1/10
Looks like no tags are added yet.
Name | Mastery | Learn | Test | Matching | Spaced |
|---|
No study sessions yet.

Label this diagram
a - light box
b - slit
c - card
d - lens
e - metre ruler
f - image distance
g - object distance
Demonstrate the method of this experiment • 1
Move card back and forth until a sharp image of the slit is formed
Demonstrate the method of this experiment • 2
Measure and record u and v using the metre stick
Repeat previous steps by changing the distance
Demonstrate the method of this experiment • 3
Calculate the focal length using the distance formula
Calculate the average of f for each set of values
Define 2 precautions that are associated with this experiment • 1
Keep lens and card vertical
Define 2 precautions that are associated with this experiment • 2
Measure u and v from the centre of the lens

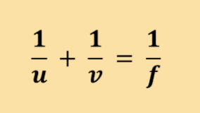
Label This Formula
The Distance Formula
v - image distance
u - object distance
f - focal length
When is u positive and negative?
U is always positive
Never negative
When is v positive and negative?
Positive - Real Images
Negative - Virtual Images
When is f positive and negative?
Positive - Converging Lens
Negative - Diverging Lens
What page of the log tables can you find the Distance formula?
60