1/106
Looks like no tags are added yet.
Name | Mastery | Learn | Test | Matching | Spaced |
|---|
No study sessions yet.
Atklāj nukleīnskābes;
Definē nosaukumu DNS;
Izdala 5 slāpekļa bāzes;
1910. gada Nobela prēmija;
(1901)
Albrehts Kosels
Grifita (trasformācijas) eksperiments
(1928)
Frederihs Griffins
DNS = informācijas nesējs gēnā un hromosomās
(1944. pētījums)
molekulārais biologs
Osvalds Eiverijs
2 Čargafa likumi:
DNS sastāvs atšķiras starp sugām, tieši nukleotīdu daudzumā;
Jebkurā DNS molekulā A un T, G un C daudzums būs vienāds;
(1950)
Ervins Čargafs
Bakteriofāgs (1952)
Marta Čeisa un Alfrēds Heršijs
DNS kristologrāfija;
Rentgenstaru difrakcijas attēli DNS un RNS, attēls nr. 51;
DNS veido dubultspirāles formu;
(1952)
Rozalinda Franklina
DNS struktūras atklājējs*
1962. g. Nobela prēmijas laureāts
Centrālās dogmas aizsācējs(1957):
DNA → RNA → protein;
Frānsiss Kriks
DNS dubultspirāle (1953);
1962. g. Nobela prēmijas laureāts;
Cilvēka genoma projekta vadītājs
Džeimss Votsons
Mūks, “Ģenētikas Tēvs”, kurš pirmais liecināja, ka īpašības tiek pārnestas no paaudzes uz paaudzi, definēja recesīvo un dominējošo pazīmi.
Gregors Mendelis
Kāds augs tika izmantots Gregora M. ekspermentos?
Pazīmes - sēklas krāsa, sēklas reljefs, ziedu krāsa, auga garums
Pašapputes augs, veica svešapputi
Sējas zirņi

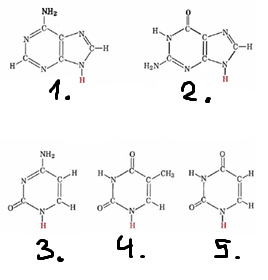
Nosaukums 1. nukleīnskābei
Adenīns

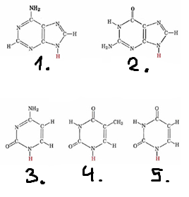
Nosaukums 2. nukleīnskābei
Guanīns

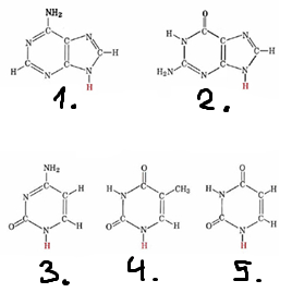
Nosaukums 3. nukleīnskābei
Citozīns

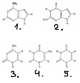
Nosaukums 4. nukleīnskābei (DNS)
Timīns

Nosaukums 5. nukleīnskābei (RNS)
Uracils
CIk slāpekļa bāzes DNS un cik RNS?
4
DNS un RNS komplementaritāte: Guanīns —
Citozīns
DNS komplementaritāte: Adenīns —
Timizīns
RNS komplementaritāte: Adenīns —
Uracils
DNS dubultspirāle (1953);
1962. g. Nobela prēmijas laureāts;
Cilvēka genoma projekta vadītājs;
Nukleīnskābju monomēri, kas sastāv no slāpekļa purīnbāzes vai pirimidīnbāzes, ribozes vai dezoksiribozes un fosforskābes atlikuma.
Nukleotīds
Slāpekļa purīnbāzes: ‘burts’, ‘burts’, … (alfabēta secībā)
A, G
Slāpekļa pirimidīnbāzes: ‘burts’, ‘burts’, … (alfabēta secībā)
C, T, U
Hromosomu skaits
(Jo Hins Tjio un Alberts 1956)
46
Šajā gadā tika atšifrēts DNS kods
1961
DNS sekvencēšana (1977)
Frederiks Sangers
Polimerāzes ķēdes reakcija (1983)
Karijs Banks Mullis
Cilvēka genoma projekta sakārtošana ar 99,99% precizitāti … gadā
2003
ogļhidrāts, monosaharīds, kas veido RNS
Riboze
ogļihidrāts, monosaharīds, kas veido DNS
Dezoksiriboze
Savieno kopā nukleotīdus;
Nosaka DNS ķēdes virzienu:
5’ - dezoksribozei 5 C atomam būs fosforskābes atlikums
3’ - dezoksribozei 3 C atomam būs OH grupa
Fosforskābes atlikums
CIk kopumā ir nukleotīdu?
8
(4 DNS, 4 RNS)
Molekula, kas var reaģēt kopā ar citām monomēru molekulām, veidojot lielāku polimēru ķēdi vai trīsdimensiju tīklu procesā, ko sauc par polimerizāciju.
Monomērs
Viela vai materiāls, kas sastāv no ļoti lielām molekulām jeb makromolekulām, kuras veido daudzi atkārtojoši subvienību fragmenti, iegūti no viena vai vairākiem monomēru veidiem.
Polimērs
DNS pilnais nosaukums
Dezoksiribonukleīnskābe
DNS astāv no 5 elementiem:
C, H, O, N, P
Abas DNS spirāles glabā vienādu bioloģisko informāciju
Abas spirāles iet pretējos virzienos:
5` uz 3`
Princips, kas apraksta attiecības starp divām struktūrām, kuras katra ievēro "atslēgas un slēdzenes" principu.
Komplementaritāte
Kur dabā var novērot komplimeritāti?
DNS replikācijas un transkripcijas pamatprincipos;
DNS antiparalēlitāte vienai otrai;
Nukleotīdu bāzēs.
Kāds ir START kodons?
AUG
Kādi ir 3 STOP kodoni?
UAA, UAG, UGA
Kas nodrošina bezgalīgu informācijas dažādību?
Nukleotīdu secība
DNS atrodas -
šūnas kodolā, mitohondrijā, hloroplastos
Ģenētiskās informācijas pamatvienība
gēns

Molekulārās ģenētikas centrālā dogma
ģenētiskā informācija (DNS molekulas nukleotīdu secība) nosaka matricas RNS molekulas nukleotīdu secību, kas savukārt nosaka sintezējamo polipeptīdu (olbaltumvielu aminoskābju) secību.
Replikācija
DNS molekulas dubultošanās specifisku fermentu klātbūtnē; tā nodrošina ģenētiskās informācijas saglabāšanos un pāriešanu nākamajās paaudzēs.
Process, kurā no viena DNS pavediena pēc nukleotīdu komplementaritātes principa tiek sintezēts jauns DNS pavediens;
Kādas ir replikācijas mehānisma atšķirības eikariotos un prokariotos?
eikariotos - kodolā
prokariotos - citoplazmā (nav kodola)
Puskonservatīva replikācija
(viens pavediens no vecās DNS molekulas, otrs - tikko sintezēts).
helikāze
enzīms, kas salauž ūdeņraža saites starp DNS spirālēm
DNS polimerāze
enzīms, kas piedalās DNS replikācijā, DNS bojājumu labošanā (I, II, III, V)
1956. gadā Artūrs Kornbergs, pirmo reizi iegūta no E coli
Taq polimerāze;
Termostabila (95°C);
Thermus aquaticus
Visbiežāk izmantota PCR reakcijās;
Īsus DNS fragmentus;
Aizstāja E. coli polimerāzi (37°C)
primāze
enzīms, kas veido DNS iesācējmolekulu, lai noteiktu replikācijas sākumpunktu
Transkripcija
Ģenētiskas informācijas pārnese molekulas sintezēšanās procesā.
Procesā sintezējas matricas RNS (mRNS), kura nogādā informāciju citoplazmā, kalpo par matricu proteīnu sintēzei (translācija).
introni
nonsenss virknē, ko izgriež no mRNA pēc transkripcijas
eksoni
jēdzīgās virknes daļas, kas atliek no mRNA pēc transkripcijas
Translācija
Olbaltumvielas molekulas sintēze pēc informācijas, ko saņem no ribonukleīnskābes (mRNS) molekulām, un kas nosaka aminoskābju secību molekulā.
mRNS secība tiek pārvērsta specifiskā aminoskābju secībā;
būtiska olbaltumvielu sintēzei, ļaujot šūnām ražot nepieciešamās olbaltumvielas struktūrai, funkcijai un regulēšanai;
kodons
= Triplets = 3 secīgas slāpekļa bāzes(nukleotīdi)
Informācijas pamatvienība
Lielākā daļa tripletu atbilst kādai no 20* aminoskābēm;
Cik ir kodonu?
64 (43)
Cik ir aminoskābju?
20
Kur notiek translācija prokariotiem un eikariotiem?
Prokariotiem - citoplazmā, eikariotiem - citoplazmā un endoplazmātiskājā tīklā;
Notiek ribosomās, kas nolasa mRNS secību un veicina aminoskābju saistīšanos polipeptīdu ķēdē;
Nepieciešamo RNS veidi translācijai
tRNS, mRNS, rRNS
Transporta RNS (tRNS)
tās molekulas piegādā atbilstošās aminoskābes ribosomai, katrai tRNS saderot ar konkrētu kodonu uz mRNS caur tās antikodonu;
Cik kodonu atbilst kādai aminoskābei?
61
Ģenētiskais kods ir…
dublējošš, nepārprotams, universāls
bāzu pāri cilvēka genomā
~3milj. bp
Cik procenti genoma bāžu pāru veido gēnus?
25 % no bp veido gēnus un gēnu regulatorus
Cik gēni ir genomā?
~20 000 līdz 22 000 gēni;
Kas nosaka olbaltumvielas 3D struktūru?
Aminoskābju secība nosaka olbaltumvielas 3D struktūru, kas ir svarīga tās funkcijas nodrošināšanai. Ja secība izmainās, mainās olbaltumvielas funkcija.
Kas nosaka aminoskābju secību olbaltumvielā?
To nosaka informācija, kas nāk no DNS. Ja tā izmainīsies, izmainīsies arī aminoskābju secība.
Pirmējā olbaltumvielu struktūra
aminoskābju ķēdīte
Otrējā olbaltumvielu struktūra
alfa spirāles un beta plāksnītes
Trešējā olbaltumvielu struktūra
otrējās struktūras apkopojums
Ceturtējā olbaltumvielu struktūra
vairākas olbaltumvielas kopā
Vīruss
nfekciozs aģents, kas parasti sastāv no nukleīnskābes molekulas olbaltumvielu apvalkā, ir pārāk mazs, lai to varētu redzēt ar gaismas mikroskopu, un spēj vairoties tikai dzīvo šūnu iekšienē.
Gēnu inženierija
gēnu inženierija ir mērķtiecīga organisma iedzimtības materiāla izmainīšana, lai radītu jaunas vēlamas pazīmes vai lai atbrīvotos no nevēlamām pazīmēm.
ĢMO
ģenētiski modificēts organisms ir augs, dzīvnieks vai mikroorganisms, kurā viena vai vairākas izmaiņas ir veiktas genomā, parasti izmantojot augsto tehnoloģiju ģenētisko inženieriju, lai mainītu organisma īpašības.
Gēnu terapija
ārstniecības metode, ar kuras palīdzību novērš vai atvieglo iedzimtās slimības vai defektus.
Vektors
struktūra (vīrusi, fāgi, plazmīdas), ko izmanto gēnu inženierijā svešas izcelsmes gēnu ievadīšanai recipienta šūnā vai genomā.
vīrusi: Nogādāt ģenētisko materiālu šūnā, vienkārša uzbūve (Nespēj paši vairoties; Izmanto saimniekorganisma replikācijas mehānismu)
Plazmīdas: Baktēriju papildus hromosoma; Cirkulāra dsDNS molekula; Neatkarīgi spēj sevi replicēt; Satur baktērijām nepieciešamus ārkārtas gēnus; Dabīgas un mākslīgas; Spēja sevi integrēt hromosomālajā genomā; Rekombinētā DNS ievadīšana organismā;
Rekombinantās DNS
DNS molekulas, kas izveidotas ar ģenētiskās rekombinācijas laboratorijas metodēm, kas apvieno ģenētisko materiālu no vairākiem avotiem, radot sekvences, kuras citādi genomā nebūtu atrodamas.
Ģenētiskās informācijas pārnesēji jeb vektori
Vīrusi un plazmīdas
Transdukcija
vīrusa ģenētiskā materiāla iekļaušana saimniekorganismā
Ģenētiskās modifikācijas princips:
Vēlamās pazīmes/gēna izpēte;
Vēlamā DNS izdalīšana;
DNS “sagriešana”, vēlamā gēna ievietošana;
Vektora izveidošana;
Vektora ievadīšana mērķa organismā;
Ģenētiskās modifikācijas pārbaude;
“Lauka” pētījums;
Datu apstrāde un secinājumu izdarīšana.
Ģenētiskās inženierijas metodes augiem
Selekcija;
Embrionālā glābšana;
Somatisko šūnu hibridizācija;
Mutāciju ierosināšana - mutagēni, nejauši, liels skaits, nepārbauda
Šūnu atlasīšana;
Mikrobiālie vektori - Agrobacterium tumefaciens (Divdīg.);
Mikroprojektīlu bombardēšana Mikroskopiskas daļiņas (Viendīg.)
Agrobacterium tumefaciens
Baktērija;
Horizontāla gēnu pārnese (Starp sugām);
Daļēja ievietošanās genomā;
Bacterial tumour-inducing (Ti) plasmid;
Iespējams arī inficēt cilvēkus (Oportūnistiska slimība)
priekšrocības un trūkumi mikroprojektīlu bombardēšanā
✅Priekšrocības:
Var izmantot daudzos organismos, arī tādos, kur Agrobacterium nestrādā.
Tieša DNS ievadīšana – nav vajadzīgi vektori (piemēram, plazmīdas vai vīrusi).
Vienkārša un salīdzinoši ātra metode.
❌ Trūkumi:
Dārga (īpaši zelta lodītes).
Var bojāt šūnas.
DNS integrācija ir nejauša (nevar kontrolēt, kur gēns "ielēks").
Zema efektivitāte salīdzinājumā ar bioloģiskām metodēm.
Ģenētiskās inženenierijas metodes dzīvniekiem
Selekcija;
Mākslīgā apaugļošana - vispasaules genofonds; matemātiskā modelēšana; testēšana, starpsugu krustošana;
Embrionālā glābšana un superovulācija - dzimumu atlase, skaita palielināšana;
Ģenētiskās modifikācijas pārbaude
PCR jeb PĶR (polimerāzes ķēdes reakcija);
Gēla eletroforēze;
Sekvenēšana;
Biomateriāli
Restriktāzes;
Ligāze;
Polimerāzes;
Restriktāzes
Baktēriju enzīmi, kas šķeļ DNS noteiktās vietās;
4-8 bp garas restrikcijas vietas;
~3000 restriktāzes;
Ligāze
enzīms, kas aizpilda caurumus atpaliekošajā DNS virknē pēc replikācijas
Visos organismos;
Savieno DNS pārrāvumus;
Lipīgie gali.
Kāds ir modeļaugs bioloģijā
Arabidopsis thaliana
Xenotransplantācija
audu transplantācija no citas sugas
ATryn
antiguagulants, iegūts no kazas piena. Operācijās vai dzemdībās
Kādi ir tuvākie dzīvie cilvēka radinieki?
šimpanzes
Kāds proteīns spēj padarīt dzīvnieku gaismā spīdošu?
GFP (Green fluorescent protein)