lecture 3 - welding
def; the partial melting and fusion of two members. In this processes a filler metal can be used to joining the two metals.
AUTOGENOUS; welding without a metal filler
fusion welding process
- oxyfuel gas / flame weldding
arc welding
high energy beam
Solid state welding process ; when the welding doesnt have a liquid or molten phase present in the join. Friction welding, resistance welding, cold welding
OXYFUEL GAS
a welding processes using a flame produced by a fuel gas combined oxide
the Gas mixeture to create this flame changes the ratio of the inner and outer cone. a greater oxygen can be a harmful flame from oxidising metals. if oxygen is too low there will be insufficient comnbustion i.e carburising
an Oxidising flame is only good for copper alloys
Welding tourch tool (where the oxygen has a valve with a pressure gauge regulator)
Filler metals
they have a flux to RETARD OXIDISE the surface of the parts. it also helps dissolve and rremove oxides and oother substances aiding the the weldinging(making it stronger)
Arc welding process
heat from electrical energy involving a consumerbal or non consumerbal elcetrode.
it generates 30,000 degrees (much higer than oxyfule gas weilding)
when TUNDSTEN gas is used it is suitable fo rthin metals i.e titainium magnesium
Polarity and current
straight polarity creates a narrow and deeep weild
reverse polarity is a wide and shallow wield
Ac current is suitable for thick sections of the two members
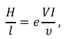
H = heat input, joules
L = length of wield
V = voltage applied
I = current
v = speed
e = efficiency normal is from 75% for shielded metal arc to 90% for gas metal arc wielding

this can be subbed into the equation in figure 1 if you don’t have the length
Plasma Arc welding
Plasma is an ioniosed hot gas composed
non- consumerbal
Electrogas Weilding (EGW)

Electrodes for arc welding
E60XX, E110XX ; the E symbolises that the material is an electrode and the number is the tensile strength 60 is 60,000 psi
EXX1X shows it is all directions and if 2 indicates it can act in a flat position
electron beam welding (EBW)
Laser-beam wielding high energy welding
