WAVES
Here’s a simple explanation of each topic from the images:
1. Waves and Their Superposition
A wave is a disturbance that moves through a medium, carrying energy and information.
Waves do not transport matter, only energy.
Superposition means when two or more waves overlap, their effects add up.
2. Types of Waves
There are three main types of waves:
a) Mechanical Waves
Need a medium (solid, liquid, or gas) to travel.
Depend on the medium’s elasticity and inertia.
Examples: Sound waves, water waves.
b) Electromagnetic Waves
Do not need a medium (can travel in a vacuum).
Consist of oscillating electric and magnetic fields.
Example: Light, radio waves.
c) Matter Waves
Associated with microscopic particles (electrons, protons, etc.).
Also called de Broglie waves, important in quantum mechanics.
3. Characteristics of Wave Motion
Oscillations: Particles of the medium move periodically about their equilibrium.
Energy Transfer: Energy moves, but the medium's particles do not move permanently.
Phase Difference: Each particle starts vibrating slightly later than its neighbor.
Wave vs. Particle Velocity: The speed of the wave is different from how fast particles vibrate.
4. Transverse and Longitudinal Waves
a) Transverse Waves
Particles move perpendicular to wave direction.
Can travel only through solids.
Example: Waves on a string.
b) Longitudinal Waves
Particles move parallel to wave direction.
Can travel in solids, liquids, and gases.
Example: Sound waves.
5. Displacement Relation in a Progressive Wave
Defines how the position of a wave varies with time and space.
Given by the equation: y(x,t)=Asin(kx−ωt+ϕ) where:
A = Amplitude (height of the wave)
k = Wave number
ω\omega = Angular frequency
ϕ = Phase constant
6. Wavelength and Wave Number
Wavelength (λ\lambda): The distance between two consecutive peaks or troughs.
Wave number (k): The number of waves per unit length, given by: k=2π/λ
7. Frequency and Time Period
Frequency (ν\nu): Number of oscillations per second.
Time Period (T): Time taken for one complete wave cycle.
Relation: ν=1/T
8. Speed of a Travelling Wave
The speed of a wave is given by:
v=λ(nu)
This means the speed depends on wavelength and frequency.
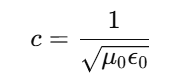
9. Speed of Different Types of Waves
a) Mechanical Waves

E = Elastic constant
ρ = Density of the medium
b) Electromagnetic Waves

μ0 = Permeability of vacuum
ϵ0 = Permittivity of vacuum
c) Sound Waves

B = Bulk modulus (resistance to compression)
ρ = Density of medium
10. Principle of Superposition
When two or more waves meet, their displacements add up algebraically.
Interference happens when waves overlap:
Constructive Interference: Waves add up, forming a larger wave.
Destructive Interference: Waves cancel each other out.