AP Calculus AB Formulas Quiz - Wilson

0.0(0)
studied byStudied by 1 person
0.0(0)
full-widthCall Kai
learnLearn
examPractice Test
spaced repetitionSpaced Repetition
heart puzzleMatch
flashcardsFlashcards
GameKnowt Play
Card Sorting

1/23

flashcard set

Earn XP

Description and Tags

For the formula Memorization Quiz - YOU'RE WELCOME!

Study Analytics
Name
Mastery
Learn
Test
Matching
Spaced

No study sessions yet.

24 Terms

1
New cards
<p></p>

knowt flashcard image
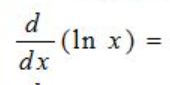
2
New cards
term image
knowt flashcard image
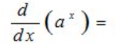
3
New cards
term image
knowt flashcard image
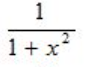
4
New cards
term image
knowt flashcard image
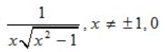
5
New cards
term image
knowt flashcard image
6
New cards
term image
knowt flashcard image
7
New cards
term image
knowt flashcard image
8
New cards
term image
knowt flashcard image
9
New cards
term image
knowt flashcard image
10
New cards
term image
knowt flashcard image
11
New cards
term image
knowt flashcard image
12
New cards
term image
knowt flashcard image
13
New cards
term image
knowt flashcard image
14
New cards
term image
knowt flashcard image
15
New cards
term image
knowt flashcard image
16
New cards
term image
knowt flashcard image
17
New cards
term image
knowt flashcard image
18
New cards
term image
knowt flashcard image
19
New cards
term image
knowt flashcard image
20
New cards
term image
knowt flashcard image
21
New cards
<p>power rule</p>

power rule

knowt flashcard image
22
New cards
<p>product rule</p>

product rule

knowt flashcard image
23
New cards
<p>quotient rule</p>

quotient rule

knowt flashcard image
24
New cards
<p>Chain rule</p>

Chain rule

knowt flashcard image