CHEM 310: Page-by-Page Surface Chemistry & Heterogeneous Catalysis Notes
Definition of Surface Chemistry: The study of chemical reactions at surfaces, particularly at interfaces between different phases such as solid-gas, solid-liquid, and solid-solid.
Catalysts: workhorses of the chemical industry; ~85–95% of chemical industry products produced via catalytic processes.
Roles of catalysts:
Production of transportation fuels.
Bulk chemical production across industry sectors.
Pollution prevention by avoiding waste formation.
End-of-pipe pollution abatement (e.g., automotive/industrial exhaust systems).
A catalyst provides energetically favorable pathways, enabling industrially feasible conditions (P, T, time).These techniques help minimize the environmental impact of chemical processes and improve overall efficiency in reaction systems.
How Catalysts Work (Qualitative)
A catalyst accelerates a reaction without being consumed.
Mechanism: forms bonds with reacting molecules, facilitates reaction to product, product detaches, leaving the catalyst available for further cycles.
Catalysis is cyclic: catalyst participates and is recovered in its original form at cycle end.
Page 6
How Catalysts Speed Up Reactions (Energy Perspective)
Potential energy diagram comparison: non-catalyzed vs catalyzed pathways with a solid catalyst and gas-phase reactants.
Features:
Catalysis provides a lower activation energy Ea.
ΔG of reaction is unchanged by catalysis: Ea (catalyzed) < Ea (uncatalyzed); ΔG stays the same.
Catalysts affect kinetics, not thermodynamics.
Page 7
Implications for Catalyst Design
Not all catalyst–reactant combinations succeed. Criteria for effective catalysts:
Bonding too weak → low conversion.
Bonding too strong → active sites occupied by one reactant, blocking other reactants; intermediates/products may bind too strongly and poison the cycle.
The best catalyst has intermediate interaction strength with reactants and products.
Catalyst selection requires consideration of many parameters and extensive experimental testing.
Page 8
Types of Catalysis I: Biocatalysis (Enzymatic Catalysis)
Enzymes: highly efficient catalysts with shape-specific active sites.
Example: Catalase catalyzes decomposition of hydrogen peroxide to water and oxygen.
Mechanism: Enzymes lower activation energy, allowing reactions to proceed faster and under milder conditions compared to traditional catalysts.
Advantages: Selectivity, milder reaction conditions, and the ability to catalyze complex reactions.
Remark on turnover: Catalase can convert millions (~10^7) molecules of H2O2 per second.
Page 9
Type of Catalysis I example: Catecholase
Catecholase example polyphenol, features a dinuclear copper center, embedded in a central four-helix bundle motif.
Each active copper site is coordinated by three histidine residues and a solvent molecule (H2O).This enzyme catalyzes the oxidation of phenolic compounds, which plays a crucial role in the browning of fruits and vegetables, impacting their flavor and shelf life.
Page 12
Michaelis–Menten Enzyme Kinetics (Intro)
Model: E + S ⇄ ES → P
E = free enzyme, S = substrate, ES = enzyme–substrate complex, P = product.
At equilibrium, [ES] is treated as constant, leading to standard MM derivation with rate equations.This model explains how the rate of product formation (P) is influenced by the concentration of the substrate (S) and the enzyme (E), which is crucial for understanding enzyme efficiency and reaction kinetics.
Summary of MM Parameters
Km indicates affinity; lower Km means higher affinity.
kcat is turnover number (s^-1).
Page 16
Types of Catalysis II: Homogeneous Catalysis
Definition: Both catalyst and reactants are in the same phase.
Page 17
Ozone Hole and Montreal Protocol
Montréal Protocol results: Ozone levels stabilized in the 1990s; recovery projected to pre-1980 levels by ~2075.
Page 18
Types of Catalysis III: Heterogeneous Catalysis
Distinction: catalyst and reactants in different phases (solid catalyst, usually gas-phase reactants).
Real-world example: Three-way catalytic converter in cars reduces emissions: CO, NOx, VOCs.
main focus
Page 19
Three-way Catalytic Converters
Objective: minimize CO, VOCs, and NOx emissions.
Components: reduction catalyst and oxidation catalyst, both on high-surface-area ceramic supports coated with Pt, Rh, and/or Pd nanoparticles (typical particle size < 10 nm).
Reduction catalyst: NOx reduction: 2NO → N2 + O2 or 2NO2 → N2 + 2O2.
Oxidation catalyst: oxidizes VOCs and CO: VOCs + O2 → CO2 + H2O; 2CO + O2 → 2CO2.
Page 26
What is a Surface?
A surface: region of a phase modified by proximity to an interface.
Surfaces underpin heterogeneous catalysis, adhesion, corrosion, flocculation, detergency, etc.
Heterogeneous catalysis, adhesion, corrosion, flocculation and detergency all involve chemical phenomena occurring at either a gas-solid or liquid-solid interface
Page 27
Surface Reactivity Origins
Solid surfaces are highly reactive due to steps, kinks, adatoms, dislocations, coordinative unsaturation, dangling bonds, and electron density protrusion.
General rule: surface reactivity increases as the coordination number (CN) of surface atoms decreases.
Page 28
Surface Structure of Metals and Planes
Metals used in catalysis are often active in finely divided or polycrystalline form.
The exposed surface planes determine reaction pathways; understanding surface plane composition is crucial.
Common metals are fcc, hcp, or bcc structures with low-index surfaces typically present.
Page 29
Importance of Exposed Surface Planes
To understand surface properties, we need to know the fraction of each surface plane exposed and their properties.
Macroscopic single crystals can be cut to expose specific planes; most metals adopt low-index planes.
In principle, therefore, we can understand the surface properties of any material if we
• know the amount of each type of surface exposed, and
• have detailed knowledge of the properties of each and every type of surface plane
Page 30
Crystallography: Structures and Planes
Common crystal structures: fcc (face centred cubuic), hcp (hexagonol close packed), bcc (body-centred cubic)
Each structure exhibits unique packing arrangements, affecting their catalytic behavior and reactivity.
Infinite possible planes, but practically limited to low-index surfaces.
For catalytic metals (Pt, Rh, Pd, Ag, Au), fcc is common.
Miller Indices: Surface Notation
For cubic structures (fcc), common planes: (111), (100), (110) with CN surface values.
Adsorption sites depend on geometry: on-top, bridging, hollow.
Reactivity order on fcc surfaces: fcc(111) < fcc(100) < fcc(110).

Page 35
Surface Notation and Adsorption Sites
On fcc surfaces, adsorption sites include on-top, bridge, and hollow (three types).
Adsorbate interaction with these sites influences adsorption energy and reactivity.
Page 39
Energetics of Solid Surfaces
All surfaces have a positive surface free energy (surface tension) because breaking bonds to create a new surface costs energy.
All surfaces are energetically unfavourable in that they have a positive free energy of formation
Surface energy minimization strategies:
Reduce exposed surface area.
Expose low-energy surface planes.
Reorganize atoms to lower surface energy.
Metastable surfaces can exist due to kinetic barriers (e.g., highly dispersed supported metal catalysts).
Page 40
Relaxation and Reconstruction of Surfaces
Relaxation: small, subtle rearrangements of surface layers to reduce surface energy; no change in surface periodicity.
Unrelaxed vs. relaxed: layer spacing perpendicular to surface changes; in-relaxation, dbulk > d1-2, etc.
Page 41
Reconstruction of Surfaces
Reconstruction: larger, atomic-scale rearrangements; can change surface periodicity and symmetry.
Common on less stable metal surfaces (e.g., fcc(110)) and abundant on semiconductors.
Detectable via surface diffraction techniques like LEED/RHEED due to periodicity changes.
Page 42
Adsorbate-Induced Reconstruction
Adsorbates can induce reconstruction by bonding strongly enough to alter surface periodicity.
In the case of many semiconductors, the simple reconstructions can often be explained in terms of a "surface healing" process in which the coordinative unsaturation of the surface atoms is reduced by bond formation between adjacent atoms
This process leads to a change in the surface periodicity: the period of the surface structure is doubled in one direction giving rise to the so-called (2x1) reconstruction
Page 43
Adsorbate-Induced Reconstructions and Examples
adsorabte-induced reconstruction: The reconstruction of a surface is frequently induced by the adsorption of molecular or
atomic species onto the surface
Adsorbate-induced reconstruction is favoured when adsorbate–substrate bonding competes with substrate–substrate bonding.
Page 45
Supported Metal Catalysts – Particulates
Definition: Metals dispersed on oxide supports; often sub-micron to ~1 nm particles.
Particle shape is driven by surface free energy and the desire to minimize surface area to volume.
Ideal equilibrium shape for fixed mass tends toward a sphere; for crystals, shapes like cubo-octahedra arise to balance low-energy surfaces (8×(111) and 6×(100)) with area considerations.
Surface atom coordination on exposed faces: CNs differ by face type (e.g., CN=9 on 111, CN=8 on 100, CN=6 at corners).
Page 46
Nanoparticle Facets and CN
Center atoms on {111} facets have CN = 9; center of {100} facets CN = 8; corner/intersections CN = 6.
The concept of achieving a balance between low-energy surface facets and minimized surface area shapes nanoparticle morphology.
Page 47
Metal–Support Interaction (MSI)
MSI is not always weak; strong MSI can lead to greater wetting of the support, increasing metal–support contact area and altering particle morphology.
In strong MSI cases, one should consider interfacial free energy with the support rather than treating the metal particle in isolation.
Page 48
Understanding MSI: Wetting and Contact Angles
Spreading of liquids (metal nanoparticles on oxide supports) can be analyzed via contact angle and interfacial tensions.
Surface tensions: γ (N m^-1) for liquids; solids also characterized by surface energy γ.
Spreading occurs if the solid–liquid interaction reduces the overall Gibbs free energy.
Page 49
Young’s Equation and Wetting
At the three-phase line (solid–liquid–vapour), interfacial tensions satisfy Young’s equation:

This relation explains how contact angle θ depends on interfacial tensions and substrate polarity.

Page 50
Wetting and Metal Nanoparticles on Oxide Supports
Contact angle and wetting behavior depend on substrate polarity and surface energy.
For metals on oxides, similar wetting concepts apply to nanoparticle dispersion and surface coverage.
Liquids with low surface tensions wet solids with high surface energies.
For a given liquid, the contact angle increases with decreasing substrate
polarity
Teflon is used for nonstick frying pan because it is a non-polar surface so any liquid will bead to minimize its interactions with the Teflon

Page 51
Metal Nanoparticle Catalysts – Size Effects
Nanoparticles exhibit unusual electronic/physical properties due to a high fraction of surface atoms.
Melting point depression: dcluster ≈ 0.0342n (n = number of atoms; dcluster in nm) and bulk Au mp ≈ 1064 °C.
melting point decreases at smaller particle diameters
Page 52
Au/TiO2 Catalysts and Plasmonic Properties
Au nanoparticles display surface plasmon resonance, leading to vibrant colours (purple/blue/red) depending on particle size.
Example: 1.5 wt% Au on TiO2 calcined at various temperatures (400, 600, 800 °C).
Colours come from localized surface plasmon resonance
as particle size gets bigger, the resonance moves to longer wavelengths resulting in more green colours coming into absorption
Page 54
Au Nanoparticle Shapes and Optical Properties
Transmission electron microscopy (TEM) shows shapes: spheres, decahedra, rods, etc.
Absorption spectra for different geometries: transverse plasmon resonance (TSPR) and longitudinal plasmon resonance (LSPR).
Example: Au nanorod absorption features across visible to near-IR.
nanoparticle shape is important
Page 55
Catalysis by Supported Nanoparticles: CO Oxidation (Example)
CO(g) + O2(g) → CO2(g) as a fundamental elementary reaction on supported metal nanoparticles.
Why use supported nanoparticles? High surface area, tunable facets, and enhanced activity/selectivity.
reaction rate per metal atom is very dependent on the size of (au) nanoparticles
more small nanoparticles = more periphery sites = more active sites for carbon monoxide oxidation to CO2

Page 57
Gas Adsorption on Solid Surfaces – Process Overview
Heterogeneous catalysis involves: diffusion of reactants toward surface, adsorption, surface diffusion to active sites, surface reactions, desorption of products, and diffusion of products away.

Page 58
Ethylene Hydrogenation on Pt(111) – A Case Study
Page 59

Useful Definitions: Adsorption Concepts
Adsorption: binding of gas-phase (or solution) molecules to a surface.
Adsorbate binds to the surface vs. Adsorbent (substrate) which is the surface.
Desorption: release of adsorbates.
Physisorption vs. Chemisorption:
Physisorption: weak van der Waals interactions; intact adsorbate; non-activated.
Chemisorption: true chemical bond formation; may involve dissociation; strong interactions.
Differences in energy:
Physisorption: low energy changes, reversible process.
Chemisorption: significant energy changes, often irreversible.
Page 60
fractional Coverage and Sticking Probability


Rate of adsorption depends on the ability of the surface to dissipate kinetic energy; energy dissipation is crucial for successful adsorption.
Page 61
sticking probability can be defined as the likelihood that a gas molecule will adhere to a surface upon collision, which is influenced by factors such as surface roughness, temperature, and the chemical nature of both the adsorbate and the substrate.
Observations: sticking probability decreases with coverage; plane orientation affects adsorption statistics (e.g., (110) often shows different behavior).

Page 62
Physisorption vs. Chemisorption – Dissociative Adsorption
Non-activated chemisorption vs. activated chemisorption (via activation barrier) is visualized in energy diagrams:

Dissociative adsorption generally more complex than nondissociative due to multiple bond-forming events.
Page 63
Physisorption Characteristics
Enthalpies: ΔHphys ≈ -20 to -40 kJ/mol; similar to condensation enthalpies.
Physisorption is non-activated and non-dissociative (does not break bonds).
Examples: H2 dissociation energies (Hdiss) for H2 ≈ 436 kJ/mol; N2 ≈ 945 kJ/mol; O2 ≈ 497 kJ/mol.
Page 64
Chemisorption Characteristics
Enthalpies: ΔHchem typically > -100 kJ/mol; strong enough to break some bonds and allow dissociation on surfaces.
Chemisorption often involves bond formation with substrate and potential fragmentation of adsorbates.
This energy is usually sufficient to break chemical bonds, and thus a chemisorbed molecule may dissociate into (reactive) molecular fragments. In this way surfaces catalyse reactions
Page 66
Enthalpies of Chemisorption and Catalytic Activity – C2H4 Hydrogenation (Volcano Plot Concept)
Example: Ethylene hydrogenation over various transition metals, with Rh showing high activity.
Concept: Volcano curve arises because optimal catalysts must adsorb reactants strongly enough to activate them but not so strongly that they are immobilized.
Page 68
Adsorption Isotherms – Background (θ vs p)
For physisorption: θ = Vads / Vmon, depends on pressure p.
Isotherm describes how θ varies with p at fixed T.

Kinetic information can be extracted from adsorption/desorption as a function of pressure.
The surface coverage (θ) depends strongly on the pressure (p) of the adsorbing gas. Increasing p will increase θ and vice versa
The variation in θ with pressure p at a fixed temperature is called an
adsorption isotherm.
Page 69
Measurement Methods for θ
Methods include:
Flow methods (change in uptake rate dθ/dt from gas flow differences).
Flash desorption (heat sample and monitor pressure rise).
Gravimetric (weigh before/after exposure).
Radioactive tracers (isotopically labelled gases).
Isotherms: Langmuir (Non-dissociative physisorption and dissociative
chemisorption) and Brunauer, Emmett & Teller (BET) (Multilayer Physisorption) isotherm
Page 70
Langmuir Adsorption Isotherm – Non-dissociative Physisorption

R is reactant
M is an unoccupied adsorption site
RM is an occupied adsorption site
ka is the rate constant for adsorption
kd is the rate constant for desorption
Assumptions:
Monolayer coverage only.
All adsorption sites equivalent.
Adsorption at one site independent of neighboring sites.
Page 71
Langmuir Isotherm (Mathematical Details)
With these approximations, the rate of change of θ with respect to time (i.e. dθ/dt) will depend on the relative rates of adsorption and desorption


Page 72
Langmuir Isotherm – Linear Plot for Parameter Determination
increase pressure should mean increase adsorption until eventually we reach monolayer coverage

Page 77
Dissociative Langmuir Isotherm – Derivation Outline

Page 78
Comparison: Non-Dissociative vs. Dissociative Adsorption
Key takeaway: Dissociative adsorption shows weaker pressure dependence than nondissociative adsorption, reflected in the different mathematical forms of the isotherms.

Page 79
Surface Areas from Gas Adsorption Isotherms
Specific surface area As can be calculated from BET/adsorption data.
General formula:

n = number of moles of adsorbate in a monolayer
N_A = Avogadro's number
σ = cross-sectional area of the adsorbate molecule (e.g., N2 ≈ 0.162 nm^2)
m = sample mass (g)
This provides a practical route to determine surface area from gas adsorption experiments.
Page 80
BET Adsorption Isotherm – Multilayer Physisorption
If the first adsorbed layer acts as a substrate for additional adsorption, multilayer adsorption occurs.
BET theory extends Langmuir to multilayer adsorption with the following assumptions:
The same adsorption assumptions as Langmuir but allows multilayer adsorption.
The second layer adsorbs only on the first layer, the third on the second, etc.; when p = p*, infinite layers form.
The heat of adsorption for additional layers equals the latent heat of condensation.
At equilibrium, condensation and evaporation rates are equal for each layer.
p* represents the vapor pressure above the multilayer and is analogous to bulk liquid vapor pressure.
water activity = %relative humidity/100
Page 82
BET Equation Form and Linearization

In this expression, p* is the vapour pressure above the multilayer of adsorbate and which resembles a pure bulk liquid, and c is a constant.

Page 84
BET Data Analysis (Continued)
Relationships:
slope = (c − 1)/ (c V_mon)
intercept = 1 / V_mon
Calculation yields c ≈ 302.5 and V_mon ≈ 815 cm^3 (at STP) for the TiO2 sample.
Resulting surface area estimation from V_mon and molecular area (0.162 nm^2 for N2) leads to a specific surface area around 356.4 m^2 g^-1.
z is partial pressure, c is constant
inert gas as adsorbing gas

Practical Use of BET in Industry
The BET method is widely used by surface-area analyzers.
Procedure: Room-temperature gas is not used; typical analysis uses cryogenic adsorption (77 K) with nitrogen as adsorbate.
Steps: measure monolayer volume, convert to surface area per gram of sample.
Page 88
Adsorption Isotherm Classification (I–VI)
Type I: Characteristic of chemisorption isotherms or physisorption in materials with micropores (e.g., charcoal).
Type II: Macroporous materials with strong adsorbate–adsorbent interactions.
Type III: Macroporous materials with weak interactions.
Type IV: Hysteresis due to capillary condensation; multilayer adsorption with mesopores. Staged adsorption (first monolayer then build-up of additional layers) with capillary condensation
Type V: Multilayer adsorption with capillary condensation (different pattern than IV).
Type VI: Isotherm with more than one step; multiple adsorption events.
Porosity classifications:
Microporous: pore diameter < 2 nm
Mesoporous: 2–50 nm
Macroporous: > 50 nm
hysteresis is when adsorption and deabsorption rates aren’t the same due to the bottleneck/carpark effect - easy to fill a pore, harder to empty, need higher pressure

Page 89
Adsorption Isotherms and Pore Size
In pores, adsorption and condensation can occur at pressures below bulk condensation due to capillary effects.
Page 90
MOFs – Metal–Organic Frameworks
MOFs are crystalline porous materials with metal nodes linked by organic connectors.
They feature well-defined microporosity or mesoporosity depending on linker size.
High surface areas; used for gas storage and selective separations.
Example MOFs: Mg-MOF-74 (surface area ≈ 1500 m^2/g; 1D hex channels; pore width 1.1–1.2 nm).
Page 94
Isosteric Enthalpy of Adsorption (ΔH_ads)
Relationship: ΔGads = −RT ln K; ΔGads = ΔHads − T ΔSads.
Isosteric enthalpy can be determined via temperature dependence of adsorption: use van’t Hoff-like relations.
For Krypton on a solid (Langmuir-type example): ΔH_ads can be extracted by plotting ln K vs 1/T at fixed θ.
adsorption is usually exothermic


Page 95
Temperature Dependence of K (Van’t Hoff-like Analysis)
From Langmuir form Kp/(Kp + 1) = θ/(1−θ), taking ln on both sides and differentiating with respect to T yields a route to ΔH_ads.
The slope of ln K vs 1/T gives ΔH_ads/R values at fixed θ.

Page 96
Practical Isosteric Enthalpy Analysis
the amount of gas adsorbed at a particular pressure decreases with temperature
Page 97
Adsorption: Applications and Importance
Adsorption as a purification method: selective adsorption to separate components from mixtures using porous solids (activated carbon, silica gel, activated alumina, zeolites, molecular sieves).
Regeneration strategies: temperature swing, pressure swing, inert/purge stripping.
Adsorption as a purification method. A gaseous component can be
separated from a mixture if it selectively adsorbs onto a porous solid surface, such as:
• activated carbon (adsorbs organics)
• silica gel (adsorbs moisture)
• activated alumina (adsorbs moisture)
• zeolites and molecular sieves
• synthetic resins
When a bed nears saturation, the flow is stopped and the bed is regenerated to cause desorption. The adsorbate can thus be recovered and the adsorbent reused. Regeneration can be accomplished in several ways,
• temperature swing
• pressure swing
• inert/purge stripping
Page 98
Adsorption: Applications and Importance (Chemisorption)
Chemisorption can be used to measure surface area and metal dispersion: a quantitative chemisorption measurement gives available metal surface area and dispersion if the stoichiometry is known (e.g., 2 Pt + H2 → 2 Pt–H).

only the metal will react which means we can tell if the pores have low or high dispersion
Page 99
Adsorption: Applications – Reaction Microkinetics
Visualization of catalytic steps: adsorption/desorption are physical steps; chemical steps include adsorption/activation and surface reactions that constitute microkinetics.
The macro-kinetics of a reaction depend on transport, adsorption, surface reactions, and diffusion steps.

Page 100
Adsorption and Catalysis – Mechanistic Views
Heterogeneous catalysis commonly involves at least one chemisorbed reactant undergoing modification to a reactive form, followed by diffusion and surface reaction steps.
Three major mechanisms:
Langmuir–Hinshelwood (LH)
Eley–Rideal (ER)
Mars–van Krevelen (MvK)
Page 101
Transition State Model of Catalyst Activity
Concept: energy profile along reaction coordinate with distinct contributions:
ΔE_hom: energy of the homogeneous (?) transition state
ΔE_ads: adsorption energy of reactants on surface
ΔE_des: desorption energy of products
ΔE_het: energy barrier for surface reaction (RDS)
In LH kinetics, adsorption/desorption are fast; surface reaction is rate-determining (RDS) with ν = k θ_A or a combination depending on steps.

Page 102
Langmuir–Hinshelwood Mechanism – Unimolecular (A(g) → B)
Adsorption of A on the surface precedes conversion to product B (A(ads) → B).
Reaction occurs uniformly across the surface; products desorb weakly.
Rate expression under Langmuir adsorption: ν = k θA with pA as the gas-phase pressure and θ_A as fraction of sites occupied by A.
General LH rate: ν = (k pA K)/(1 + K pA) for a simple case (illustrative form).
Page 103
LH in Limiting Cases (Unimolecular Reactions)
Low pressure / weak binding (Kp ≪ 1):
Rate ≈ k Kp pA; surface coverage is low; first-order in p_A.
High pressure / strong binding (Kp ≫ 1):
Rate ≈ k; surface coverage ~ 1; rate becomes independent of pA (zero-order in pA).

Page 104
LH Mechanism – Bimolecular (A(ads) + B(ads) → Product)
Reaction occurs between two adsorbed species on adjacent sites; LH bimolecular step.
When expressed in terms of partial pressures with Langmuir isotherms for adsorption, the rate can be written as a function of pA and pB using adsorption constants.

Page 105
LH vs ER – Rate Expressions and Site Coverages
LH bimolecular case: ν ∝ θA θB, often leading to a second-order dependence on surface coverages.
If A and B compete for the same sites, expressions include Kp terms and θ dependences; the rate can be rearranged into a function of partial pressures using Langmuir isotherms.
If adsorption is non-dissociative, the Langmuir isotherm for each species can be used to derive rate laws.
Page 106
LH Mechanism – Examples (CO + O2 on Metals)
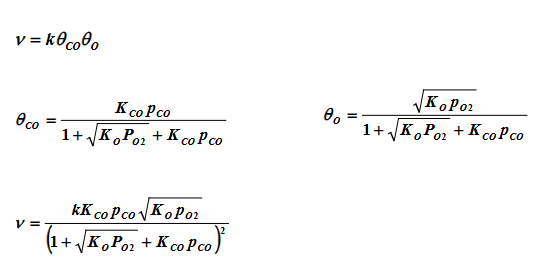
Example: CO(g) + 1/2 O2(g) → CO2(g) on metal surfaces; a common LH example where CO adsorbs molecularly and O2 adsorbs dissociatively; rate depends on θCO and θO via isotherms.
Adsorption equilibria: CO and O2 compete for sites; expressions combine K_p terms and θs to yield rate laws.

Page 107
Eley–Rideal Mechanism
Gas-phase molecule A(g) reacts with adsorbed species A(ads) or B(ads) on surface.
Rate: ν = k θA pB (for A adsorbing and reacting with B in surface).
In the ER model, adsorption of A may be small, but the reaction occurs via direct collision with adsorbed species.
If adsorption of A is significant and follows Langmuir adsorption, rate expressions can reduce to first-order in p_B under certain limits.
molecule a is adsorbed and molecule b is a gas
collisional reaction


Page 108
ER – Quantitative Forms and Limiting Cases

When the partial pressure of A is high (KApA >> 1), there is almost complete surface coverage, and thus ν = kpB (overall kinetics first order).
When the partial pressure of A is very low (KApA << 1), now the extent of surface coverage of A is important in determining the reaction rate. ν = kK ApApB
Page 109
Diagnosis of Mechanisms via Coverage Dependence
Diagnostic behavior of rates vs. surface coverage:
Eley–Rideal: rate increases with A coverage, until saturation.
Langmuir–Hinshelwood: rate may show a maximum and then decrease as A occupancy blocks sites; rate can go to zero if the surface becomes fully covered by A.
Practical implication: experimental plotting of rate against θ_A helps distinguish LH from ER.

Page 110
Mars–van Krevelen Mechanism (MvK)
Common in oxidations on metal oxides (e.g., CO oxidation).
Mechanism: CO reacts with lattice oxygen to form CO2; oxide lattice becomes reduced (oxygen vacancies) and must be replenished by O2 activation in a subsequent step, often at defect sites.
Schematic: CO + O_(lattice) → CO2 + vacancy; O2 activation regenerates lattice oxygen.
Emphasizes lattice oxygen mobility and oxide redox chemistry in catalysis.

Page 112
Catalytic Reaction Processes and Reactor Types
Catalytic reactions can be run in different modes:
Batch reactors: reactants and catalysts combined; conditions controlled to reach desired conversion.
Continuous reactors: steady-state operation; feed rates determine conversion and throughput.
Considerations include temperature, pressure, mass/heat transfer, catalyst loading, and reactor design.
Page 113
Selecting the Best Catalyst – Key Metrics
Activity: molar convert rate per unit time; good dispersion and high surface area are desirable.
Conversion: fraction of reactant transformed per reactor pass.
Selectivity: moles of desired product per mole of reactant converted.
Yield: conversion × selectivity.
Lifetime: time before deactivation; resistance to poisons, thermal stability, hydrolysis, attrition and impurities.
Cost: production and deployment costs; catalyst cost is a fraction of total production cost.
Page 115
Catalyst Preparation – Key Considerations
Desired catalyst properties:
High and stable activity and selectivity.
Controlled surface area and porosity.
Resistance to poisons and temperature variations; mechanical strength; safe handling.
Manufacturing decisions:
Supported vs. unsupported catalysts.
Shape of pellets (cylinders, rings, spheres, monoliths) affects void fraction, diffusion, flow, and mechanical strength.
Pellet size influences diffusion; smaller pellets improve mass transfer.
Oxide-based catalysts are often activated by reduction in H2 within the reactor.
Page 116
Catalyst Composition and Roles
Active phase: where reaction occurs (often metal or metal oxide).
Promoter: textural (e.g., Al for NH3 production) or electronic/structural modifiers; prevents poisoning.
Support/carrier: adds mechanical strength and increases surface area; may or may not be catalytically active.
Page 119
Studying Adsorption and Reaction on Solid Surfaces – Surface Sensitivity
Surfaces are studied with surface-sensitive techniques to focus on near-surface atoms.
Bulk techniques average over entire sample; surface techniques emphasize surface layers.
A key criterion for surface studies: IA/IB ≫ 10^-5 (surface signal is dominant).
a surface sensitive technique is more sensitive to those atoms
which are located near the surface than it is to atoms in the bulk
Page 120
Clean Surfaces and Vacuum Conditions
Surface studies require clean surfaces, typically under ultra-high vacuum (UHV) to avoid contamination and interference.
Surface cleanliness time depends on gas flux, target monolayer coverage, and sticking probability;
Practical: at high flux and ambient conditions, surfaces contaminate quickly; UHV is essential for long-duration measurements.

Page 122
Surface Analytical Techniques Overview
Techniques listed: Temperature Programmed Desorption (TPD), HREELS, RAIRS, STM, and XPS.
These methods provide complementary information about adsorption, vibrational modes, surface structures, and composition.
Page 123
Temperature Programmed Desorption (TPD)
Experimental setup:
Adsorbates are placed on the surface at low temperature (often ~300 K).
Surface is heated with a controlled (often linear) ramp while monitoring gas phase species via mass spectrometer.
Data interpretation: peak area ∝ initial surface coverage; peak temperature relates to adsorption enthalpy.
Example mechanism for formic acid on Cu surface shown with multiple desorption peaks indicating intermediates.

Page 124
Activated Dissociation of O2 on Pt(111) – TPD Interpretation
The area under a peak is proportional to the amount originally adsorbed, i.e. proportional to the surface coverage.
The position of the peak (the peak temperature) is related to the enthalpy of adsorption, i.e. to the strength of binding to the surface
Page 126
RAIRS – Reflection Absorption Infrared Spectroscopy
RAIRS uses specular reflection from a metal surface to study adsorbates; grazing incidence enhances sensitivity.
Surface dipole selection rule: only vibrational modes producing a dipole perpendicular to the surface are IR-active.

Page 128
CO Adsorption on Metals – RAIRS Observations
CO on metal surfaces displays strong C–O stretching vibrations; frequencies depend on adsorption site:
Terminal CO: ~2090 cm^-1
Bridging CO: ~1870 cm^-1 (or lower depending on site)
Backbonding from metal d-orbitals into CO π* orbitals weakens C≡O bond, lowering stretch frequency relative to gas-phase CO (2143 cm^-1).
Page 129
CO Adsorption on Surfaces – Mode Assignments (Illustrative Fig)
Six eigenmodes of CO on a bridging site (C2 symmetry) shown; only CO stretch is a genuine gas-phase mode.
Other modes are surface hindered translations/rotations; frequencies are guide values.
three vibrational modes and three rotational modes. for vibrational modes of non-vibrational, its 3N-6. for linear its 3N-5. can’t do this on a surface, because of the hindered vibrational modes so it’s only 3N

Page 134
High Resolution Electron Energy Loss Spectroscopy (HREELS)
HREELS uses inelastic scattering of low-energy electrons to measure vibrational spectra on surfaces under UHV.
The energy loss ΔE corresponds to vibrational quanta of adsorbates.

On striking the surface, electrons may be elastically scattered (E = Eo), or undergo discrete energy losses ΔE = (Eo - E), equal to the vibrational quantum (i.e. the energy) of the vibrational modes of the adsorbate excited in the inelastic scattering process
in off-specular geometry, all vibrational modes are excited
ONLY MODES WHICH HAVE A DIPOLE MOMENT CHANGE PERPENDICULAR TO THE SURFACE WITHH BE EXCITED
Page 135
HREELS Selection Rules
Surface selection rules: For metallic substrates and a specular geometry, only those vibrations giving rise to a dipole change normal to the surface can be observed.
By contrast, in an off-specular geometry, loss features are relatively weak but all vibrations are allowed and may be observed
Page 139
Scanning Tunneling Microscopy (STM) – Basics
STM allows imaging of surfaces at atomic scale, visually resolving individual atoms.
Principle: tunneling current between a sharp tip and surface, modulated by tip–surface distance.
Tip bias controls electron flow direction; positive tip bias leads to electrons tunneling from tip to sample in the described setup.
image conductive surface and see what happens when we adsorb things into a surface
STM images not only display the geometric structure of the surface, but also depend on the electronic density of states of the sample
hydrogen doesnt show up in tunneling so shows up as a black ‘hole’

Page 140
STM Imaging Principles
To image, the tip scans, maintaining a constant tunneling current by adjusting height (z) as a function of lateral position, plotting height vs. lateral position to create an image.
The STM tip is mounted on a piezoelectric tube; minute movements are produced by voltage changes.
STM images reflect both geometric arrangement and electronic density of states.
Page 142
Dissociative O2 Adsorption on Al(111) – STM View
On Al(111), O atoms appear as dark spots due to lack of tunneling current.
Observations show O atoms migrate across the surface after dissociation to reduce energy via diffusion and clustering
Page 145
STM Visualization of Molecules on Surfaces
STM can image adsorbed molecules like benzene and pentacene on graphene; even visualize vacancies in monolayers.
Demonstrates the precision of STM in identifying surface intermediates in reactions.
Page 146
Naphthalocyanine on Graphite – STM Image & Analysis
Constant-current STM images reveal monolayer order, vacancies, and molecular orientation.
Inset shows molecular structure; second panel demonstrates azimuthal orientation analysis.
Page 147
X-ray Photoelectron Spectroscopy (XPS) – Basics
XPS uses photoelectric effect with X-ray photons (e.g., Mg Kα, Al Kα) to eject core/valence electrons.
Binding energies (BE) provide chemical state information and elemental composition.
Kinetic energy relation: KE = h
u - BE - ext{work function}
Page 148
XPS – Instrumentation and Surface Sensitivity
XPS requires UHV to avoid contamination, arcing, and to maximize electron mean free path.
The surface-sensitive measurement probes only near-surface region (surface depth typically ~3 IMFPs).
Page 149
XPS Spectrometer - Photoemission Core Concepts
Core-level electrons vs. valence electrons; photoemission kinetic energies reflect BE and chemical state.
Auger emission can accompany photoemission; X-ray fluorescence is another relaxation pathway.

electrons with low kinetic energies will hit the left side because they were pulled in by the inner positive sphere. if they have high kinetic energy, they hit the right sound and follow the path closer to the outer negative sphere
Page 150
Fate of the Core: Auger vs. X-ray Emission
Core-hole relaxation can occur via Auger electron emission or characteristic X-ray emission (Kα, Kβ lines).
electrons from higher levels will drop down to fill in the removed electron. an auger electron
Page 151
Bulk Techniques: XRF (X-ray Fluorescence)
XRF detects characteristic X-rays emitted by elements; bulk-sensitive technique complementary to surface-sensitive XPS.
Page 152
BE Shifts and Relaxation Processes
Core-level BE shifts depend on chemical environment and oxidation state; reference standards are needed for interpretation.
Page 153
XPS and Surface Sensitivity (Depth Profiling Concept)
Inelastic mean free path (IMFP) λ defines information depth; typical XPS depth ≈ 3λ.
The universal curve provides IMFP vs. kinetic energy for various materials.
Distance electron can travel in solid depends on (i) material and (ii) electron KE Loss processes (inelastic scattering) reduce KE and can prevent the photoelectron (and Auger electrons) escaping from surface:
Page 154
IMFP Calculations
Example: At KE = 100 eV, IMFP ≈ 0.554 nm; information depth ≈ 1.66 nm.
At KE = 1000 eV, IMFP ≈ 1.708 nm; information depth ≈ 5.12 nm.

Page 156
Spin–Orbit Splitting (SOC)
SOC in core-levels leads to doublets: e.g., 2p, 3d, 4f core-levels split into multiple BE peaks.
These features help identify elemental oxidation states and chemical environments.
degeneracy: 2j+1



Page 158
XPS – Quantitative Analysis
Relative concentrations can be determined via peak intensities and sensitivity factors S:
C = rac{I / S}{\u00a0 extstyle \, ext{sum over all elements}}Output is often given as atomic percent (at%).
Page 159
Relative Sensitivity and Quantification (Continued)
A chart lists relative sensitivities of elements for XPS, guiding quantitative interpretation.
Page 161
XPS – Case Study: Ni–Cu Alloy (Quantification Example)
Demonstrates how to read peak areas and apply sensitivity factors to deduce composition.

Page 163
Origins of Binding Energy Shifts – Conceptual View
Binding energy depends on electron–nucleus attraction, electron–electron repulsion, screening, and Fermi level alignment.
Shifts can indicate both elemental identity and oxidation state changes.\
Page 170
Hydrogen Economy – Ethanol Steam Reforming (Catalyst Systems)
Ethanol steam reforming (ESR) to H2 and CO2; catalysts include Rh–Pd on CeO2 (bimetallic, interface sites).
General reaction: CH3CH2OH + 3 H2O → 6 H2 + 2 CO2; ΔH° ≈ +173 kJ/mol.
Insights: Rh–Pd/CeO2 catalysts show high activity with low metal loading; active sites often at the Rh/Pd–Ce interface; catalyst activation occurs during reaction.
Page 171
Temperature-Dependent Ethanol Reforming (Experimental Data)
Temperature–volume percent data for H2, CH4, CO2, CO, etc., under different flow/regimes.
Regions: I (dehydrogenation to acetaldehyde and H2), II (methanation path), III (full reforming to CO2 and H2).
Observed selectivity and conversion dependent on temperature and catalyst loading.
Page 172
XPS in Ethanol Reforming Studies
XPS data for Rh/Pd on CeO2 after reforming_cycle shows oxidation state changes and possible alloy formation during activation.
Near-surface chemical states monitored during reaction.
Page 173
Angle-Resolved XPS (ARXPS)
Method: Tilt sample relative to analyzer to enhance surface sensitivity (θ = 15° increases surface sensitivity by approximately 4×).
Trade-off: higher surface sensitivity reduces signal, needing longer acquisition times.

Page 178
XPS – Summary: Pros and Cons
Advantages: non-destructive, quantitative elemental composition, chemical state information, shallow information depth (~20–100 Å), sensitivity ~0.1% ML.
Disadvantages: expensive instrumentation (> ~$1,000,000), requires UHV, surface charging issues for insulators, cannot detect H and He.
Page 179
Case Study – Fischer–Tropsch Syntheses (FTs)
FT reactions: syngas (CO + H2) → hydrocarbons (CnH2n+2) and H2O using metal catalysts at 150–300 °C and 1–20 atm.
General reaction: (2n+1) H2 + n CO ightarrow Cn H{2n+2} + n H2O
Page 180
ASF Distribution in Fischer–Tropsch Chemistry
Product distribution follows Anderson–Schulz–Flory (ASF):
Wn = n(1- au)^2 au^{n-1} ext{ or } \, ext{log}(Wn/n) = n \, ext{log} au + ext{log}[(1- au)^2 au]τ is the chain-growth probability; aiming for τ ≈ 0.7–0.8 to favor liquid (C10–C20) fuels.
Page 181
Photothermal Catalysis – Concept Diagram
Driving forces include photochemical processes (LSPR) and thermal activation (photothermal effects) with energy transfer pathways: direct energy transfer (DET), resonant energy transfer (RET), chemical interface damping (CID).
Shows integration of photonics and catalysis (PTC) including metal–oxide interfaces (Rh/Al2O3, etc.).
Page 182
Photothermal Catalysis: Case Studies
Photothermal CO hydrogenation to C5+ liquids with Ru1Co single-atom alloy (SAA) on Al2O3 via UV illumination under ambient pressures.
Demonstrates light-assisted catalysis enabling high selectivity to C5+ fuels under mild thermal conditions.
Page 184
Catalyst Synthesis and Characterization – Spectroscopic Data
UV–Vis diffused reflectance spectra show strong light absorption in UV/visible, correlating with photocatalytic activity.
Page 185
Photothermal Catalysis – Heating Profiles (Experimental)
Representative heating profiles under UV–Vis irradiation; demonstrates how light exposure translates to catalyst heating and catalytic activity.
Page 186
Photothermal Catalysis – Selectivity and Temperature Profiles
Ru1Co-SAA demonstrates outstanding selectivity to C5+ liquids under solar irradiation at ~200 °C and low pressures.
Reaction: (2n + 1) H2 + n CO ightarrow Cn H{2n+2} + n H2O
Page 187
Product Analysis – Gas/ Liquid Phase Products
Gas-phase GC shows distribution of hydrocarbons; liquid products extracted in cyclohexane show C8–C16 hydrocarbons, consistent with jet-fuel-range products.
Page 188
Module Summary
Reiterates core topics covered in the module:
Crystal and electronic surface structures.
Adsorption/desorption and Langmuir/BET isotherms.
Surface reaction models (LH, ER, MvK).
Structure–reactivity relationships and catalyst fabrication/testing.
Modern surface science techniques (TPD, RAIRS, HREELS, STM, XPS) for catalyst characterization, mechanism elucidation, and working-catalyst assessment.
Case studies highlighted to connect theory to industrial relevance and environmental challenges.
Closing thanks and acknowledgement of participation.
Key Formulas (summary):
Langmuir Isotherm (non-dissociative):
heta = rac{K p}{1 + K p}, \ V{ads} = V{mon} heta = V{mon} rac{K p}{1 + K p} Linear form: plotting rac{1}{V{ads}} ext{ vs } rac{1}{p} yields slope = rac{1}{K V{mon}} and intercept = rac{1}{V{mon}}.Dissociative Langmuir Isotherm (qualitative form): heta ext{ vs } p ext{ follows a weaker } p ext{ dependence than nondissociative case; often involves } heta = rac{ ext{something like } rac{K p}{1 + ext{something}}}{ ext{denominator}} ext{ with sqrt(p) behavior in simple cases.}
BET Isotherm (multilayer physisorption) – standard forms and linearization to obtain V_mon and c (via slope/intercept in the BET plot):
Basic form and rearranged linear form (as shown in slides).
Michaelis–Menten kinetics:
V = rac{V{max} [S]}{KM + [S]}, \ KM = ext{substrate concentration at } rac{1}{2} V{max}, \ k{cat} = rac{V{max}}{[E]{tot}}, \ ext{Catalytic efficiency} = rac{k{cat}}{K_M}Isosteric enthalpy of adsorption (ΔHads) from van’t Hoff analysis: rac{d \, ext{ln} K}{d(1/T)} = - rac{ ext{Δ}H{ads}}{R}
Surface area from BET:
As = rac{n NA \, ar{ ext{σ}}}{m}
where n = moles adsorbed in monolayer, N_A = Avogadro’s number, σ = cross-sectional area of adsorbate, m = sample mass.
If you’d like, I can export these notes as a PDF or provide page-by-page flashcards for rapid review. You can also tell me if you want me to emphasise specific sections (e.g., LH vs ER mechanisms, XPS interpretation, or BET analysis) for exam-prep.




