1/54
Looks like no tags are added yet.
Name | Mastery | Learn | Test | Matching | Spaced |
|---|
No study sessions yet.
x-intercepts/zeroes
y=0 or f(x)=0
y-intercepts
x=0
symmetry to y-axis/even function
f(-x)=f(x)
symmetry to origin/odd function
f(-x)=-f(x)
symmetry to x-axis
-f(x)=f(x)
parallel lines
m₁=m₂
perpendicular lines
m₁ = -1/m₂
domain of √s(x)
s(x)≥0
domain of ln[s(x)]
s(x)>0
domain of 1/s(x)
s(x) ≠ 0
intersection of (f) and (g)
f(x)=g(x)
rational functions zeros
numerator = 0
vertical asymptote
simplify, denom. = 0 and limx→a± f(x)=±∞
horizontal asymptote
degree num. = degree denom., ÷ and limx→±∞ f(x)=a
x-axis asymptote
degree num. < degree denom. and limx→±∞ f(x)=0
slant asymptote
degree num. = 1 + degree denom., ÷
limit of a piece function
limx→a⁺ f(x) = limx→a⁻ f(x)
continuity at x=a
limx→a f(x) = f(a)
continuity of a piece function
limx→a⁺ f(x) = limx→a⁻ f(x) = f(a)
derivative by definition
f'(x) = lim∆x→0 (f(x+∆x)-f(x))/∆x
f'(c) = limx→c (f(x)-f(c))/(x-c)
rate of change
f'(x)
slope of a curve
f'(x)
slope of a tangent
f'(x)
equation of a tangent
y-y₁ = f'(x₁)(x-x₁)
slope of a normal
mₙ = -1/mt = -1/f'(x)
horizontal tangent
f'(x)=0
vertical tangent
f'(x)=non zero constant/0
average rate of change
∆y/∆x
PVA position
s(t)
PVA velocity
v(t)=s'(t)
PVA acceleration
a(t)=v'(t)=s''(t)
Particle at rest
v(t)=0
Particle moving right
v(t)>0
Particle moving left
v(t)<0
Particle changes direction
v(t) changes sign
Particle total distance traveled
|s(t₁)-s(tc)+|s(tc)-s(t₂)|, where tc=time particle changes direction
Particle average velocity
∆s/∆t = displacement/time change
Particle speed
|v(t)|
critical number (c)
f'(x) = 0 or f'(x)DNE
relative max.
1st Deriv. Test: f'(x) changes from positive to negative at x=c, 2nd Deriv. Test: f"(c)<0
relative min.
1st Deriv. Test: f'(x) changes from negative to positive at x=c, 2nd Deriv. Test: f"(c)>0
f is increasing
f'(x)>0
f is decreasing
f'(x)<0
abs max. on [a,b]
compare the y-value(s) of relative max's with f(a) and f(b)
abs min. on [a,b]
compare the y-value(s) of relative min's with f(a) and f(b)
concave up
f"(x)>0 or f'(x) inc.
concave down
f"(x)<0 or f'(x) dec.
point of inflection
f"(x) changes sign, tangent must exist or f'(x) changes from increasing to decreasing, or from decreasing to increasing
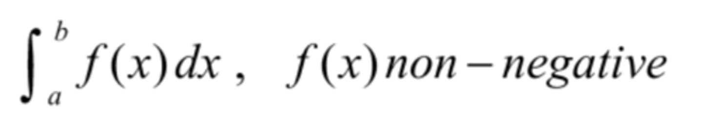
area under curve

area between curves

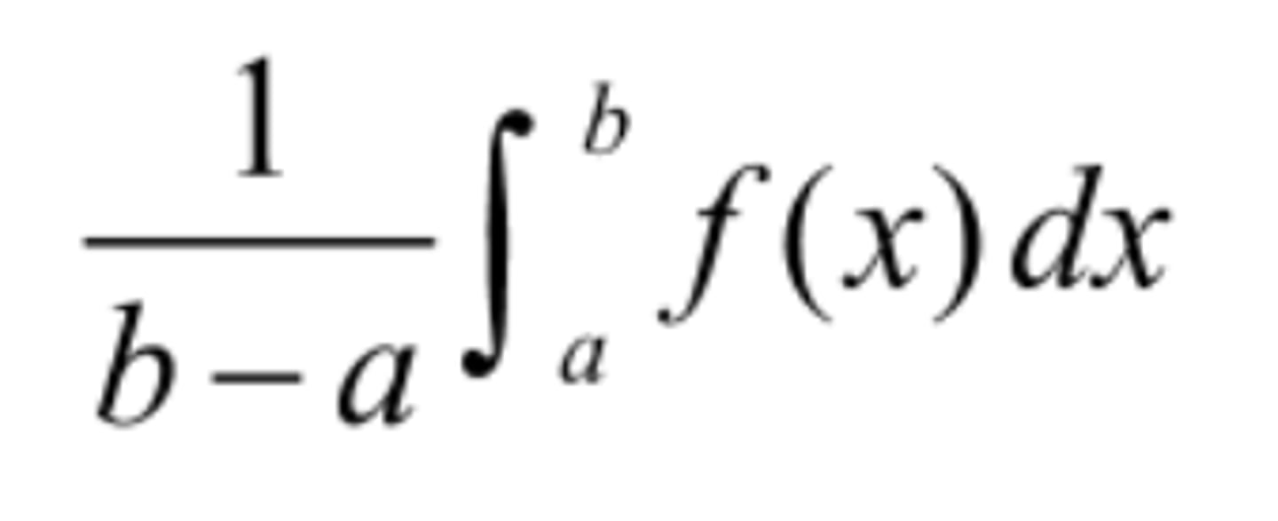
average values

Trapezoidal rule: From a to b ∫f(x)dx ≈

volume by disks

volume by washers

volume by shells
