Chapter 3- Vectors
INTRODUCTION TO PHYSICS (3):
- In physics, the language of vectors is used to describe the quantities with a magnitude and direction.
- All navigation is based on vectors, however, in physics, it becomes more complex by the use of magnetic forces and rotation.
SCALARS AND VECTORS
- For an object traveling in one direction, the plus and minus signs can be used to tell the direction.
- However, as the object starts to travel in three or more dimensions, vectors are used to define its direction of motion.
- Vectors are quantities that have both, a magnitude and direction, e.g. velocity, acceleration, force and displacement.
- Scalars are quantities that just have magnitude and no direction. These include speed, length, time and temperature.
- Vectors are identical if they have the same magnitude and direction, and therefore signify an identical change in position.
ADDING VECTORS GEOMETRICALLY
- Imagine three points A, B and C as three vertices of a triangle. To go from A to C, first a particle moves from A to B, and then from B to C, which can be represented by the vectors AB and BC respectively.
- However, its net displacement is from A to C, represented by the vector AC, and is called the resultant vector.
- If we represent each vector using an italic small letter with an arrow on top, we can relate the three vectors as:

where;
s= AC, a= AB, b=BC

- The commutative law of vector addition states that order does not matter while adding vectors, i.e. in the example above, a+b=b+a
- The associative law of vector addition states that for more than two vectors, any order of grouping can be used as the answer will be the same.
VECTOR SUBTRACTION
If two vectors (as shown below) have the same magnitude but different directions, they have a difference in their algebraic sign.

Adding these two vectors would give 0, i.e. -b+b=0.
Therefore, the following property is used to signify the difference between two vectors:
d = a - b = a + (-b)
It is important to note that only vectors of the same kind can be added, i.e. two or more displacement vectors.
COMPONENT VECTORS
- A component of a vector is the projection of the vector on an axis.
- For example, ax is the component of vector on (or along) the x-axis (the x component) and ay (the y component) is the component along the y-axis.
- To find the projection of a vector along an axis, we draw perpendicular lines from the two ends of the vector to the axis.
- The process of finding the components of a vector is called resolving the vector.
- Components of vectors can be found using right angles the vector makes with the positive x-axis.
- If we know a vector in component notation (ax and ay) and want it in magnitude-angle notation (a and u), we can use the equations:

UNIT VECTORS
A unit vector is a vector that has a magnitude of exactly 1 and points in a particular direction. Its only purpose is to specify a direction.
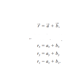
ADDING VECTORS BY COMPONENTS
- If corresponding components of two vectors are equal, the two vectors themselves are equal.

VECTORS AND LAWS OF PHYSICS
- If there is a vector on an axis, and the axis is rotated but not the vector, we could have a different orientation. In this way, there can be an infinite number of combinations.
- All these combinations are valid because each orientation describes a different way of the same vector. They provide the same magnitude and direction.
MULTIPLYING VECTORS
- There are three ways to multiply vectors.
MULTIPLYING A VECTOR BY A SCALAR
- When the vector a is multiplied by the scaler s, a new vector is obtained.
- The magnitude of the new vector is the magnitude of vector a multiplied by the absolute (non-negative) value of scalar s.
- The direction of the new vector is positive if the scalar is positive, and opposite iif the scalar is negative (-s).
- To divide vector a by s, multiply the vector by 1/s.
MULTIPLYING VECTORS AND VECTORS
- To multiply a vector by another vector, there are two ways:
1. one way gives a scalar answer and is called the scalar product.
2. the other way gives another vector as the answer and is called the vector product.


- The direction of these vectors can be determined by the right-hand rule.
- It is important to be remembered that commutative law does not apply to the multiplication of vectors, so the order is necessary.
- The illustration below shows the application of the right-hand rule.
