1/37
Looks like no tags are added yet.
Name | Mastery | Learn | Test | Matching | Spaced |
|---|
No study sessions yet.
wat is een magneet
een voorwerp dat een magnetisch veld opwekt
wat zijn natuurlijke en kunstmatige magneten
natuurlijke zijn magneten die van natura magnetisch zijn
kunstmatige zijn magneten die door kunstamatige weg magnetisch worden
in welke twee onderscheiden kan je de kunstmatige magneet opdelen
permanente
elektromagneten
wanneer wordt magnetisme ontstaan
als ladingen in beweging zijn
als stroom door een draad vloeit
noem die ladingen in een stof
elektronen die rond een atoomkern draaien
elektronen die rond zichzelf draaien
atoomkernen die rond zichzelf draaien
hoe noemen de twee kanten van een magneet
noord-& zuidpool
waar is het magnetisme het sterkst in een magneet
aan de polen
wat gebeurt er met een magneet die in 2 breekt
deze vormen dan 2 mini magneten met elk een noord- en zuidpool
wat doen gelijknamig polen?
wat doen niet gelijknamige polen
gelijknamige —> stoten elkaar af
niet gelijknamige —> trekken elkaar aan
wanneer spreken we van paramagnetische stoffen
als de permeabiliteit hoger is dan 1 (luchtledig)
= heel zwak magnetiseerbaar
wanneer spreken we van Diamagnetische stoffen
als de permeabiliteit lager is dan 1 (luchtledig)
= niet magnetiseerbaar
wanneer spreken we van ferromagnetische stoffen
als de permeabiliteit veel hoger is dan 1 (luchtledig)
= zeer goed magnetiseerbaar
wat is een magnetisch veld
Een ruimte rondom de magneet waarbinnen deze magneet een invloed uitoefent. Deze worden voorgesteld met veldlijnen
eigenschappen van veldlijnen
- Treden de pool loodrecht in of uit
- Buiten de magneet NàZ
- Binnen de magneet ZàN
- Ze streven de kortst mogelijke weg
- Veldlijnen van dezelfde zin stoten elkaar af
wat is een magnetische keten
de weg die de veldlijnen volgen in & uit een magneet
kenmerken Homogene magnetische keten
- De doorsnede is overal dezelfde.
- De kern bestaat uit één soort materiaal.
eigenschappen Niet homogene magnetische keten
- De keten is niet volledig gesloten (luchtspleet, open magnetische keten).
- Of als de kern uit verschillende soorten materialen bestaat.
- Of als de doorsnede niet overal dezelfde is.
wat is magnetische inductie
- magnetische inductie is een maat voor de concentratie aan magnetische veldlijnen en dus ook voor de sterkte van de magnetische eigenschappen op een bepaalde plaats in het magnetisch veld.
- De magnetische inductie is ook uit te leggen als het verschijnsel van het magnetiseren van magnetische materialen onder invloed van externe magnetische velden.
Als we een stuk ijzer bij een magneet brengen word het ijzer door inductie ook magnetisch à dit komt omdat de veldlijnen liever door het ijzer gaan dan door de lucht
wat is het magnetische flux
Dit is het totaal aantal veldlijnen die door een bepaalde oppervlak loodrecht gaan
wat is remanent magnetisme
wanneer we magnetisch materiaal uit een magnetisch veld brengen en dit materiaal weinig magnetisme behoudt.
Kunstmatige magneet:
wat is materiaal dat na lange tijd nog gemagnetiseerd blijft, en een grote remanente inductie heeft.
wat is Demagnetiseren
het verwijderen van restmagnetisme. Dit kan door verwarming, trillingen of dit even in een tegengesteld veld te brengen.
wat is de magnetisatiekromme?
het verband tussen B= µ . H is niet lineair, dit wordt voorgesteld als een kromme
wat is elektromagnetisme
Dit is het magnetisch verschijnsel als er een stroom vloeit. Deze zijn cirkelvormig rond de geleider. Dit kunnen we bepalen met de kurkentrekker regel of de rechterhandsregel.


wat is punt-&kruisstromen
it toont aan als je in bovenaanzicht naar een geleider kijkt of de strrom weg van je gaat of naar je toe komt.
- Punt = naar je toe
- Kruis = van je weg


denk aan een dartpijltje
wat is een spoel
een cilinder van ferromagnetisch materiaal omwikkeld met geïsoleerde geleiders
wat is een solenoïde
een spoel met een luchtkern
wat is een hysteresislus
Wanneer bij een opgewekte inductie de veldsterkte nul wordt zal deze inductie niet helemaal weg zijn. Hierdoor moet een veldsterkte in tegengestelde zin opgewekt worden om de inductie te verwijderen. Door dit wordt er een tegengestelde inductie gegenereerd waardoor je weer een veldsterkte moet wekken naar de originele zin.
Als je dit blijft doen wordt er warmte gegenereerd. Dit zorgt voor wrijvingsverliezen






formule: Wet van Coulomb

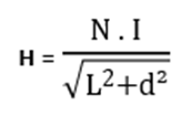
formule: magnetische veldsterkte bij een magneet


formule: magnetische veldsterkte bij een geleider

formule: magnetische veldsterkte bij een cirkelvormige geleider

formule: magnetische veldsterkte in het midden van een spoel

veldsterkte midden in de spoel Als het een heel lange dunne spoel is

veldsterkte midden in de spoel Als het een heel kleine dikke spoel is

formule voor inductie

wet voor fluxdichtheid

formule: wet van Hopkinson
