1/9
Looks like no tags are added yet.
Name | Mastery | Learn | Test | Matching | Spaced |
|---|
No study sessions yet.
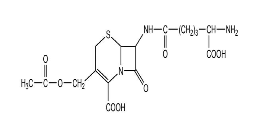
Céphalosporine

Céphalosporine C
-Activité faible
-Inactive par VO


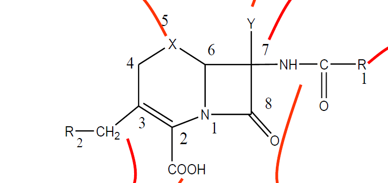
-(3) : propriétés pharmacocinétiques (QE)
-R1
*acyles ↑ les spectres et stabilité aux beta-lactamases (groupement volumineux)
* Cycle aminothiazole ou tetrazole : ↑l’affinité pour l’enzyme cible (act ↑)
*Fonction carboxylique donne activité Anti pseudomonas / methoxyimino (C=N−O−CH3) stabilité contre beta-lactamases
-O :activité inhibitrice des beta lactamases
-Y : méthoxyl ↑ la stabilité aux beta-lactamase
RSA
-En position 3
-En radical R1 de 7
-En X
-En Y

Cefazoline
C1G

Céfoxitine
(methoxy)
C2G

Céfuroxime (-axétil)
(furane)
C2G

Ceftriaxone
C3G

Ceftazidime
Pyridinium + → augmente passage de la membrane de P. aeruginosa
en 7 : (Carboxypropyloxy imino)↑ stabilité aux B-lactamases
C3G

Spectre élargi, injectables (traitement des infections
résistantes)
Cefipime
C4
(SARM)
Ceftaroline, ceftobirole
C5G