1/15
Looks like no tags are added yet.
Name | Mastery | Learn | Test | Matching | Spaced |
|---|
No study sessions yet.
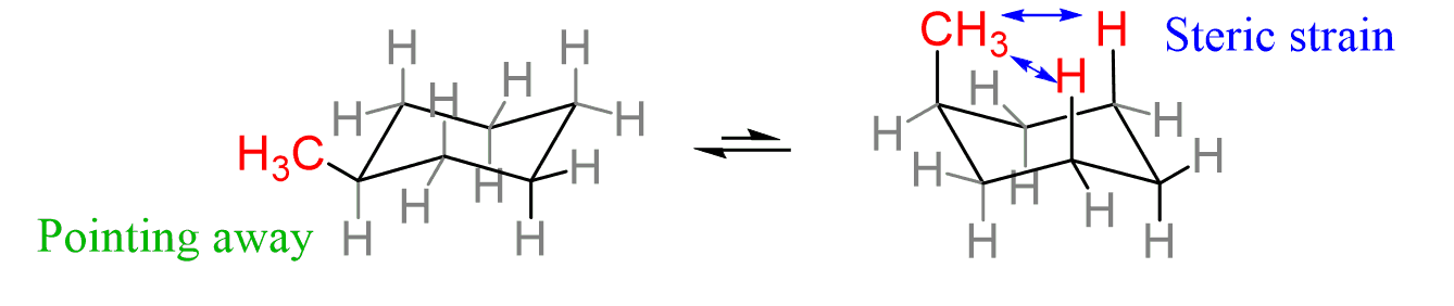
In a ring flip for a chair conformation
axial and equatorial are switched, keeping specific bonds

1-3 Diaxial strain
Occurs on axial carbons, when bulky groups have interfering interactions with each other (bulky groups will have less strain when equatorial)

achiral
achiral is one that is superimposable on its mirror image

chiral
chiral is one that is NOT superimposable on its mirror image

optically active
pure chemical either S or R conformation
optically inactive
achiral compound or a racemic mixture
Anti addition to a E alkene
substituents will add with opposite bond types (one dashed, one wedged)
Anti addition to a Z alkene
substituents will add to the same bond type e.g. both dashed/wedged
Syn addition to a E alkene
substituents will add to the same bond type e.g. both dashed/wedged
Syn addition to a Z alkene
substituents will add with opposite bond types (one dashed, one wedged)
Strong bases are good nucleophiles
true
SN2 Reaction
bimolecular nucleophilic substitution (always a backside attack of NU compared to LG)
SN1 Reaction
unimolecular nucleophilic substitution
SN2 rxns reverse stereochemistry
true
E2 Reaction
Bimolecular elimination
E1 Reaction
unimolecular elimination