Kinematics (graphs and equations of motions) and Mechanical energy. Work/Energy Notes
explaining terminology
distance
obvious
displacement
direction and movement. Think vectors
definition → the length and direction of the straight line joining the start and end point of an objects motion
vectors → past section
speed
object in motion covers certain distance in given time. → how fast
Average speed
varies
average speed = total distance covered/time taken
m.s-1
instantaneous speed
speed at specific moment
average speed for a short time interval
velocity
speed is a scalar, velocity is a vector

velocities in pos. direction = positive
velocities in neg. direction = negative
you choose which direction is pos and neg
average velocity and instantaneous velocity
distinction, same as speed
when its just speed or velocity, its assumed instantaneous unless stated otherwise
acceleration
vector
speed and direction changes change velocity
motion with changing velocity = acceleration
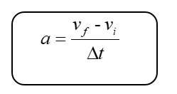
def → rate of change in velocity
acceleration = change in velocity/time taken
m.s-2
either negative or positive

skipping ticker timer stuff, cba
Graphs of Motion
Displacement/Time (non vector would be distance/time/ All that changes is vectors become scalars)
gradient/m = velocity (think of formula)
area = nothing
v = Δx / Δt
v → velocity
x → change in displacement
t → change in time
increase in displacement (x) → v = + (right)
decrease in displacement (x) → v = - (left)
displacement = 0 → v = 0 (rest, direction change)
if acceleration is concave down its negative and vice versa (same as maths)

1) Constant velocity
2) positive acceleration
3) negative acceleration
Velocity/time (non vector is speed/time)
gradient/m = acceleration (think of formula)
area under = displacement
a = v/t = 0m.s-2
a = acceleration (m.s-2)
v = velocity (m/s)
t = time (s)

1) constant velocity
2) positive acceleration
3) negative acceleration
Acceleration time
gradient/m = jerk (not doing this, ignore it)
area under = change in velocity (vf - vi)
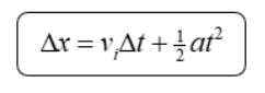
a.t = (change) v
vf = vi + a.t
Equations of motion


points to note
1) only apply to recticilinear motion (motion in a straight line)
2) always state a direction which is positive as all quantaties apart from time are vectors. First movement direction usually the positive
3) starting from rest or brought to rest means v = 0 m.s-1
4) velocity increasing = a is pos, velocity decreasing = a is negative
5) most problems want you to use what variables you know to find unknown
list known variables (i do this mentally)
decide on equation
remember to write the equation b4 substitution
rearrange to make unkown subject
questions
1) a body is travelling at 30 m/s is decelerated by 3 m/s. calc.
a) distance travelled

take the forward direction as positive
x = 30.8 + 1/2(-3)(8)²
= 144 m
Gravity and Mechanical energy
gravitional force
all options have force between them → gravity
size of mass and distance
earths surface → 10N.kg-1
acceleration due to gravity
speed determined by air resistance if force is same (on earth)
both would fall with the same downward acceleration of 9,8m.s-2 if no air resistance
for each second they fall, increase by 9,8m.s-2
therefore g → gravitional field strength (10N.kg-1) and acceleration due to gravity
weight
earths gravity on an object
Newtons
1kg → 9,8N
greater mass = greater weight
mass is a measure of how many particles there are in your body, it does not change based on location
weight is pull of gravity on body, depends on planet
w = mg
weight = mass x g
equations of motion applied to free fall
expercience accelerated motion, following formulas apply
things to note
time taken to rise = time taken to fall
at any height, measured from point of project, upward velocity = downward velocity
if object falls from rest, vi = 0m/s
choose motion of direction as positive
upwards, everything is positive aprt from g which is negative
downward motions, all positive

work/energy notes
gravitational potential energy
energy stored in an object based on its vertical position
dependent on
mass of object
height
more massive = greater
higher = greater
equation
gravitational potential energy (J) = mass (m) x gravity (10 m.s-2) x height (m)
Ep = mgh
energy is measure in joules
scalar quantity
Kinetic energy
energy it has due to motion
all moving objects have kinetic energy (because they are moving)
the prerequisite is that it need to have mass and velocity for the following formulas to apply
kinetic energy = ½.m.v2
Ek = ½.m.v2
Mechanical energy
mechanical energy → able to do work
enables an object to apply force to another
it can be kinetic, potential (including gravitional potential) or a combination of the two
Conservation of mechanical energy
energy changed form → transformed. during, tot energy stays same
the law of conservation of energy → energy cannot be created or destroyed; it may be transformed from one form to another.
abscence of friction only thing considered is potential and kinetic
kinetic + potential = the same always (total mechanical energy)
total mechanical energy never exceed potential energy maximum or kinetic energy at point of impact (maximum energy)
you have to do calculation at top and bottom for some