Physics
Lecture 3: Dynamics (Newton’s Law of Motion and Applications)
Outline:
Dynamics
Force and Interactions
Newton’s First Law
Newton’s Second Law
Newton’s Third Law
Free-Body Diagrams
Applications of Newton’s Law
Kinematics: The study of motion (description)
Dynamics: The study of forces (causes)
Before Galileo, it was thought that a force (such as a push or a pull) was needed to keep an object in constant velocity. Later, Newton recognized that slowing of objects in everyday experience is due to friction (a type of force).
Dynamics
Describes the relationship between the motion of objects in our everyday world and the forces acting on them.
Conditions when dynamics (classical mechanics in general) does not apply
- very tiny objects (<atomic sizes)
- objects moving near the speed of light
Forces
Elementary definition: a Push or a Pull
Quantitative description of the interaction between bodies or between a body and its surrounding
Force
vector quantity
Classification of Forces:
Field Forces
do not involve physical contact between objects
Contact Forces
involve physical contact between objects
Units of Force:

Types of Forces:
Friction force, f: a surface may exert a frictional force on an object, directed parallel to the surface. Friction is a motion retarder or motion stopper, thus always directed against the direction of motion.


Types of Frictional Force
Static Friction
Static friction acts to keep the object from moving.
If F increases, so does fₛ
If F decreases, so does fₛ

Kinetic Friction
The force of kinetic friction acts when the object is in motion

Friction Curve

Normal force, N: When an object rests or pushes on a surface, the surface exerts a push on it that is directed perpendicular to the surface.

Tension, T: A pulling force exerted on an object by a rope, cord, etc.

Weight, W: The pull of gravity on an object is a long-range force (a force that acts over a distance)
W = mg

Typical Force Magnitudes

Superposition of forces
Any number of forces applied at a point on a body have the same effect as a single force equal to the vector sum of the forces.

Any force can be replaced by its component vectors, acting at the same point.

It is better and more convenient to get the net force by component method.

To get the magnitude and direction of net force, use Pythagorean theorem!
Net Force
vector sum of all the forces




Newton’s First Law
Constant state of motion…

Once a body has been set in motion, no net force is needed to keep it moving!
If no net force acts on an object, it continues in its original state of motion; that is, unless something exerts an unbalanced external force on it, an object at rest remains at rest and an object moving with some velocity continues with that same velocity.

Inertia and Mass
Inertia
- is the tendency of an object to continue in its original motion.
Mass
- is a measure of the inertia
- property of an object that specifies how much resistance an object exhibits to changes in its velocity



Inertial reference frames
Frame of reference where Newton’s first law is valid.
Frame of reference that is NOT accelerating





Newton’s Second Law
So when will a change in the state of motion occur?


The acceleration of an object is directly proportional to the net force acting on it and inversely proportional to its mass.






Mass and Weight
The weight of an object (on the earth) is the gravitational force that the earth exerts on it.
The weight W of an object of mass m is W = mg.
The value of g depends on altitude.
On other planets, g will have an entirely different value than on the earth.

Newton’s Third Law
You cannot touch without being touched…
Forces always occur in pairs. If object A exerts a force on object B, an equal but opposite force is exerted by object B on object A.
FBA=-FAB

Equivalent to saying a single isolated force cannot exist.
Statements
If a body A exerts a force on body B (an “action”), then body B exerts a force on body A (a “reaction”).
These two forces have same magnitude but opposite directions (FAB=-FBA).
These two forces act on different bodies.





Free Body Diagram (FBD)
Use to identify all the “relevant” forces acting on the body.
Diagram showing the chosen body by itself, with vectors drawn to show the magnitudes and direction of all the forces applied to the body.

Free Body Diagram Equation
Choose coordinate axes
- Parallel and perpendicular to the surface.
- Direction of acceleration
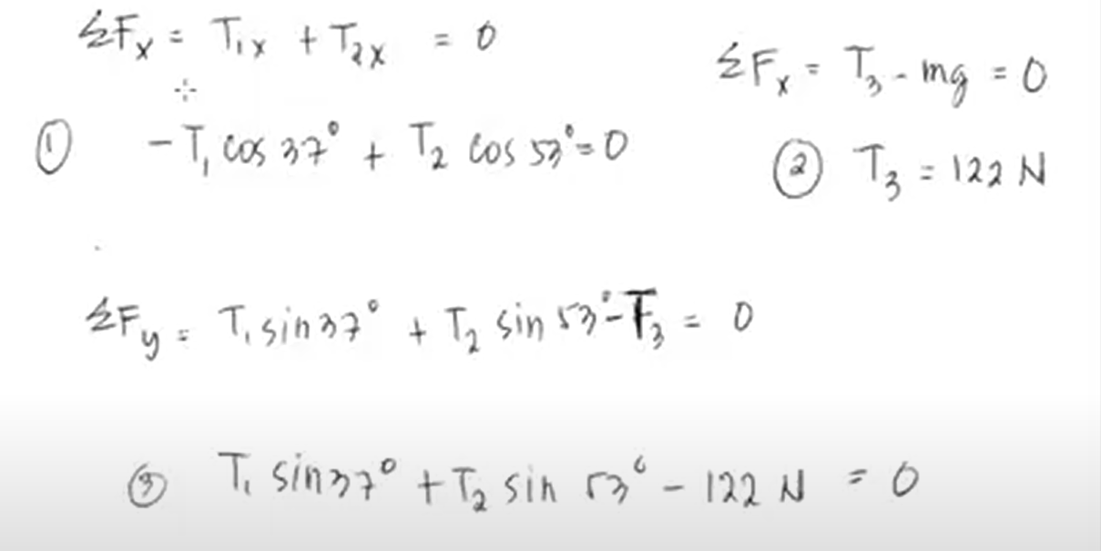
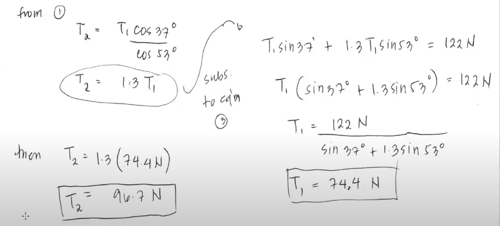
Set the sum of each vector component
- At equilibrium: ∑F = 0
- Not in equilibrium: ∑F = ma









