Home
Alkene and Alkyne Reaction Wheels
Alkene and Alkyne Reaction Wheels
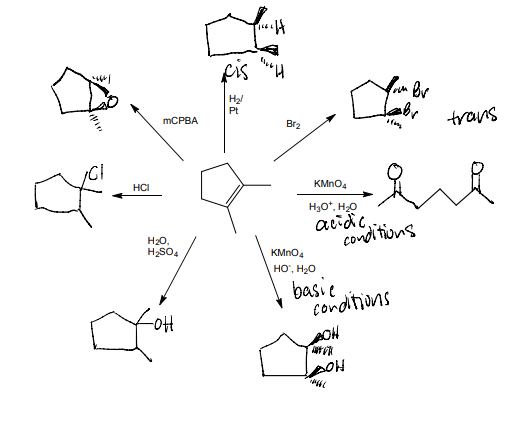
Alkene Reaction Wheel
Alkyne Reaction Wheel