1/105
Looks like no tags are added yet.
Name | Mastery | Learn | Test | Matching | Spaced |
|---|
No study sessions yet.
D Glyceraldehyde

D Erythose

D Threose

D Ribose

D Arabinose

D Xylose

D Glucose

D Mannose

D Galactose

D Erythulose

D Ribulose

D Xylulose

D Fructose

glycerol

xylitol

sorbitol

2-deoxyribose

beta-d-glucosamine

galactosamine

fructose??

cellobiose

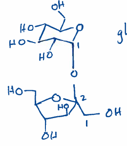
maltose

lactose

draw a starch

lauric acid

myristic acid

palmitic acid

stearic acid

arachidic acid

palmitoleic acid

oleic acid

linoleic acid

alpha linolenic acid

arachidonic acid

triglycerides

“G” for glycerophospholipids

phosphatidylcholine (PC)

phosphatidylethanolamine (PE)

phosphatidylserine (PS)

phosphatidylinositol (PI)

diphosphatidylglycerol (diPG)

geraniol

farnesol

retinal (Vitamin A)

squalene

lanesterol

Vitamin D

Vitamin K

Vitamin E

Coenzyme Q (ubiquinone)

Uracil (U)

Thymine (T)

Cytosine (C)

Adenine (A)

Guanine (G)

ribose (cyclic)

2-deoxyribose (cyclic)

cholesterol

carbonate, blood buffer
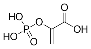
phosphoenolpyruvate

pyruvate

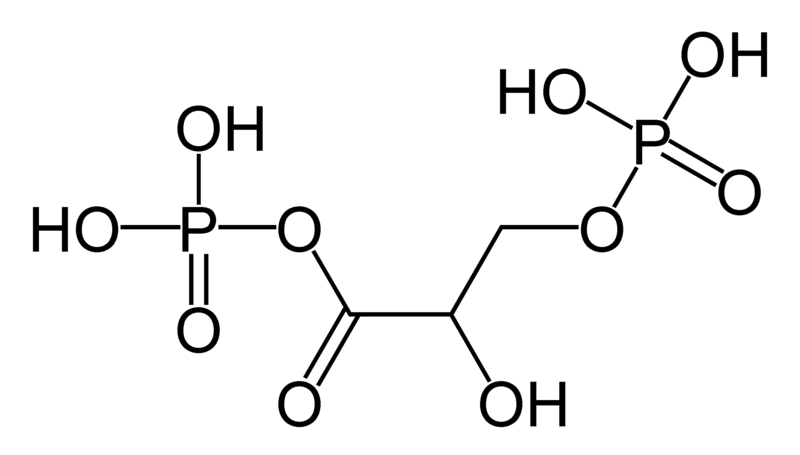
1,3-diphosphoglycerate

3-phosphoglycerate

phosphocreatine

creatine, muscle protein powder

acetyl phosphate

acetate

ATP

ADP

AMP

pyrophosphatase

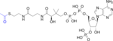
acetyl-coenzyme A

coenzyme A
pantothenic acid

coenzyme A
cysteamine

S-adenosylmethionine (SAM)

adenosine

glucose-1-phosphate
alpha d glucose

glycerol phosphate

5-hydroxylysine, alt AA (lysine)

4-hydroxyproline, alt AA (proline)

gamma carboxyglutamate, alt AA (glutamate)
selenocysteine, alt AA (cysteine)

canavanine, alt AA, alfalfa sprouts, lupus, looks like arginine
Glycine

Alanine

Cysteine

Valine

Methionine

Isoleucine

Leucine

Proline

Phenylalanine

Tryptophan

Tyrosine

Serine

Threonine

Asparagine
