1/23
Looks like no tags are added yet.
Name | Mastery | Learn | Test | Matching | Spaced |
|---|
No study sessions yet.
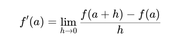
What is the limit definition of a derivative as h →0?

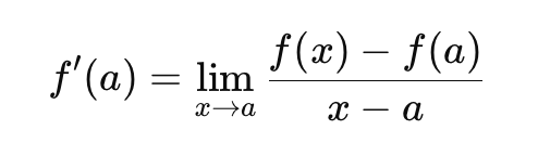
What is the limit definition of a derivative as x → a?

What is the derivative of sin(x)?
cos(x)
What is the derivative of cos(x)?
-sin(x)
What is the derivative of tan(x)?
sec²(x)
What is the derivative of cot(x)?
-csc²x
What is the derivative of csc(x)?
-csc(x) cot(x)
What is the derivative of sec(x)?
sex(x) tan(x)
What is the derivative of c is c is any real number?
0
What is the derivative of mx?
m
What is the derivative of xn?
n(xn-1)
What is the derivative of cf(x)?
cf’(x)
What is the derivative of f(x) ± g(x)?
f’(x) + g’(x)
What is the derivative of f(x)g(x)?
f’(x)g(x) + f(x)g’(x)
What is the derivative of f(x)/g(x)?
(where g(x) does not equal 0)
f’(x)g(x)-g’(x)f(x) all divided by g(x)²
What is the derivative of f(g(x))?
f’(g(x)) g’(x)
What does it mean if a function is differentiable at a point, m?
A function is differentiable at a point m only if f’(m) exists
If a function is differentiable at a point, m, is it continuous at that point as well?
Yes, if a function is differentiable at a certain point it must be continuous at that point
If a function is differentiable completely, what does this mean?
if it is differentiable at every point of x in its domain
When are polynomial differentiable?
they are differentiable at all values of x
When are exponential functions differentiable?
they are differentiable at every value of x
When are logarithmic functions differentiable?
all values where x > 0
How to check for smoothness?
slopes should approach the same value on both sides
How to check for continuity?
the function must be defined at x=a
the limit as x → a must exist
the limit as x → a must be equal to f(a)