1/8
Only not in data booklet
Name | Mastery | Learn | Test | Matching | Spaced |
|---|
No study sessions yet.
Displacement (from average velocity)
This is an algebraic rearrangement of v = u + a*t and the definition of average velocity.

Uncertainty: Addition/Subtraction (z = a+-b)
You must add absolute uncertainties for sums and differences.

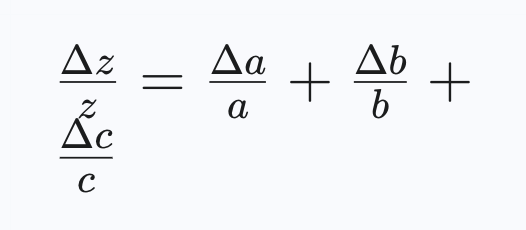
Uncertainty: Multiplication/Division (z = a* b / c)
You must add fractional uncertainties for products and quotients.

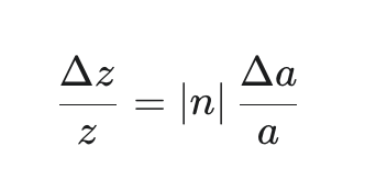
Uncertainty: Powers (z = a^n)

Newton's Second Law (General Form)
Force is the rate of change of momentum. F=ma is listed, but this definition is key.

Change in Kinetic Energy (Work-Energy Theorem)
The formula shows the change which equals the net work done.

Mechanical Energy
The sum of the three mechanical energy terms.

Efficiency (Energy or Power Ratio)

Power (Force and Velocity)
Derived from P = W/t and W = Fs
