1/11
Looks like no tags are added yet.
Name | Mastery | Learn | Test | Matching | Spaced |
|---|
No study sessions yet.

Label this diagram
a - light box
b - slit
c - card
d - concave mirror
e - meter stick
f - image distance
g - object distance
Demonstrate the method of this experiment • 1
Move card back and forth until a sharp image of the slit is formed
Demonstrate the method of this experiment • 2
Measure and record u and v using the metre stick
Repeat previous steps by changing the distance
Demonstrate the method of this experiment • 3
Calculate the focal length using the distance formula
Calculate the average of f for each set of values
Define 3 precautions that are associated with this experiment • 1
Keep card close to ruler to measure v accurately
Define 3 precautions that are associated with this experiment • 2
Measure u and v from the back of the mirror
Define 3 precautions that are associated with this experiment • 3
Keep card vertical

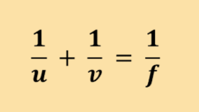
Label This Formula
The Distance Formula
v - image distance
u - object distance
f - focal length
When is u positive and negative?
U is always positive
Never negative
When is v positive and negative?
Positive - Real Images
Negative - Virtual Images
When is f positive and negative?
Positive - Concave Mirrors
Negative - Convex Mirrors
What page of the log tables can you find the Distance formula?
60