Home
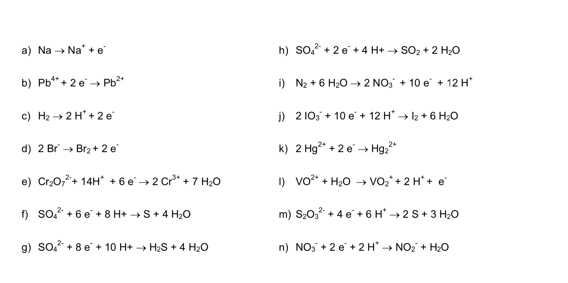
Writing half equations
Writing half equations
Whenever its - to + ( H+ / e- ) first
Whenever its + to - ( H2O) go first