Examples 1

we find (n1 <= n2)
R1= 1+2+3+4+6.5= 16.5 (green)
R2= 5+6.5+8+9+10+11= 49.5 (red)
then U1=R1-(n1(n1+1))/2 = 16.5 - (5×6)/2 = 1.5
then U2=R2-(n2(n2+1))/2 = 49.5 - (6×7)/2 = 28.5
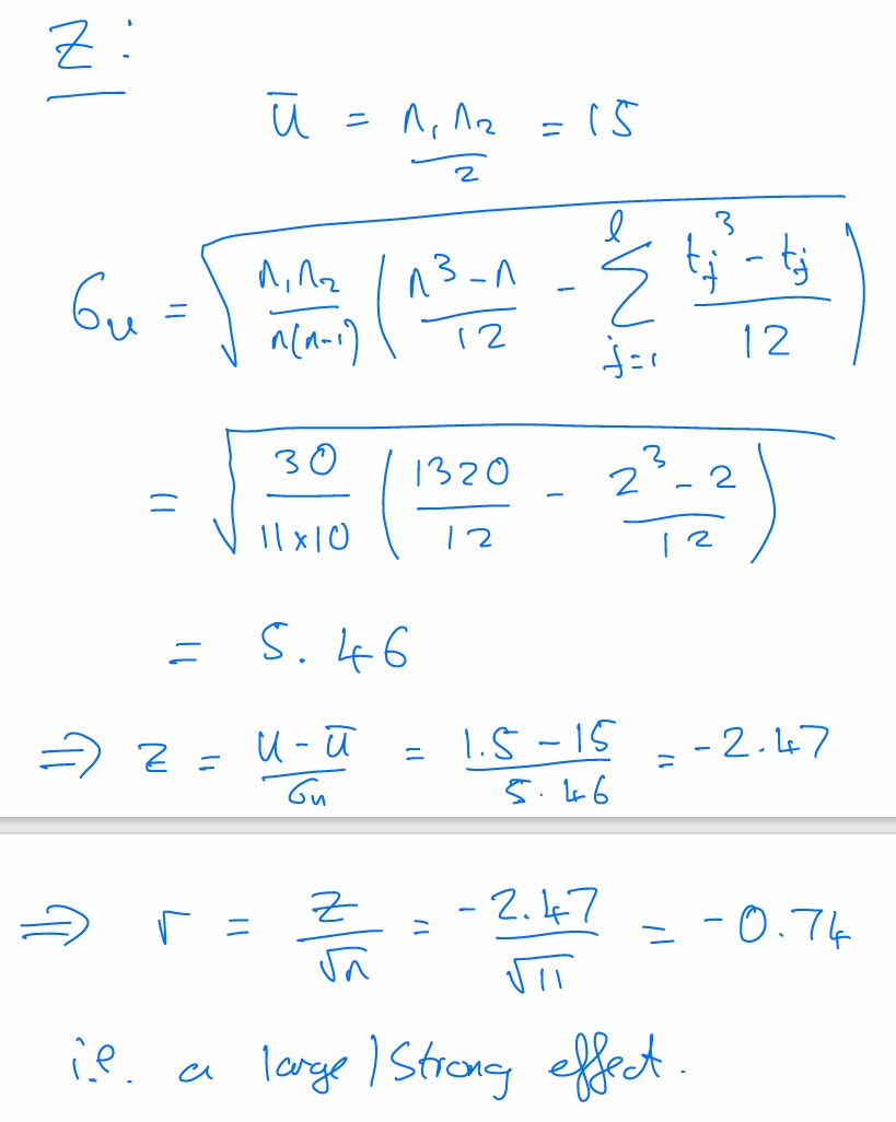
u= min{U1,U2}= min{1.5,28.5} = 1.5
using the tabels with n1=5, n2=6, d=0.05, 2-tailed, we get
Ucrit = 3>1.5 = U so we reject H0
conclusion: the evidence suggests that the median age diagnosis of type II diabetes is different between male and female groups

the median of group 1 is 13
the median of group 2 is 24
therefore, the median age of diagnosis seems to be higher in males than females