Electromagnetic Waves
The Generation of Electromagnetic Waves: The Speed Of Light
The first great unification was with Newton’s Laws of Motion. Newton wrote 3 laws that everything follows
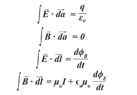
One of the next great unifications was created by James Clerk Maxwell, A set of equations known as Maxwell’s equations

The first equation describes how an electric field is created around a charge
The second equation is similar but instead describes magnetic fields, the reason it equals zero is because there are no individual magnetic charges
The 3rd equation is Faraday’s law, which states that a changing magnetic field gives a rise to an electric field
The 4th equation is Ampere’s law, which states that a changing electric field gives a rise to a magnetic field
The combined effects of oscillating electric and magnetic fields create what we call Electromagnetic Waves
If the electric and magnetic field inside our eyes are oscillating at 400 trillion times per second, we are seeing the color red
If the frequency increases to 500 trillion, we are seeing the color yellow
600 trillion, we are seeing green
700 trillion, we are seeing blue
Basically, Maxwell discovered that light is an electromagnetic wave
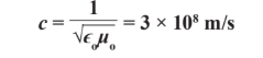
The speed of electromagnetic waves is given by this equation:

Wave Mechanics
A wave is how we describe the transference of energy through a substance without any of the substance being transported
When the components of the material move back and forth in the same direction as the wave we call it a longitudinal wave
One example of a longitudinal wave is sound

A transverse wave is a wave in which the direction of vibration is perpendicular to the wave
An example of a transverse wave is “the wave” at a stadium
The horizontal length between any 2 points in a repeating cycle of a wave is called the wavelength

For this wave, Amplitude refers to the maximum height of the string as the wave goes through it
Amplitude can mean different things though. For a sound wave, amplitude describes the loudness of the sound. For a light wave, amplitude refers to the brightness of light
In general, Amplitude describes the intensity of a wave
The wave frequency is how many full wavelengths pass through a given point per second
Wave frequency is measured in Hertz (Hz), 1 hertz is one wavelength per second

Velocity equals wavelength times frequency
The speed of sound in the air is typically 300 meters per second (760 mph)
The speed of light however is 300 million meters per second
Sound is a wave that passes through a substance but Light is the variation between electric and magnetic fields so there is no substance needed. Light can travel through a vacuum just fine
The speed of light itself is a constant (C) so using these equations, we can easily find the wavelength if we have the frequency and vise versa:

A high frequency wave will have a short wavelength and a low frequency wave will have a long wavelength
The Electromagnetic Spectrum
The wavelengths of the visible spectrum range from 400 nanometers (blue) to 700 nanometers (red)

Any frequency or wavelength is possible. Most can not be seen by the human eye but when can still experience the effects

If we go longer in wavelength and a lower frequency than red, we have infrared
Atoms emit infrared radiation, we as humans can feel this as heat. Using infrared cameras, we can see differences in temperature

Going beyond infrared, we have the microwave and radio wave part of the spectrum, these are usually used in long distance communication
Wi-Fi frequencies are part of the microwave spectrum
A microwave oven has a mini particle accelerator inside it, which causes electrons to emit microwave radiation.
On the inside of the glass door, there is a mesh of metal with small holes, these holes are too small for microwaves to get out so you are safe
Dangerous variation is at the end of the spectrum, starting with going to a higher frequency and a lower wavelength, you get ultraviolet (UV), most commonly associated with sunburns
The higher the frequency, the more energy the waves tend to carry. UV waves are strong enough to break skin cells
The UV radiation is much more powerful in outer space than on earth. The once USA flag on the moon is now completely white due to the sun rays
Beyond ultraviolet we have X-Ray, discovered in 1895 by Wihem Rontgen, he found that they were emitted by electrons accelerated by high voltages
X Rays can pass through small atoms in the skin but they are absorbed by the large calcium content in the bones
At the end of the spectrum, there are Gamma Rays, They are the shortest wavelength and the longest frequency among all of the electromagnetic waves.
Gamma Rays come from atomic nuclei that are undergoing radioactive decay
Applications of Electromagnetic Waves: Polarizers
The electric field oscillates up and down, and the magnetic field oscillates in and out, creating an electromagnetic wave that travels left and right.

It switches direction when the current switches direction. As the current switches back and forth, the changes propagate away from the wire at the speed of light, creating the characteristic electromagnetic wave

Since electric charges are the origins of these waves, by convention we choose the electric field component of the wave to be the main direction of oscillation for the wave, otherwise known as wave polarization
If the electric field component oscillates in the x+ and x- direction, we say the wave is polarized in the x direction
A red filter will absorb any light that is not red, only allowing red light to pass through. This is the same for all colors
There are also polarized filters which absorb light polarized in a particular direction
If the polaroid slits are arranged vertically, and an electromagnetic wave that is vertically polarized passes through, then this will accelerate the electrons inside, which will take energy away from the wave, effectively blocking that light from passing through.
When unpolarized light reflects off a horizontal surface, such as the ground, it will tend to become polarized in the direction of the ground.
An application of polarizing filters is for 3D movies. 3D glasses allow you to see 1 image out of each eye. One eye looks through a horizontally polarizing filter, one looks through a vertically polarizing filter which tricks our eyes into seeing depth
Long Distance Communication
Inspired by Maxwell’s equations, Heinrich Hertz came up with the idea to send a wireless signal but after he did his experiment, he said the result would be no use to share
In 1901, Guglielmo Marconi invented the wired telegraph and successfully sent the first wireless signal across the Atlantic
The first two way wireless conversation happened when President Theodore Roosevelt sent a message to King Edward of England
Once radio’s started to pop up, Roosevelt would insert himself into peoples homes through their radios in what he called his “fireside chats”
An advantage of electromagnetic waves is that their medium is electric/magnetic fields, which can travel anywhere, including space! This allows us to see the stars and feel the sun’s heat. They also allow us to communicate with satellites
We can also build telescopes that can detect and amplify beyond the visible spectrum. One of the largest radio telescopes was built in Puerto Rico, it was so big it had to be built into the ground
The telescope, named Arecibo, sent a powerful radio signal with an encoded message about humanity to the star cluster Messier 13
Radio telescopes also allow us to see distant galaxies, radiation from the birth of earth itself (known as the Cosmic Microwave Background). The James Webb Telescope was launched in 2021 and primarily detects infrared radiation, allowing us to see into vast nebulae
Radio and Television
The frequencies that humans can typically hear and make are in the kiloHertz range (kHz).Radio frequencies are measured in megaHertz (mHz) range
There are a couple different ways that kHZ can be converted in mHz. One is amplitude modulation (AM) where the amplitude of the radio wave is varied in proportion to the frequency of the sound wave
An example of this is if you have a 500 Hz sound being broadcasted on a 1 MHz radio wave, then the 1 MHz’s radio wave will vary up and down 500 times per second. Inside the radio is an RHC circuit, if the circuit is tuned to 1 MHz then the circuit will absorb the energy of the wave and create vibrations in a speaker reproducing to 500 Hz sound

The other way is through frequency modulation (FM). Instead of amplitude varying with the frequency of the sound, the frequency varies with the frequency of the sound
This gives the wave multiple frequencies added together

The audio that comes out of a TV is usually transmitted through FM, and the video through AM
The earliest TV used what is called a cathode ray tube, it emits electrons through a cathode (a collection of negative charge) which are accelerated by high voltages toward an anode (a collection of positive charge). The electrons are deflected by a magnetic field and onto a screen, creating a burst of light.
A signal is received that will determine the strength and direction of the magnetic field, telling the electron where to hit to produce the correct image
Most TV’s today do not use CRTs but they do use liquid crystal displays (LCD) which take advantage of the polarization of light
We have 3 types of cone cells in our eyes that are used to see color. Short wavelength (blue sensitive), Medium wavelength (green sensitive) and Long wavelength (red sensitive)
LED’s and Solar Power
Today, more and more places are being lit up with light-emitting diodes (LED’s)
LED’s use semiconductors. In a semiconductor, electrons can be pushed to the outer shell of their atoms where they can move freely as a conductor, when this happens they emit light
With red, green and blue LED’s combine we make the white light that is seen in many lightbulbs
LED’s are much more efficient and last longer than lightbulbs from the past
Solar panels also use semiconductors, they absorb sunlight and with just the right amount of energy, electrons can break out of their shells and allow for the flow of current
Relativity: The Consequences of a Constant Speed of Light
The speed of light constant is shown here:

If the speed of light is truly a constant, then this means the speed of light is not relative and would be the same for all observers
Albert Einstein took a different approach to solving this “absurdity”. He asked himself the question “Would you ever be able to match the light’s speed and therefore see the light as not moving at all?”
He concluded that the answer to this was no, because the speed of light is the same for all observers. You will always measure the speed of light as c relative to you
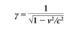
From your perspective, the sense of time for someone on a scooter going insanely fast would be slowed down. This effect is called time dilation.
In addition to time being relative, length is also relative
Length contraction is a phenomenon where an object moving at a high speed appears shorter to stationary observers in the direction of its motion
The effects of relativity can be summed up in the Lorentz factor:

Relativity of Electric and Magnetic Fields
Faraday’s law can be viewed in different ways depending on your interpretation but you get the same result no matter what
Physicists did not like this and started making some of their own. One was that the magnets perspective was the “true” explanation while another was that the “wrong” observer got the right answer
Einstein made a paper on his theory of relativity in 1905, which changed how we view mechanical motions through space and time
The title of Einstein’s paper that started it all was On The Electrodynamics Of Moving Bodies
Not only can magnetic fields disappear for different observers, but electric fields can too
The true fundamental force is neither the electric nor magnetic force, but it is the electromagnetic force
The electromagnetic force can appear as the electric force from certain frames of reference and the magnetic force from certain frames of reference
The connection between electricity and magnetism is not only crucial to our civilization but is also fundamental to the structure of the universe itself