Thermal Energy, Endothermic and Exothermic
Celsius, Fahrenheit, and Kelvin Formulas
- Celsius to Kelvin: 0°C + 273.15 = 273.15K
- Celsius to Fahrenheit: (0°C × 9/5) + 32 = 32°F
- Water freezes at 0°C and boils at 100°C * You can convert to K and °F easily from there
Difference between temperature and thermal energy
- Temperature is a measure of the average kinetic energy of moving particles of matter
- Thermal energy is a measure of the total kinetic energy of moving particles of matter * Kinetic energy is a measurement of movement; anything that moves has kinetic energy * The slower the particles are moving, the less kinetic energy they have, therefore the less thermal energy they have
- A 20 gallon tub of water at 30°C has a lower temperature than a drop of water at 50°C
- However, the same tub has higher thermal energy than the same drop of water because its mass is larger
Thermal energy depends on:
- mass
- temperature
- number of particles

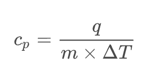
Specific Heat - the amount of energy needed to raise the temp. of 1 g of a substance by 1°C
- Different for each substance
- Specific heat of liquid water - 4.186 J/g°C * one thermochemical (small/lowercase) calorie is also equal to 4.186 Joules
Formula°C
- heat (J) = specific heat (J/g°C) × mass (g) × temp. change (°C)
- ]]Don’t forget to convert the units in practice problems]]


\ Sample Problem


Vocabulary
system - a specified portion of matter in a given region of space that has been selected for study during an experiment or observation * usually where a chemical reaction is taking place; the reactants and products of a chemical reaction
surrounding - the area around the system; everything but the system itself
endothermic - absorbing heat
exothermic - releasing heat (exo = exit)
\ How many Joules are in one…
| UNIT | AMOUNT |
|---|---|
| Joule | 1 J |
| calorie (small) | 4.184 J |
| Calorie (large/kilocalorie) | 4184 J |
| kilowatt/hour | 3.6 × 10⁶ J |
Example: convert 10 calories (small) to Joules
1 calorie = 4.184 J
10 calories = 41.84 J
Example 2: convert 4184 Joules to calories (small)
4184/4.184 = 1000 calories
\ Molar mass
- Example: the molar mass of Substance 1 is 10 g/mol. How many grams are in 2 moles of Substance 1? * The answer is 20 g. Multiply the # of moles given by the molar mass (2 moles * 10 g/mol = 20 g).
\