Week 1 Sound Wave Parameters
Learning Objectives
Understand the key sound wave parameters relevant for ultrasound physics.
Key Sound Wave Parameters
Wavelength (λ):
Distance one cycle occupies (distance between 2 areas of maximal compression or rarefaction).
Unit: meters (m) or millimeters (mm).
MEASURE OF DISTANCE.

Period (T):
Time taken for one cycle occurred.
Unit: seconds or microseconds.
Inversely related to frequency.
MEASURE OF TIME.

Frequency (ƒ):
Number of cycles passing per unit time.
Measured in Hertz (Hz).
Higher frequency = shorter wavelength; Lower frequency = longer wavelength.

Speed of Propagation (Velocity) (c or v):
Speed at which the wave travels through a specific medium.
v = λ f
Units: m/s or mm/s.
Average speed in soft tissue: 1540 m/s or 1.54 mm/µs.
Amplitude (A):
Maximum variation from the mean value (baseline to peak or trough).
Represents strength of sound

Intensity (I):
Distribution of power (P) over a defined area.
Formula:
Intensity increases with decreased beam area due to focusing.
Wave Representation
Sound expressed as a sine wave depicting cycles of compression and rarefaction.
Importance of Frequency in Ultrasound
High Frequency (e.g., 17 MHz):
Short wavelength = better resolution = limited depth.
Low Frequency (e.g., 5 MHz):
Longer wavelength = lower resolution = better depth penetration.
Wavelength and Frequency Relationship
Wavelength (λ) is inversely proportional to frequency (ƒ):
High frequency results in a short wavelength, and low frequency results in a long wavelength.

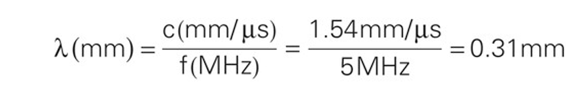
Wave Equation
Using a transducer's frequency and soft tissue propagation speed to calculate wavelength:
Given soft tissue velocity c = 1.54mm/us

Propagation Speed Dependencies
Propagation speed in a medium is influenced by:
Density (ρ): Mass per unit volume.
Stiffness (Bulk Modulus): Resists deformation under stress; critical for determining velocity.
Higher stiffness leads to higher propagation speeds than density increases alone.
Propagation Speeds in Various Tissues
Bone: 4080 m/s
Muscle: 1580 m/s
Liver: 1550 m/s
Soft Tissue (average): 1540 m/s
Kidney: 1560 m/s
Blood: 1570 m/s
Fat: 1450 m/s
Water: 1480 m/s
Air: 330 m/s
Power and Amplitude Relationship
Power (P): Energy expended per unit time, measured in Watts.
Relationship: Power is proportional to the square of amplitude:
Increasing transmit voltage enhances acoustic energy or power, resulting in stronger echoes and increased penetration but may also lead to bio-effects.
Analyzing Amplitude and Frequency
Amplitude relates to sound strength; Frequency relates to pitch.
Same frequency but different amplitudes create variations in perceived strength.
Conclusion
To summarize:
Understanding these parameters is essential for effective ultrasound imaging and diagnostics.
For deeper learning, references include Khan Academy and other physics resources available online.