau. |
Transversal | Cát tuyến (đường thẳng cắt) | Đường thẳng cắt qua hai đường thẳng khác. |
Vertical angles | Góc đối đỉnh | Luôn bằng nhau. |
Supplementary angles | Góc bù nhau | Tổng số đo bằng 180°. |
Corresponding sides | Các cạnh tương ứng | Các cạnh nằm ở vị trí giống nhau trong hai hình. |
Proportional | Tỉ lệ thuận/Tỉ lệ thức | Các cạnh của tam giác đồng dạng tỉ lệ với nhau. |
Alternate Interior Angles (Góc so le trong): Bằng nhau (hình chữ Z).
Corresponding Angles (Góc đồng vị): Bằng nhau (hình chữ F).
Consecutive Interior Angles (Góc trong cùng phía): Tổng bằng 180° (hình chữ U/C).
Phân loại theo Độ dài Cạnh (Side Lengths)
Tên tam giác | Đặc điểm chính | Tính chất quan trọng |
Tam giác đều (Equilateral) | 3 cạnh bằng nhau | 3 góc bằng nhau và đều bằng 60∘. |
Tam giác cân (Isosceles) | Có ít nhất 2 cạnh bằng nhau | 2 góc ở đáy bằng nhau. |
Tam giác thường (Scalene) | 3 cạnh có độ dài khác nhau | 3 góc có số đo khác nhau hoàn toàn. |
Phân loại theo số đo góc
Tên tam giác | Đặc điểm | Hình ảnh minh họa |
Tam giác nhọn (Acute Triangle) | Cả 3 góc đều nhỏ hơn 90°. | |
Tam giác vuông (Right Triangle) | Có 1 góc bằng đúng 90°. Cạnh đối diện góc vuông là cạnh huyền (longest side). | |
Tam giác tù (Obtuse Triangle) | Có 1 góc lớn hơn 90°. |
Thuật ngữ Tiếng Anh | Nghĩa Tiếng Việt | Ghi chú |
Right triangle | Tam giác vuông | Có một góc 90∘. |
Pythagorean theorem | Định lý Pytago | a2+b2=c2. |
Hypotenuse | Cạnh huyền | Cạnh dài nhất, đối diện góc vuông. |
Leg (Opposite/Adjacent) | Cạnh góc vuông (Đối/Kề) | Tùy thuộc vào góc đang xét (θ). |
Pythagorean triples | Bộ ba số Pytago | Các số nguyên thỏa mãn định lý Pytago. |
Trigonometric ratios | Tỉ số lượng giác | Sine (sin), Cosine (cos), Tangent (tan). |
Mnemonic | Mẹo ghi nhớ | Ví dụ: SOHCAHTOA. |
Complementary angles | Góc phụ nhau | Hai góc có tổng bằng 90∘. |
Special right triangles | Tam giác vuông đặc biệt | Tam giác 45-45-90 hoặc 30-60-90. |
Định lý Pytago & Bộ ba số Pytago
Trong một tam giác vuông có hai cạnh góc vuông là a,b và cạnh huyền là c:
a2+b2=c2
Tỉ số lượng giác (SOH CAH TOA)
Đây là "chìa khóa" để tìm cạnh hoặc góc chưa biết:
SOH: sin(θ)=Hypotenuse (Huyền)/Opposite (Đối)
CAH: cos(θ)=Hypotenuse (Huyền)/Adjacent (Kề)
TOA: tan(θ)=Adjacent (kề)/Opposite (Đối)
Mối quan hệ giữa Sin và Cos của góc phụ nhau
Trong tam giác vuông, hai góc nhọn luôn phụ nhau (tổng bằng 90∘).
sin(x∘)=cos(90∘−x∘)
Ví dụ: sin(20∘)=cos(70∘).
Circle theorems
Thuật ngữ Tiếng Anh | Nghĩa Tiếng Việt | Ghi chú |
Radius (số nhiều: Radii) | Bán kính | Đoạn thẳng từ tâm đến đường tròn. |
Diameter | Đường kính | Đi qua tâm, bằng 2× bán kính. |
Circumference | Chu vi đường tròn | Quãng đường bao quanh đường tròn. |
Central angle | Góc ở tâm | Góc có đỉnh nằm tại tâm đường tròn. |
Arc length | Độ dài cung | Một phần của chu vi đường tròn. |
Sector area | Diện tích hình quạt | Một phần diện tích hình tròn (như miếng pizza). |
Chord | Dây cung | Đoạn thẳng nối hai điểm trên đường tròn. |
Tangent line | Tiếp tuyến | Đường thẳng chỉ chạm đường tròn tại 1 điểm. |
Isosceles triangle | Tam giác cân | Thường xuất hiện khi nối tâm với hai điểm trên đường tròn. |
Mối quan hệ tỉ lệ (The "Golden" Ratio)
Đây là kiến thức quan trọng nhất. SAT thường cho bạn một giá trị (ví dụ: góc ở tâm) và yêu cầu tìm giá trị khác (ví dụ: độ dài cung). Hãy luôn nhớ công thức tỉ lệ thuận sau:



Unit circle trigonometry
Thuật ngữ Tiếng Anh | Nghĩa Tiếng Việt | Ghi chú |
Radian | Radian | Một đơn vị đo góc (bên cạnh độ - degree). |
Unit circle | Đường tròn đơn vị | Đường tròn có tâm là gốc tọa độ (0,0) và bán kính r=1. |
Origin | Gốc tọa độ | Điểm (0,0) trên mặt phẳng xy. |
Coordinate | Tọa độ | Cặp giá trị (x,y) xác định vị trí một điểm. |
Convert | Chuyển đổi | Đổi từ đơn vị này sang đơn vị khác. |
Reference angle | Góc nhọn tương ứng | Góc tạo bởi cạnh cuối của một góc và trục x. |
Terminal side | Cạnh cuối | Cạnh di động tạo nên góc trong đường tròn. |


Circle equations

Thuật ngữ Tiếng Anh | Nghĩa Tiếng Việt | Ghi chú |
Standard form | Dạng chuẩn | Dạng (x−h)2+(y−k)2=r2. |
Expanded equation | Phương trình khai triển | Dạng đã nhân phá ngoặc (ví dụ: x2+ax+y2+by+c=0). |
Center | Tâm đường tròn | Tọa độ là (h,k). |
Radius | Bán kính | Ký hiệu là r. |
Diameter | Đường kính | Bằng 2r. |
Completing the square | Hoàn thành bình phương | Phương pháp biến đổi biểu thức về dạng (a+b)2. |
Coefficient | Hệ số | Số đứng trước biến (ví dụ: số 2 trong 2x). |
Binomial | Nhị thức | Biểu thức có hai số hạng (ví dụ: x+1). |
2. Phương trình đường tròn dạng chuẩn (Standard Form)
Trong mặt phẳng tọa độ xy, phương trình đường tròn có tâm (h,k) và bán kính r là:
(x−h)2+(y−k)2=r2
Lưu ý về dấu: Trong phương trình là dấu trừ (−h và −k).
Nếu phương trình là (x−3)2⇒h=3.
Nếu phương trình là (x+3)2⇒h=−3 (vì x−(−3)=x+3).