Ecology Exam 1 (copy)

0.0(0)
Studied by 1 person
call kaiCall Kai
learnLearn
examPractice Test
spaced repetitionSpaced Repetition
heart puzzleMatch
flashcardsFlashcards
GameKnowt Play
Card Sorting

1/100

flashcard set

Earn XP

Description and Tags

Last updated 2:20 AM on 1/31/23
Name
Mastery
Learn
Test
Matching
Spaced
Call with Kai

No analytics yet

Send a link to your students to track their progress

101 Terms

1
New cards
Ecology
The study of the interactions of organisms with one another and with their environment

The study of the distribution and abundance of organsism
2
New cards
Evolution
Change in population’s gene pool over time

\
science of the origins of biological diversity and its distribution
3
New cards
Ecological systems
1) individual

2) population

3) community

4) ecosystem

5) biosphere
4
New cards
Individual
most fundamental unit of ecology
5
New cards
species
individuals that are capable of interbreeding or share genetic similarity
6
New cards
Population
individuals of the same species living in a particular area and interbreeding.​
7
New cards
Community
Populations of species living together in a particular area.​
8
New cards
Ecosystem
one or more communities of living ​organisms interacting with their nonliving ​physical and chemical environments.​ ( community+ physical and chemical environment= ecosystem)
9
New cards
Biosphere
all ecosystems on earth
10
New cards
Individual approach
Understands how **adaptations**, or characteristics of an individual’s morphology, physiology, and  behavior enable it to survive in an environment.​
11
New cards
Populations approach
Examines variation in the number, density, and composition of individuals over time and space.​
12
New cards
community approach
Understands the diversity and interactions of organisms living together in the same place.​
13
New cards
ecosystem approach
Describes the storage and transfer of energy and matter.​

14
New cards
Biosphere approach
Examines movements of energy and chemicals over the Earth’s surface.​
15
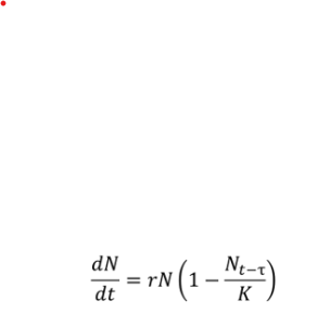
New cards
Darwin’s 4 postulates

1. Individuals vary in their traits.​
2. Traits are heritable.​

(More offspring are born than survive)​

3\.  Variation in traits causes some individuals to experience higher *fitness* (survival and reproduction).​
16
New cards
Producers
or autotrophs—convert ​

chemical energy into resources.​
17
New cards
consumers
or heterotrophs—obtain their energy from other organisms.​
18
New cards
Mixotrophs
can switch between being producers and consumers.​
19
New cards
Scavengers
consume dead animals
20
New cards
Detritivores
break down dead organic ​ matter (i.e., detritus) into smaller particles.​
21
New cards
Decomposers
break down detritus into simpler elements that can be recycled.​
22
New cards
types of species interactions
* predation
* parasitism
* herbivory
* competition
* mutualism
* commensalism
23
New cards
predation
when an organism kills or consumes an individual
24
New cards
parasitism
when one organisms lives in or on another organism.​
25
New cards
competition
when two organisms that depend on the same resource have a negative effect on each other.​
26
New cards
mutualism
when two species benefit from each other
27
New cards
commensalism
when two species live in close association and one receives a benefit, whereas the other is unaffected.​
28
New cards
Habitat
the place, or physical setting, where an organism lives.​

Distinguished by physical features, such as dominant plant type.​
29
New cards
Niche
the range of abiotic and biotic conditions an organism can tolerate.​
30
New cards
Nemoria experiment and results
butterfly experiment where different conditions were used to determine what causes different phenotypes.

Results: diet changes development
31
New cards
Spatial Structure
the pattern of density and spacing of individuals in a population.​
32
New cards
Fundamental Niche
the range of abiotic conditions (e.g., temperature, humidity, salinity) under which a species can persist.​(all possible options)
33
New cards
realized niche
the range of abiotic and biotic conditions under which a species does persist.​ (reality)
34
New cards
Geographic range
a measure of the total area covered by a population (e.g., temperature and drought define the range of sugar maple).​
35
New cards
endemic
geographic range where species live in a single often isolated location
36
New cards
cosmopolitan
a measure of the total area covered by a population (e.g., temperature and drought define the range of sugar maple).​
37
New cards
Population abundance and range
Populations with high abundance also have large geographic ranges.​ (example: birds)
38
New cards
Population density and body size
The density of a population is negatively correlated to the body size of the species.​
39
New cards
Dispersal limitation
the absence of a population from suitable habitat because of barriers to dispersal.​

40
New cards
Habitat corridor
a strip of favorable habitat located between two large patches of habitat that facilitates dispersal (e.g., a narrow band of trees that connects forests).​
41
New cards
Ideal free distribution
when individuals distribute themselves among different habitats in a way that allows them to have the same per capita benefit.​ (pizza example)
42
New cards
subpopulations
when a large population is broken up into smaller groups that live in isolated patches.​
43
New cards
**Basic metapopulation model**
a model that describes a scenario in which there are patches of suitable habitat embedded within a matrix of unsuitable habitat; all suitable patches are assumed to be of equal quality.​
44
New cards
Spatial structure models
* Metapopulation​
* Source-Sink​
* Landscape​
* Metapopulation​
* Source-Sink​
* Landscape​
45
New cards
metapopulation
a set of local populations linked by dispersal​ : least complex
46
New cards
patches
suitable habitat
47
New cards
Matrix
barrier to dispersal
48
New cards
Source sink model
recognizes differences in quality of suitable habitat patches: intermediate complexity ​

Source patches : more food reproduce more

Sink patches: less resources less reproduction
49
New cards
Landscape model
* most complex
* considers effects of differences in the habitat matrix:​​


* the quality of a habitat patch can be affected by the nature of the surrounding matrix​​


* some matrix habitats are more easily traversed than others​
50
New cards
demography
The study of (the structure and growth of) populations​
51
New cards
birth and immigration
What causes population increase?
52
New cards
deaths and emigration
What causes population decrease
53
New cards
geometric growth
discrete time intervals (choppy points and lines)
54
New cards
exponential growth
time is treated as continuous (one smooth line no points). Continuous growth -- overlapping generations with year round reproduction
55
New cards
Geometric (discrete) growth
*N*(*t* + 1) = *N*(*t*) ​

where:*N*(*t* + 1)  = number of individuals after 1 time unit​

  *N*(*t*)        = population size at time *t*​
56
New cards
N(t+1)
number of individuals after 1 time unit​
57
New cards
N(t)
population size at time t
58
New cards
Geometric Population growth
**** = ratio of population size at any time to the population size 1 time unit earlier ​

****  is the “per capita growth rate” ​ \n      or “finite rate of increase”:​
**** = ratio of population size at any time to the population size 1 time unit earlier ​

****  is the “per capita growth rate” ​ \n      or “finite rate of increase”:​
59
New cards
Geometric Population Growth for Multiple time intervals
\
\
60
New cards
Exponential population growth equation
Pe^rt
61
New cards
when a population is decreasing
λ
62
New cards
when population is constant
λ=1 and r=0
63
New cards
when a population is increasing
λ>1 and r>0
64
New cards
Density independent limitations
factors that limit population size regardless of the population’s density.​ Common factors include climatic events (e.g., tornadoes, floods, extreme temperatures, and droughts).​
65
New cards
Density dependent limitations
factors that affect population size in relation to the population’s density.​
66
New cards
negative density dependence
when the rate of population growth decreases as population density increases.​ The most common factors that cause negative density dependence are limiting resources (e.g., food, nesting sites, physical space).​ (think about splitting the pie, the more people the less pie each person gets)
67
New cards
Shelf-thinning curve
a graphical relationship that shows how decreases in population density over time lead to increases in the size of each individual in the population; often has a slope of -3/2
68
New cards
positive density dependence
when the rate of population growth increases as population density increases (also known as **inverse density dependence**, or **Allee effect**).​ (typically happens when pop is so small that it makes it hard to find mates and reproduce)
69
New cards
Logistic growth model
a growth model that describes slowing growth of populations at high densities; it is represented by:​
a growth model that describes slowing growth of populations at high densities; it is represented by:​
70
New cards
Carrying capacity (k)
the maximum population size that can be supported by the environment.​
71
New cards
S- shaped curve
The shape of the curve when a population is graphed over time using the logistic growth model.​
72
New cards
Inflection point
the point on a sigmoidal growth curve at which the population has its highest growth rate.​
73
New cards
logistic growth model low in population size
N is small so the slope is higher rising in growth
74
New cards
logistic growth model with higher population size
N is closer to one so slope is smaller slowing growth
75
New cards
Age structure pyramids with broad base and narrow top (arrow shaped)
 indicates population is growing because more babies are being born than in previous generations
76
New cards
Age structure pyramids with narrow base (v shaped)
Indicates that population is declining because less babies are being born than previous generations
77
New cards
Life tables
tables that contain class-specific survival and fecundity data.​
tables that contain class-specific survival and fecundity data.​
78
New cards
life table parts
*x* = age class​

*nx =* the number of individuals in each age class immediately after the population has produced offspring.​

*sx* = the survival rate from one age class to the next age class​

*bx* = the fecundity of each age class​
79
New cards
Number surviving to next age class
(*nx*) x (*sx*)​
80
New cards
number of new offspring produced
(*nx*) x (*sx*) x (*bx*)​
81
New cards
Type one curve
Type one curve
survivorship curve depicts a population that experiences low mortality early in life and high mortality later in life (e.g. bears, humans, elephants, whales).​

82
New cards
type 2 curve
type 2 curve
curve depicts a population that experiences constant mortality throughout its life span (e.g., squirrels, corals).​
83
New cards
type 3 curve
type 3 curve
depicts a population with high mortality early in life and high survival later in life (e.g., weeds, fish, alligators).​
84
New cards
Cohort life table
a life table that follows a group of individuals born at the same time from birth to the death of the last individual.​
85
New cards
Static life table
a life table that quantifies the survival and fecundity of all individuals in a population during a single time interval.​

Does not take into account the effect of time ​

Works well with organisms with long lifespans ​
86
New cards
overshoot
when a population grows beyond its carrying capacity; often occurs when the carrying capacity of a habitat decreases from one year to next (e.g., because less resources are produced).​
87
New cards
Die- offs
a substantial decline in density that typically goes well below the carrying capacity.​ Die-offs often occur when a population overshoots its carrying capacity.
88
New cards
population cycles
regular oscillation of a population over a longer period of time.​

89
New cards
delayed density dependence
when density dependence occurs based on a population density at some time in the past.​
90
New cards
delayed density dependence equation
As the time delay increases, density dependence is delayed and the population is more prone to both overshooting and undershooting *K*.​



The amount of cycling in a population depends on the product of *r* and τ.​
As the time delay increases, density dependence is delayed and the population is more prone to both overshooting and undershooting *K*.​

​

The amount of cycling in a population depends on the product of *r* and τ.​
91
New cards
damped oscillations
a pattern of population growth in which the population initially oscillates but the magnitude of the oscillations declines over time.​
92
New cards
stable limit cycle
a pattern of population growth in which the population continues to exhibit large oscillations over time.​
93
New cards
deterministic model
a model that is designed to predict a result without accounting for random variation in population growth rate.​
94
New cards
stochastic model
a model that incorporates random variation in population growth rate; assumes that variation in birth and death rates is due to random chance.​
95
New cards
demographic stochasticity
variation in birth rates and death rates due to random differences among individuals.​
96
New cards
environmental stochasticity
variation in birth rates and death rates due to random changes in the environmental conditions (e.g., changes in the weather).​
97
New cards
extinction due to growth rates
* A population that randomly experiences a string of years with low birth rates or high death rates is more ​likely to go extinct.​
* With time, there is an increased chance of having a string of bad years.​
* Smaller populations are at more risk of extinction if they experience a string of bad years.​

98
New cards
habitat fragmentation
the process of breaking up large habitats into a number of smaller habitats.​ Often occurs as a result of human activities (e.g., clearing forests, road construction, draining wetlands).​
99
New cards
basic model of metapopulations
* when *e* = 0, *p* = 1 and all patches are occupied​
* when *e* > *c*, *p* is negative, and the population heads toward extinction​​


* when 0 < *e* < *c*, there is a shifting mosaic of occupied and unoccupied patches, with *p* somewhere between 0 and 1​
* when *e* = 0, *p* = 1 and all patches are occupied​
* when *e* > *c*, *p* is negative, and the population heads toward extinction​​


* when 0 < *e* < *c*, there is a shifting mosaic of occupied and unoccupied patches, with *p* somewhere between 0 and 1​
100
New cards
Assumptions of metapopulation model
* Ignores population growth, birth, death​
* Ignores population regulation & environmental interaction​
* Colonization to full occupancy is instantaneous​
* Patches are all the same size​
* Patches are equidistant from all patches; matrix is uniform (equal migration probability)​
* Populations are assumed independent​
* Movement among occupied patches doesn’t matter​
* Migration isn’t very high, or very low​