Week/Lecture 10: Human Capital
Human Capital: Education and Health in Economic Development
Central Roles of Education and Health
Education and health are important objectives of development.
Key individual indicators, multidimensional indicators feature health and education.
Represented in SDGs (previously MDGs).
Represented in the New HDI (and Traditional HDI) and the MPI, which include health and education equally, along with living standards (assets or income).
Health and education are important components of growth and development, serving as inputs in the aggregate production function.
Education and Health as Joint Investments
Health and education are investments in the same individual.
Greater health capital may improve the returns to investments in education.
Health is a factor in school attendance.
Healthier students learn more effectively.
A longer life raises the rate of return to education.
Healthier people have lower depreciation of education capital.
Greater education capital may improve the returns to investments in health.
Public health programs need knowledge learned in school.
Basic hygiene and sanitation may be taught in school.
Education is needed in the training of health personnel.
Improving Health and Education: Income Sufficiency
Increases in income often do not lead to substantial increases in investment in children’s education and health.
Better-educated mothers tend to have healthier children, at any income level.
Significant market failures in education and health require policy action.
Investing in Education and Health: The Human Capital Approach
Initial investments in health or education lead to a stream of higher future income.
The present discounted value of this stream of future income is compared to the costs of the investment.
Private returns to education are often high.
Private returns may be higher than social returns, particularly at higher educational levels, when accounting for education subsidies.
Financial Trade-Offs in Schooling Decisions
The decision to continue in school involves financial trade-offs, considering both direct and indirect costs, as well as the benefits of increased earnings.

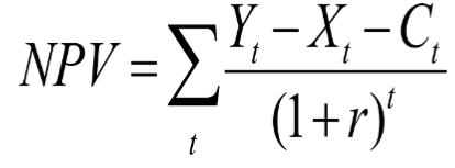
Algebraic Version of the Schooling Decision
Net Present Value (NPV) of the income stream is given by:

Where:
t is time (year) from the present (time t = 0).
Y_t is expected income from having gone to school, realized at time t.
X_t is expected income from having NOT gone to school, at time t.
C_t is the cost of going to school borne at time t (if any).
r is the rate of discount used.
Returns to Investment in Education
Returns to Investment in Education by Level, Regional Averages (%)

Gender Gap: Discrimination in Education and Health
Young females receive less education than young males in nearly every low and lower-middle-income developing country.
Closing the educational gender gap is important because the social rate of return on women’s education is higher than that of men.
The marginal (next) girl enrolled is likely to be more talented than the marginal boy.
Mothers devote a larger fraction of income to child welfare than fathers, and education increases earnings.
Mothers' knowledge (even without extra income) helps child survival and education.
Education for women increases productivity, thereby lowering fertility.
Education can break the vicious cycle of poverty and inadequate schooling for girls.
Parity is being approached, with progress in every developing region.

Consequences of Gender Bias in Health and Education
Economic incentives and their cultural setting.
Increases in family income do not always lead to better health and education.
Educational Systems and Development
The Political Economy of Educational Supply and Demand.
The Relationship between Employment Opportunities and Educational Demands.
Social versus Private Benefits and Costs.
Factors that could augment net social returns include literacy spillover benefits.
Net social returns could diminish and are overstated by public subsidies for private education, to the extent that they represent transfers for private benefits (generally there are larger divergences at higher educational levels).
Distribution of Education
Education, Inequality, and Poverty
Health Measurement and Distribution
World Health Organization (WHO): The key United Nations agency concerned with global health matters.
Real-World Case Study: South Korea’s Investment in Human Capital
Overview: South Korea transformed from a low-income country in the 1950s to a high-income economy through strategic investment in education and healthcare.
Key Policies:
Universal primary education by the 1960s.
Heavy investment in higher education and R&D (science & technology focus).
Expansion of healthcare access.
Outcome:
Rapid GDP growth (~7% annually for decades).
High literacy rates (>98%).
Strong innovation-driven economy (Samsung, Hyundai, etc.).
Policy Trade-Offs – Where Should Governments Invest?
Budget Constraints: Governments must allocate resources efficiently between education & health.
Trade-off Matrix:
Investing in Primary Education vs. Higher Education.
Preventive Healthcare vs. Treatment-Based Healthcare.
Urban vs. Rural Investments.
Example: Finland vs. the US in education funding priorities.
Role of Technology in Human Capital Development
Education Technology (EdTech):
Khan Academy, Coursera, and other online learning platforms.
AI-driven personalized learning (adaptive curriculum).
Health Technology:
Telemedicine for remote healthcare access.
AI in medical diagnostics (reducing costs & improving accuracy).
Example: India’s Aadhaar-based digital health & education initiatives.
Climate Change and Human Capital
Impact on Education:
School closures due to extreme weather.
Displacement of families reducing school attendance.
Impact on Health:
Increased prevalence of diseases (malaria, dengue, respiratory illnesses).
Malnutrition due to food insecurity.
Case Study: Bangladesh – rising sea levels affecting education & health outcomes.
Human Capital Index (HCI)
The Human Capital Index (HCI) is a global measurement tool developed by the World Bank to assess the potential of a country’s human capital based on health and education outcomes.
It quantifies how well a country invests in its people to maximize their productivity and economic potential.
The HCI evaluates the future productivity of a child born today, assuming they receive full education and healthcare available in their country.
It ranges from 0 to 1:
1. 0 means a child will achieve full productivity potential in adulthood.
2. 50 means a child will be 50% as productive as they could be with full health and education.
Components of HCI
(A) Survival (Health Component)
Under-5 Mortality Rate: The probability that a child born today survives to age 5.
Measurement: If the mortality rate is 5%, then the survival rate is 95% (0.95 in the HCI).
(B) Expected Learning-Adjusted Years of Schooling (Education Component)
Measures quality and quantity of education.
Combines:
Expected Years of Schooling – How many years a child starting school today can expect to complete.
Harmonized Test Scores – Adjusts schooling years based on actual learning outcomes (e.g., literacy, math skills).
(C) Health & Productivity (Adult Component)
Adult Survival Rate: The fraction of 15-year-olds who survive to age 60 (a proxy for overall health conditions).
Stunting Rate: The proportion of children under age 5 who suffer from stunted growth due to malnutrition (affecting cognitive development and future productivity).
Interpreting HCI Scores
Finland: 0.80 – A child born today will be 80% as productive as a fully educated, healthy person.
China: 0.65 – A child will achieve 65% of their full productivity potential.
India: 0.49 – A child will reach only 49% of full productivity due to health and education gaps.
Nigeria: 0.36 – A child will be only 36% as productive due to lower education and health outcomes.
Importance of HCI
Guides Policy Decisions: Helps governments prioritize education, health, and child development programs.
Tracks Progress: Allows comparisons across countries and over time to assess improvement.
Economic Growth Link: Countries with higher HCI scores generally experience faster economic growth.
Limitations of HCI
Doesn’t Account for Skills Mismatch: Measures schooling quantity, but not job market skills.
Ignores Informal Learning: Non-formal education (e.g., apprenticeships) isn’t included.
Country-Specific Factors: The same HCI score can have different implications depending on local labor markets.
Life Expectancy
Life expectancy at birth refers to the average number of years a newborn is expected to live if current mortality rates remain constant throughout their lifetime.
It is a key indicator of public health and overall well-being in a country.
Key Factors Affecting Life Expectancy
Healthcare Quality – Strong healthcare systems improve life expectancy by reducing deaths from preventable diseases.
Income & Poverty – Wealthier countries tend to have higher life expectancy.
Nutrition & Sanitation – Access to clean water, healthy diets, and hygiene lowers disease burdens.
Disease Control – Reduced infant mortality, vaccination programs, and better maternal health contribute to longevity.
Conflict & Crisis – War, pandemics (e.g., COVID-19), and disasters can significantly reduce life expectancy.
Recent Challenges to Life Expectancy
COVID-19 Pandemic: Some countries experienced a drop in life expectancy (e.g., the U.S. saw a decrease of 1-3 years).
Climate Change & Pollution: Increasing pollution and climate-related diseases pose new risks.
Non-Communicable Diseases (NCDs): Heart disease, diabetes, and obesity are growing threats to longevity, especially in middle- and high-income nations.