bio fall final

0.0(0)
studied byStudied by 7 people
call kaiCall Kai
learnLearn
examPractice Test
spaced repetitionSpaced Repetition
heart puzzleMatch
flashcardsFlashcards
GameKnowt Play
Card Sorting

1/99

flashcard set

Earn XP

Description and Tags

Last updated 1:46 AM on 12/15/22
Name
Mastery
Learn
Test
Matching
Spaced
Call with Kai

No analytics yet

Send a link to your students to track their progress

100 Terms

1
New cards
part that evolved from a photoautotrophic prokaryote
part that evolved from a photoautotrophic prokaryote
B
2
New cards
The graph below represents the relationship between the cadmium level in the drinking water of mice and the blood pressure of mice
- the false statement is :
The lower the cadmium concentration in the water, the higher the blood pressure
3
New cards
Which one or ones of the following refers to molecules or biological compounds found in the plasma membrane
- carbohydrates, lipids, and proteins
- NOT nucleic acid
4
New cards
A student using a light microscope observes a cell and correctly decides that it is a plant cell because
it has a large central vacuole
5
New cards
Carrier molecule in the plasma membrane
protein
6
New cards
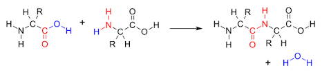
Which statement is the most accurate description of the reaction shown in figure 1
Which statement is the most accurate description of the reaction shown in figure 1
it represents a polypeptide chain that is broken down through a hydrolysis reaction
7
New cards
Which of the following is used to determine the rate of enzyme-catalyzed reactions?
rate of disappearance of the substrate
8
New cards
The major component of the fluid bilayer of a plasma membrane
phospholipid
9
New cards
According to the results of this experiment, germination of tobacco seeds during the first week is
According to the results of this experiment, germination of tobacco seeds during the first week is
increased by exposure to light
10
New cards
The graph indicates the amount and location of mold growth on two different kinds of molds (penicillium camemberti and penicillium roqueforti.) Which of the following statements is true?
There is a statistically significant difference between the amount of penicillium camemberti and penicillium roqueforti in the middle of the cheese
11
New cards
Intravenous (IV) solutions administered to patients are normally isotonic. Which of the following is most likely if an IV of distilled water is administered to a patient?
The cells that are exposed to hypotonic solutions will expand as water moves osmotically into the cells from the blood.
12
New cards
the hydrophillic portion is the...
the hydrophillic portion is the...
phospholipid heads
13
New cards
3 carbon sugar portion of a fat molecule
glycerol
14
New cards
Simple diffusion and facilitated diffusion are related in that both
depend on a concentration gradient
15
New cards
Which of the following statements about glucose, galactose and fructose is most likely true?

The carbohydrates have different properties because they have different arrangements of carbon, hydrogen, and oxygen atoms
16
New cards
Which of the following best describes a structural difference between DNA and RNA?
The backbone of DNA contains deoxyribose, whereas the backbone of RNA contains ribose
17
New cards
 that represents the activation energy of the reaction when it is not enzyme-catalyzed
that represents the activation energy of the reaction when it is not enzyme-catalyzed
C- top part off the graph
18
New cards
A storage form of carbohydrate in muscle
glycogen
19
New cards
To determine whether the normal functioning of the optic photoreceptors is involved in limb regeneration, one should compare the results above with those obtained from a similar experiment with newts
that have both eyes blindfolded
20
New cards
term image
cell recognizer protein
21
New cards
Bonds with cytosine in DNA
guanine
22
New cards
Which of the following best summarizes an advantage of eukaryotic cells having internal membranes?
organelles isolate specific reactions, increasing metabolic efficiency.
23
New cards

Which of the following macromolecules is primarily responsible for the insolubility of cell membranes in water?
phospholipid
24
New cards
A net movement of water into the beaker occurs in which of the following dialysis tubes?
A net movement of water into the beaker occurs in which of the following dialysis tubes?
6
25
New cards
has a mitochondria
eukary only
26
New cards
E1 E2 E3
W----------------> X-----------------> Y---------------> Z

-Product Z is able to occupy the active site of enzyme E2. Product Z can therefore first inhibit the production of
Y
27
New cards
The nitrogenous base, adenine, is found in which three of the three?
ATP, DNA, and RNA
28
New cards

Which of the following best describes the structures of carbohydrate
They occur as monomers, chains of monomers, and branched structures.
29
New cards
prokaryotic cells do NOT have
nuclear envelop
30
New cards
has lysosomes
eukary only
31
New cards
the properties of water at an air-water interface enable an insect to walk on the water’s surface?
Hydrogen bonds between molecules at the surface of the water provide surface tension, which allows the water surface to deform but not break under the insect
32
New cards
long term energy storage and energy in animal
triglyceride
33
New cards
represents the energy state of the products of the enzyme-catalyzed pathway
represents the energy state of the products of the enzyme-catalyzed pathway
E - the product portion, end of line
34
New cards
If ATP breakdown (hydrolysis) is inhibited, which of the following types of movement across cell membranes is also inhibited?
passage of a solute against its concentration gradient
35
New cards
 the formation of the hydrogen bond represented in the figure?
the formation of the hydrogen bond represented in the figure?
The nitrogen has a partial negative charge and the hydrogen attached to the oxygen has a partial positive charge
36
New cards
Which of the following subcellular structures is likely to be more prominent in liver cells than in adipose cells?
golgi apparatus
37
New cards
Which of the following organelles modifies and packages for secretion the materials produced by the ribosomes?
the golgi apparatus
38
New cards
If, instead of the bag, a potato slice was placed in the beaker of distilled water, which of the following would be true of the potato slice?
it would gain mass
39
New cards
no membrane bound organelles
prokaryotic only
40
New cards
molecules or biological compounds that is/are used for the structures in animal including hair, skin, fingernails and tendons
proteins
41
New cards
One of the most pronounced differences between animal and plant cells is that
plant cells alone have relatively thick rigid cell wall.
42
New cards
Which of the following best predicts which diagrammed microscope view the laboratory worker would see and best explains why?
Which of the following best predicts which diagrammed microscope view the laboratory worker would see and best explains why?
View 2 because the rate of water movement into the RBCs equals the rate of water movement out of the cells
43
New cards
Which of the following is an accurate description of the process shown in Figure 1?
Which of the following is an accurate description of the process shown in Figure 1?
the formation of a covalent peptide bond in a dehydration synthesis reaction
44
New cards
Which one or ones of the following refers to molecules or biological compounds containing nitrogen
- nucleic acid
- protein
45
New cards
The synthesis of protein or carbohydrate polymers always produces which of the following as a byproduct
water
46
New cards
Which one or ones of the following refers to molecules or biological compounds that is/are used as an energy source in most living thing
- lipids
- carbohydrates
47
New cards
Structures found in the cells of both angiosperms (flowering plants) and mammals are
cell membranes and chromosomes
48
New cards
Which of the following is an example of a hydrogen bond
The attraction between a hydrogen of one water molecule and the oxygen of another water molecule
49
New cards
Enzyme table 3 experiments\*
The most likely reason for the failure of the absorbance to increase significantly after 10 minutes in preparation III is that
most of the substrate was digested during the first 10 minutes
50
New cards
has nuclear membrane
eukary only
51
New cards
Which one or ones of the following refers to molecules or biological compounds that is/are used for exoskeletons of arthropods
carbohydrate
52
New cards
Which one or ones of the following refers to molecules or biological compounds synthesized at the ribosome
proteins
53
New cards
The infected bacteria cells were found to contain significant amounts of radioactive phosphorus but not radioactive sulfur. Based on the results of the experiment, which of the following types of molecules did the bacteriophages most likely inject into the bacteria cells
DNA
54
New cards
represents the net energy change of the reaction
represents the net energy change of the reaction
d - activation with energy
55
New cards
found in BOTH Prokaryotes and eukaryotes
ribosome, ribosomes, and cell membrane
56
New cards
has ribosome
both
57
New cards
found in viruses
nucleic acids
58
New cards
product of photosynthesis
glucose
59
New cards
essential for the synthesis of fats
glycerol
60
New cards
Based on the molecular structures shown in the figure, which molecule is likely to be solid at room temperature?
Based on the molecular structures shown in the figure, which molecule is likely to be solid at room temperature?
Palmitic acid, because the absence of carbon-carbon double bonds allows the molecules to pack closely together.
61
New cards
most likely to be able to move unaided through to the cell membrane
lipids
62
New cards
For each trial included in the experiment, the researcher will add the enzyme and its substrate to an aqueous buffer solution and then measure the amount of product formed over 20 minutes.
Which of the following must remain the same for all trials of this experiment?
the initial concentration of the substrate
63
New cards
Contains hydrolytic enzymes associated with the intracellular digestion of macromolecules
lysosome
64
New cards
If plant cells are immersed in distilled water, the resulting movement of water into the cells is called
osmosis
65
New cards
The forelimbs are amputated immediately proximal to the elbow. All the animals are maintained in an aerated pond at 21o C and are provided with equal amounts of food. The data are summarized in the table below.

From the results of this study, it can be correctly concluded that the growth of regenerating forelimbs is affected by
exposure to light
66
New cards
biological compounds that is/are used for the structure of a plant's cell wall
carbohydrate
67
New cards
Which of the following conclusions is most clearly supported by the representations of nucleic acid #1 and nucleic acid #2
Which of the following conclusions is most clearly supported by the representations of nucleic acid #1 and nucleic acid #2
Nucleic acid #1 contains adenine-thymine base pairs, whereas nucleic acid #2 does not.
68
New cards
Which of the following best describes the effect of a greater number of cysteine amino acids on the stability of the proteins?
Which of the following best describes the effect of a greater number of cysteine amino acids on the stability of the proteins?
The change leads to decreased protein stability because of an increased number of S-S bonds in the tertiary structure of the proteins
69
New cards
has no cell membrane
neither eukary or prokaryotic
70
New cards
this diagram that depicts an experiment in which a dialysis-tubing bag is filled with a mixture of 3% starch and 3% glucose and placed in a beaker of distilled water, as shown. After 3 hours, glucose can be detected in the water outside the dialysis-tubing bag, but starch cannot.
-best describes the condition expected after 24 hours?
The bag will contain more water than it did in the original condition
71
New cards
Which of the following best describes an advantage that eukaryote organisms have over prokaryote organisms?
Eukaryotes have organelles that allow for compartmentalization of cellular processes, which increases the efficiency of those processes.
72
New cards

A biologist prepares an in vitro analysis of the activity of the enzyme amylase, which promotes the hydrolysis of polysaccharides to monosaccharide residues. Three flasks containing 5 milliliters of 4% amylose (starch) in water are prepared with the addition at time zero of each of the substances indicated in the diagram below:


Support for the hypothesis of enzyme denaturation can be obtained by comparing starch digestion in
Flasks A and C after 5 minutes
73
New cards
Three flasks containing 5 milliliters of 4% amylose (starch) in water are prepared with the addition at time zero of each of the substances indicated in the diagram below:

In an experiment to test the effect of amylase on starch, the control would be
flask b only
74
New cards
primary role of lysosome
intracellular digestion
75
New cards
biological compounds containing sulfur
proteins
76
New cards
or each ion or molecule, the relative concentration on each side of the membrane is indicated. Which of the following accurately describes one of the movements taking place?
or each ion or molecule, the relative concentration on each side of the membrane is indicated. Which of the following accurately describes one of the movements taking place?
Na+ transport out of the cell requires ATP hydrolysis.
77
New cards
Which of the following cells would most likely have the greatest concentration of densely packed rough endoplasmic reticulum?
A pancreatic cell engaged in the production of digestive enzymes
78
New cards
In graphing the data from this experiment, the sampling time would be shown on the x-axis because
sampling time is the independent variable
79
New cards
Which of the following best describes the formation of the bond shown in Figure 1?
Which of the following best describes the formation of the bond shown in Figure 1?
A covalent bond is formed between a carbon atom and a nitrogen atom along with the formation of H2O
80
New cards
Which of the following is a characteristic of mitochondrian and chloroplasts that supports the endosymbiotic theory?
Both contain DNA molecules
81
New cards
carbohydrate found in liver cells and muscle cells of animals
glycogen
82
New cards
Which of the following statements best describes how organisms such as rabbits obtain the carbon necessary for building biological molecules?
Rabbits eat plants and break down plant molecules to obtain carbon and other atoms that they rearrange into new carbon-containing molecules
83
New cards
The diagram above represents a typical rod-shaped bacterium. Which of the following best describes a feature shown in the diagram that is unique to archaea and bacteria?
The diagram above represents a typical rod-shaped bacterium. Which of the following best describes a feature shown in the diagram that is unique to archaea and bacteria?
The organism does not have a nuclear membrane surrounding its genetic mater
84
New cards
Three flasks containing 5 milliliters of 4% amylose (starch) in water are prepared with the addition at time zero of each of the substances indicated in the diagram below:

After 2 minutes, a positive test for sugar would most likely be observed in
flask a only
85
New cards
A + B + energy --> AB
Which of the following best characterizes the reaction represented above?
endergonic reaction
86
New cards
Which of the following best describes how amino acids affect the tertiary structure of a protein?
The interactions of the different R-groups with other R-groups and with their environment determine the tertiary structure of the protein
87
New cards
As part of an experiment to investigate the effects of cadmium on the hearts and livers of rats, the experimental group of rats receives 5 parts per million of cadmium in their drinking water each day. The control rats are given water from which all cadmium has been removed. For the experiment to be valid all of the following conditions are necessary EXCEPT:
The control rats should receive water fortified with other minerals to make up for the lost cadmium.
88
New cards
A cell is treated with a drug that prevents the formation of new lysosomes. The cell continues to transcribe the genes that code for the hydrolytic enzymes that are normally found in lysosomes and continues to translate the mRNAs for those proteins on membrane-bound ribosomes. The hydrolytic enzymes are most likely to accumulate in which of the following cellular structures?
golgi complex
89
New cards
The figure above represents a rough endoplasmic reticulum. Which of the following best describes the role of the structure labeled Y?
The figure above represents a rough endoplasmic reticulum. Which of the following best describes the role of the structure labeled Y?
Structure Y is the location where proteins are synthesized.
90
New cards
In an experiment, the efficiency of oxygen exchange across the plasma membrane is being assessed in four artificial red blood cells. The table above lists some properties of those artificial cells. Other conditions being equal, which artificial cell is predicted to be the most efficient in exchanging oxygen with the environment by diffusion?
In an experiment, the efficiency of oxygen exchange across the plasma membrane is being assessed in four artificial red blood cells. The table above lists some properties of those artificial cells. Other conditions being equal, which artificial cell is predicted to be the most efficient in exchanging oxygen with the environment by diffusion?
the cuboidal cell
91
New cards
what letters would identify it as a plant cell?
what letters would identify it as a plant cell?
B and E
92
New cards
The rate at which the contractile vacuole contracted to pump out excess water was determined and plotted against osmolarity of the solutions, as shown in the graph. Which of the following is the correct explanation for the data?
The rate at which the contractile vacuole contracted to pump out excess water was determined and plotted against osmolarity of the solutions, as shown in the graph. Which of the following is the correct explanation for the data?
The contraction rate increases as the osmolarity decreases because the amount of water entering the paramecia by osmosis increases.
93
New cards
The enzyme peroxidase is found in many organisms. It catalyzes the breakdown of hydrogen peroxide into water and oxygen gas. The rate of peroxidase activity at different pH values was assessed by students in the lab. The students’ results are shown in graph 1.

If the experiment is repeated at pH 11, the observed activity level of the enzyme will most likely be
The enzyme peroxidase is found in many organisms. It catalyzes the breakdown of hydrogen peroxide into water and oxygen gas. The rate of peroxidase activity at different pH values was assessed by students in the lab. The students’ results are shown in graph 1.

If the experiment is repeated at pH 11, the observed activity level of the enzyme will most likely be
lower than the level at pH 9
94
New cards
The CFTR protein is made up of 1,480 amino acids linked together in a chain. Some humans produce a version of the CFTR protein in which phenylalanine (an amino acid) has been deleted from position 508 of the amino acid chain. Which of the following best predicts how the amino acid deletion will affect the structure of the CFTR protein?
It will affect the primary, secondary, and tertiary structures of the CFTR protein
95
New cards
found in BOTH archea and eukaryotes
ribosome, cell membrane , ribosomes, introns, histones
96
New cards
found in prokaryotes
cell membrane, circular dna, ribosome
97
New cards
\n responsible for manufacturing RNA and other components that are used in protein synthesis
nucleolus
98
New cards
After 3 hours, glucose can be detected in the water outside the dialysis-tubing bag, but starch cannot.

Which of the following best describes the condition expected after 24 hours?
The bag will contain more water than it did in the original condition
99
New cards
The structure above could be any of the following **EXCEPT** a
monomer used as a component of a polypeptide
100
New cards
Which of the following cube-shaped cells would be most efficient in removing waste by diffusion?
10 um

Explore top notes

note
Elements Compounds and Mixtures
Updated 1411d ago
0.0(0)
note
anatomy
Updated 759d ago
0.0(0)
note
Chapter 25: The Urinary System
Updated 1060d ago
0.0(0)
note
Ionic and Covalent Bonds
Updated 1256d ago
0.0(0)
note
COUNTRIES AFFECTED AND EVENTS
Updated 1350d ago
0.0(0)
note
Lecture 2: Gene & Genetic Disease
Updated 493d ago
0.0(0)
note
Elements Compounds and Mixtures
Updated 1411d ago
0.0(0)
note
anatomy
Updated 759d ago
0.0(0)
note
Chapter 25: The Urinary System
Updated 1060d ago
0.0(0)
note
Ionic and Covalent Bonds
Updated 1256d ago
0.0(0)
note
COUNTRIES AFFECTED AND EVENTS
Updated 1350d ago
0.0(0)
note
Lecture 2: Gene & Genetic Disease
Updated 493d ago
0.0(0)

Explore top flashcards

flashcards
Spanish 2: Mi Rutina Diaria
50
Updated 872d ago
0.0(0)
flashcards
microbio chapters 4, 5 6
78
Updated 30d ago
0.0(0)
flashcards
vocabulario: las abuelas solares
46
Updated 1098d ago
0.0(0)
flashcards
Ordlista 1
30
Updated 523d ago
0.0(0)
flashcards
Functions of Brain Structures
22
Updated 669d ago
0.0(0)
flashcards
DKE Final Exam
106
Updated 736d ago
0.0(0)
flashcards
English Vocab 7
30
Updated 1005d ago
0.0(0)
flashcards
1000 Most Common SAT Words
991
Updated 478d ago
0.0(0)
flashcards
Spanish 2: Mi Rutina Diaria
50
Updated 872d ago
0.0(0)
flashcards
microbio chapters 4, 5 6
78
Updated 30d ago
0.0(0)
flashcards
vocabulario: las abuelas solares
46
Updated 1098d ago
0.0(0)
flashcards
Ordlista 1
30
Updated 523d ago
0.0(0)
flashcards
Functions of Brain Structures
22
Updated 669d ago
0.0(0)
flashcards
DKE Final Exam
106
Updated 736d ago
0.0(0)
flashcards
English Vocab 7
30
Updated 1005d ago
0.0(0)
flashcards
1000 Most Common SAT Words
991
Updated 478d ago
0.0(0)