Important Formulas
Week 1






Both of these are pages of equations are for constant acceleration
Follow the steps
List the knowns
List the unknowns
Draw a sketch if it helps
Pick an equation



Practice questions

Use equation 1




Week 2
When air resistance is negligible
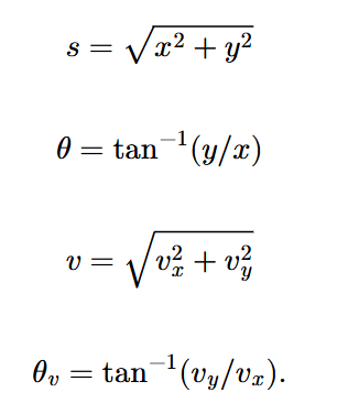
s is defined to be the total displacement and x and y are its component along the horizontal and vertical axes, respectively.

How to do a projectile motion?
Analysing projectile motion
Step 1: Break the motion into horizontal and vertical components along the x and y axes. These axes are perpendicular so we can use x=rcos and y=rsin
Step 2: Treat the motion as two independent one-dimensional motions, one horizontal and the other vertical. The kinematic equations for horizontal and vertical motion take the forms:

Step 3: Solve for the unknowns in the two separate motions - one horizontal and one vertical.
Step 4: Use time to link x and y
Step 5: Combine the two motions to find the total displacement s and velocity v. Since x and y motions are perpendicular, we determine these vectors by using the techniques outlined in 3.3
For total displacement and velocity

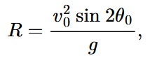
The range R of a projectile on level ground for which air resistance is negligible is given by

where v0 is the initial speed and is the initial angle relative to the horizontal.


Practice questions






Week 3
A body at rest remains at rest, or, if in motion, remains in motion at a constant velocity unless acted on by a net external force. (Inertia)
A change in motion is equivalent to a change in velocity. A change in velocity means there is an acceleration.
𝐚∝𝐅net (acceleration is directly proportional to and in the same direction as the net(total) external force acting on a system)
𝐚∝ (acceleration is inversely proportional to the mass of the system)

If air resistance is negligible, net force on a falling object is the gravitational force known as weight.

If two surfaces are in contact and moving relative to one another then the friction between them is called kinetic friction.
When objects are stationary, static friction can act between them, the static friction is usually greater than the kinetic friction between the surfaces.
Kinetic friction fk is given by fk=𝜇k𝑁 where 𝜇k is the coefficient of kinetic friction.

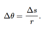
s is arc length, the distance travelled along a circular path and r is the radius of the curvature of the circular path.

w is the angular velocity where angular rotation is Δ𝜃 in a time Δt.
This has units rad/s


The direction of centripetal acceleration is toward the center of curvature and magnitude 𝑎c==𝑟𝜔2
Fc=m =m𝑟𝜔2
where Fc is the force of centripetal acceleration.
Ideal banked curve

v = speed, r = radius, g=gravity
this gives the ideal angle for a banked curve
“where the angle goes for determining N using weight and mass”
above is used in a symmetric situation like a mass hanging from two ropes at angles
T=mxg
simple case with no angles
The acceleration on an incline
Week 4
4.4, 7.1, 7.2, 7.3
Whenever one body exerts a force on a second body, the first body experiences a force that is equal in magnitude and opposite in direction to the force that it exerts.
W =
where W is work, d is displacement of the system, and is the angle between the force vector F and the displacement vector d.
For multi-way work break it up and deal with it then add.
Work is in Joules
Wnet=Fnetd
Fnet=ma
Wnet=mad
𝑊net =v02
is the translational kinetic energy
Wapp=Fappdcos()=Fappd
Work done against gravity (e.g. lifting an object)
W = Fd = mgh
Work done by gravity
W = Fd = -mgh
This is gravitational potential energy (PEg)
If gravitational force is released kinetic energy will increase by the same amount.
PRACTICE 7.3 QUESTIONS
7.4, 7.5, 7.6, 8.1
Potential energy of a spring
PEs =
where k is the spring’s force constant and x is the displacement from its undeformed position.
𝑊net= =ΔKE
If only conservative forces act, then
𝑊net=Wc
where Wc is the total work done by all conservative forces. Thus,
Wc = ΔKE
KE + PE = constant
or
KEi + PEi = KEf + PEf
Friction needs to be negligible
KE + PE is mechanical energy
spring and gravitational force
KEi+PEi=KEf+PEf
Kinetic Energy: KE=
Gravitational Potential Energy: U=mgh
Elastic Potential Energy: PE=
Conservation of Mechanical Energy: Kinetic + Potential
KE + PE = constant or KEi + PEi = KEf + PEf
NON CONSERVATIVE FORCES
Wnet = Wnc + Wc =ΔKE
KEi + PEi + Wnc = KEf + PEf'
Efficiency (Eff) = (useful energy or work output)/(total energy input) =


impulse is Fnet△t
Conservation of Momentum Principle
𝐩tot=constant
𝐩tot=𝐩′tot(isolatedsystem)
where isolated means Fnet is 0
Elastic collision
m01v01 + m02v02 = mf1vf1 + mf2vf2
Inelastic collision
m01v01 + m02v02 = (mf1 + mf2) x vf3
Example 1:The Force to Stop Falling
A 60.0-kg person jumps onto the floor from a height of 3.00 m. If he lands stiffly (with his knee joints compressing by 0.500 cm), calculate the force on the knee joints.
The person’s energy is brought to zero in this situation. The initial PEg is transformed in to KE as he falls. The work done by the floor reduces this kinetic energy to zero.
W = Fdcos = -Fd
The kinetic energy the person has upon reaching the floor is the amount of potential energy lost by falling through height h:
KE = -ΔPEg=-mgh
The knee joint compression is so small that we can ignore it.
The work W done by the floor on the person stops the person and brings the person’s kinetic energy to zero:
W = -KE = mgh
-Fd = mgh
F = -(mgh)/d
= -(60 × 9.8 × -3)/0.005
= 3.53 × 105 N
v2 = u2 +2as
where u is final velocity and v is initial velocity and s is compression
SI units
Converting esp between mili
power is w/t
Finding the Speed of a Roller Coaster from its Height
(a) What is the final speed of the roller coaster shown in Figure 7.8 if it starts from rest at the top of the 20.0 m hill and work done by frictional forces is negligible? (b) What is its final speed (again assuming negligible friction) if its initial speed is 5.00 m/s?
The roller coaster loses potential energy as it goes downhill. We neglect friction, so that the remaining force exerted by the track is the normal force, which is perpendicular to the direction of motion and does no work.
The net work on the roller coaster is then done by gravity alone. The loss of gravitational potential energy from moving downward through a distance h equals the gain in kinetic energy.
This written in equation form as -ΔPEg=ΔKE
a) Initial kinetic energy is 0 so ΔKE= .
The equation for change in potential energy states that ΔPEg=mgh. Since his negative in this case ΔPEg=mg
mg =
masses cancel
9.8 × 5 = 0.5 x v2
v = 19.8 m/s
b) In this case there is initial kinetic energy so ΔKE=𝑚𝑣2−𝑚𝑣02
g = −𝑣02
2 x 9.8 × 20 = v2 - 5 × 5
v = 20.4m/s
Week 5
𝜏=rFsin𝜃
𝑟⊥=𝑟sin𝜃 so that 𝜏=𝑟⊥𝐹
The first step is to determine whether or not the system is in static equilibrium. This condition is always the case when the acceleration of the system is zero and accelerated rotation does not occur.
It is particularly important to draw a free body diagram for the system of interest. Carefully label all forces, and note their relative magnitudes, directions, and points of application whenever these are known.
Solve the problem by applying either or both of the conditions for equilibrium (represented by the equations net𝐅=0 and net𝛕=0, depending on the list of known and unknown factors. If the second condition is involved, choose the pivot point to simplify the solution. Any pivot point can be chosen, but the most useful ones cause torques by unknown forces to be zero. (Torque is zero if the force is applied at the pivot (then 𝑟=0), or along a line through the pivot point (then 𝜃=0)). Always choose a convenient coordinate system for projecting forces.
Check the solution to see if it is reasonable by examining the magnitude, direction, and units of the answer. The importance of this last step never diminishes, although in unfamiliar applications, it is usually more difficult to judge reasonableness. These judgments become progressively easier with experience.
Week 6
∣𝑞𝑒∣=1.60×10−19C

Using Coulomb’s law, , its magnitude is given by the equation , for a point charge (a particle having a charge Q) acting on a test charge q at a distance r. Both magnitude and direction of the Coulomb force field depending on Q and the test charge q.
Specifically, the electric field E is defined to be the ratio of the Coulomb force to the test charge:
The electric field is thus seen to depend only on the charge Q and the distance r it is completely independent of the test charge q.
Field lines must begin on positive charges and terminate on negative charges, or at infinity in the hypothetical case of isolated charges.
The number of field lines leaving a positive charge or entering a negative charge is proportional to the magnitude of the charge.
The strength of the field is proportional to the closeness of the field lines—more precisely, it is proportional to the number of lines per unit area perpendicular to the lines.
The direction of the electric field is tangent to the field line at any point in space.
Field lines can never cross.
Week 7
P =
E=Pt
V =
1eV = 1.60 × 10-19 J
𝑊=𝑞𝑉AB
𝑞𝐸𝑑=𝑞𝑉AB
The charge cancels, and so the voltage between points A and B is seen to be
𝑉AB=𝐸𝑑
𝐸=𝑉AB/𝑑
are uniform 𝐸- field only
𝑉= (PointCharge)
where k is a constant equal to 9.0×109N·m2/C2
We define their capacitance 𝐶 to be such that the charge 𝑄 stored in a capacitor is proportional to 𝐶. The charge stored in a capacitor is given by
𝑄=CV.
Unit is farad
𝐶=𝜀0
𝜀0=8.85×10–12F/m
𝐶=𝜅𝜀0 (parallel plate capacitor with dielectric).
The energy stored in a capacitor, 𝐸cap, is
𝐸cap=𝑄𝑉/2,
where 𝑄 is the charge and 𝑉 the voltage on a capacitor 𝐶. The energy is in joules for a charge in coulombs, voltage in volts, and capacitance in farads.